前言中华人民共和国国家标准
轻轨交通设计标准 Standard for design of light rail transit GB/T 51263-2017 2017-09-27发布 2018-05-01实施
现批准《轻轨交通设计标准》为国家标准,编号为GB/T 51263-2017,自2018年5月1日起实施。中华人民共和国住房和城乡建设部 中华人民共和国国家质量监督检验检疫总局 住房城乡建设部关于发布国家标准 《轻轨交通设计标准》的公告 本标准在住房城乡建设部门户网站(www.mohurd.gov.cn)公开,并由我部标准定额研究所组织中国建筑工业出版社出版发行。 中华人民共和国住房和城乡建设部
根据住房和城乡建设部《关于印发〈2008年工程建设标准规范制订、修订计划〉(第一批)的通知》(建标[2008]102号)的要求,标准编制组经广泛调查研究,认真总结实践经验,参考有关国际标准和国外先进标准,并在广泛征求意见的基础上,编制了本标准。2017年9月27日 本标准的主要技术内容是:1 总则;2 术语;3 运营组织;4 车辆;5 限界;6 线路;7 轨道;8 路基;9 车站建筑;10 工程结构;11 交通组织;12 供电系统;13 机电设备;14 运营监控系统;15 售检票系统;16 运营调度中心;17 车场;18 安全防护;19 环境保护;20 景观。 本标准由住房和城乡建设部负责管理,由北京城建设计发展集团股份有限公司负责具体技术内容的解释。执行过程中如有意见和建议,请寄送北京城建设计发展集团股份有限公司(地址:北京市西城区阜成门北大街5号,邮政编码:100037)。 本标准主编单位:北京城建设计发展集团股份有限公司 本标准参编单位:中国中铁二院工程集团有限责任公司 中铁第四勘察设计院集团有限公司 长春市轨道交通集团有限公司 大连地铁运营有限公司 中车长春轨道客车股份有限公司 天津滨海快速交通发展有限公司 武汉地铁集团有限公司 本标准主要起草人员:于松伟 张海波 毛励良 周庆瑞 梁莉霞 段俊萍 郭泽阔 韩连祥 喻智宏 宋毅 郝小亮 李凯 张晓林 王锋 徐成永 沈洪 王奕然 江琴 赵晓华 何跃齐 程鑫 张宏杰 徐寿伟 吕馨 高莉萍 高东升 付义龙 延波 曹国利 姚春桥 金福海 于青松 于喜林 李子华 本标准主要审查人员:施仲衡 宋敏华 仲建华 杨秀仁 王平 苏秀宇 杨青 徐明杰 徐正良 韩建良 丛延峰 刘志刚 王锡根 黄正新 李言义 周新六 沈子钧 徐文 肖瑞金 王进 卢桂英 条文说明
《轻轨交通设计标准》GB/T51263-2017,经住房和城乡建设部2017年9月27日以第1696号公告批准、发布。本标准编制过程中,编制组进行了国内外轻轨交通的调查研究,总结了我国轻轨交通工程建设的实践经验,同时参考了国外先进技术法规、技术标准。 为了便于广大施工、监理、设计、科研、学校等单位在使用本标准时,能正确理解和执行条文规定,《轻轨交通设计标准》编制组按照章、节、条的顺序编制了本标准的条文说明,对条文规定的目的、依据以及执行中需注意的有关事项进行了说明。但是,本条文说明不具备与标准正文同等的法律效力,仅供使用者作为理解和把握标准规定的参考。 1 总则1.0.1 为规范轻轨交通设计,做到安全可靠、经济实用、节能环保、技术先进,制定本标准。1.0.2 本标准适用于使用钢轮钢轨铰接车辆,线路基本采用地面独立路权或路口平交的半独立路权方式敷设,或采用高架线路,遇繁华街区及困难地段也可采用地下线路的新建轻轨交通工程的设计。 1.0.3 轻轨交通线路的功能定位及其工程设计,应符合城市总体规划、城市轨道交通线网规划和城市轨道交通近期建设规划,并应与城市综合交通规划相协调。 1.0.4 轻轨工程的设计年限应分为初期、近期、远期三期。初期可按建成通车后第3年、近期应按建成通车后第10年、远期应按建成通车后第25年确定。客流预测年限应与设计年限规定一致。 1.0.5 轻轨工程的建设规模、设备容量以及车场等用地面积,应按预测的远期客流规模和运营规模确定。对于可分期建设的工程和配置的设备,宜分期扩建和增设。 1.0.6 轻轨交通线路应为右侧行车制的双线线路,并应采用1435mm标准轨距。 1.0.7 轻轨交通在半独立路权线路范围内运行时,列车运行管理应遵守道路交通安全管理和车辆行驶的规定,并宜采取信号优先的措施。 1.0.8 对于具有独立路权的线路,远期最大设计行车密度不宜低于30对/h。对于允许设置平交路口的半独立路权的线路,其行车密度和运营组织可按城市道路交通具体情况分析确定。 1.0.9 车辆选型与列车编组,应根据预测的初期、近期和远期客流量、车辆定员数和设定的行车密度综合确定。车厢内有效站立面积定员宜按每平方米站立6名乘客计算。 1.0.10 车场设置应根据线网规划统一进行,可一条线路设一座车场或几条线路合建一座车场。车场的部分维修功能可通过地铁车辆基地或其他社会维修资源实现。 1.0.11 轻轨交通应与其他公共交通系统便捷换乘与接驳,并应设置无障碍通行设施。 1.0.12 轻轨交通的线路、车辆、结构及各系统的设计应根据沿线环境条件及环评要求,采取降低噪声、减少振动和减小对生态环境影响的措施。 1.0.13 轻轨交通设计应采用有利于节约能源的设备、材料和运营模式。 1.0.14 轻轨交通的地面和高架工程应结合景观要求设计,体量应简约,结构形式、色彩应与周围环境相协调。 1.0.15 轻轨工程抗震设防烈度,应根据地震安全性评价结果确定。 1.0.16 轻轨工程应具有对火灾、水淹、风灾、地震、冰雪和雷击等灾害的综合安全措施,并应配置相应的系统设备和救灾设施。 1.0.17 车辆与机电设备应采用满足功能要求、技术先进、经济适用的成熟产品,并应遵循标准化、系列化的整体运用策略以及有利于行车管理、客运组织和设备维修的原则。 1.0.18 轻轨工程设计应在确保安全可靠和不降低使用功能的前提下,采取降低工程造价和运营成本的措施。并宜在满足运营安全的前提下,为提供运营增值服务创造条件。 1.0.19 轻轨交通设计除应符合本标准规定外,尚应符合国家现行相关标准的规定。 条文说明
1.0.2 根据原建设部2007年6月颁发的《城市公共交通分类标准》CJJ/T 114-2007,城市轨道交通分别包含了地铁系统、轻轨系统、单轨系统、有轨电车、磁浮系统、自动导向轨道系统和市域快速轨道系统共7个类别,其中轻轨和有轨电车并列属于这7个类别中的两个类别。而在2008年颁布的《城市轨道交通工程建设标准》中,则采用了根据运营规模分类的方式,将城市轨道交通根据运量大小分为高运量、大运量、中运量三个量级、四个类别,其中包含了部分适用于轻轨的内容,并指出有轨电车可参照使用。 由此可见,广义的轻轨概念,即基于中运量(单向运能为每小时1万人次~3万人次)的轻轨系统,实际上包含了小编组高架方式敷设的地铁系统、单轨系统、直线电机系统、中低速磁浮系统、自动导向系统等多种制式,每种制式的技术特性均有较大的差别,并且已经具有各自的设计规范,不太可能完全融合到一部设计规范中来。 参考国外的信息和资料,“轻轨”词汇本身来源于国外对传统有轨电车进行升级后的普遍称谓(Light Rail Transit-缩写为LRT),具有中低运能、先进的智能技术、敷设方式灵活、外形美观、造价较低的特点,并大部分采用低地板钢轮钢轨铰接车辆,在国内普遍称为“现代有轨电车”。 美国公共交通协会(The American Public Transportation Association,即APTA)对轻轨的定义是:一种相对于重轨而言运能较低的电气化轨道交通模式,可以使用独立的路权或与其他交通方式混行路权,是用高站台或低站台上下客,使用多节车辆组成的列车或单个车辆。可见,APTA认为LRT也是轻轨的一种形式。 欧洲交通运输部长会议(European Conference of Ministers of Transport,即ECMT)在其1994年出版的报告《轻轨公共交通系统》中,对“轻轨”的定义:轻轨系统是一种轨道运输方式,其形式从现代有轨电车(Modern Tramway)到运营在专有路权上的快速公共交通系统(Rapid Transit System),可以在地下、地面和高架桥上运行。每个形式都可以是该系统的最终形式,但低级别形式须能够被提升至高一级别的形式。可以看出,ECMT也认为现代有轨电车是轻轨系统的一种形式。 因此,国外对于轻轨的认识,其最根本的特征在于该系统允许存在不同的路权形式。这一点对于国内普遍认知的现代有轨电车是类似的。而对于国内来说,广义的轻轨已经包含了多种制式和系统,并且大部分都是全封闭的路权形式,单纯再编制此类轻轨系统的设计规范已经没有实际的意义。因此,本标准定位为适用于使用钢轮钢轨铰接车辆,并允许采用独立路权和平交路口的半独立路权方式的轻轨系统。 路权是一种交通系统在一定的空间和时间内使用道路,进行交通活动的权利,包含道路的通行权、优先权和占有权。轻轨线路的路权管理按照与道路系统的关系,可分为独立路权和半独立路权。独立路权线路为全封闭线路,半独立路权线路呈地面专用道形式,线路除平交处采用混行方式外,其他均与道路交通具有物理隔离。 1.0.3 轻轨属于城市轨道交通的一个种类,但基于其使用的灵活性,轻轨同时具有城市大容量公共交通和城市轨道交通的双重属性。在市区以地面方式沿道路敷设时,会成为改善道路交通结构,强调公交优先,网络化运营,引导更多出行转化到公共交通上来的一种手段,体现出高品质骨干公共交通的特征;但在城市中心区以外,轻轨系统可以采用高架形式,快速连接城市的各个分散在外围的区块,体现出城市轨道交通的特征。因此,轻轨系统在城市公共交通中往往起到承上启下的作用,所以在规划设计中,不仅需要与政府主管部门批准的城市总体规划、城市轨道交通线网规划和城市轨道交通近期建设规划相协调,还需要与城市综合交通规划相匹配。 1.0.4 根据原建设部2007年6月颁布的《城市公共交通分类标准》CJJ/T114-2007,轻轨系统属于城市轨道交通系统的一个种类,虽然其拥有城市大容量公共交通和城市轨道交通的双重属性,但从其车辆使用年限、土建工程标准和系统投资及建成后难以改变等特征上考虑,轻轨系统的设计年限还是应该采用城市轨道交通系统的标准。 1.0.7 由于轻轨线路在沿地面道路敷设时,配线的设置往往受到工程条件的限制,因此主要以渡线和线网各线路之间的联络线为主。鉴于轻轨线路和城市道路、平交路口的关系,配线设置不仅要考虑轻轨本身的运营需求,还要同时考虑列车运行和城市道路车辆运行之间的关系,从交通组织的角度综合各种因素来合理配置。 1.0.9 车辆定员数量的确定,关系到列车载客量也即系统的运输能力,车辆编组和配置数量,乘客乘车舒适度,以及系统抗客流波动风险能力等,是对轻轨工程建设规模、运输能力、舒适度及造价等均有重要影响的数据。国外有些发达国家根据其国情(含人种体形),采用每平方米站立人数为4人~5人,舒适度较高。国内普通公交及BRT系统采用的标准一般为8人/㎡。鉴于我国根据当前经济发展水平和人口众多等具体国情,规定的底线标准为每平方米有效空余地板面积上站立6人。 鉴于我国随着经济继续发展人们的物质文化水平不断提高,对乘车方便与舒适度要求也越来越高,同时由于城市的重要性和经济发展水平有差别,线路在城市交通骨干作用和繁忙程度也不一样,因此确定指标时予以区别对待。部分特殊线路(如旅游城市等),也可以根据具体情况适当放宽。 1.0.12 轻轨的建设和运营都需要满足国家现行的城市环境保护的相关规定,这是必须遵守的原则。在规划、设计和建设过程中,根据各阶段环境评价工作的要求,在工程设计、设备选型和工程方案上进行把控,采取必要的技术措施和手段;在后期运营过程中,也需要采取适当的运营管理措施和及时的维修保障。 1.0.16 由于轻轨主要在地上敷设,因此系统在建设和投入运营前,需根据线路运行环境和运营要求,充分考虑在各种灾害条件下(包括火灾、水淹、风灾、地震、冰雪和雷击等)的运营管理需求,制定相应的管理措施,配备相应的必要设备,以此保证乘客和系统的安全。 2 术语2.0.1 埋置式无砟轨道 embedded ballastless track钢轨等轨道结构埋设于地面内的轨道。 2.0.2 站亭 pavilion of station 为方便乘客候车,在站台上设置的供乘客遮风、避雨、遮阳和休憩的廊亭。 2.0.3 嵌地接触轨 embedded contact rail 埋设在地面内为车辆授电的接触轨。 2.0.4 牵引充电桩 traction charging pile 采用架设在车站轨道上空的导电轨为轻轨列车储能装置充电的整套设备。 2.0.5 正线道岔控制系统 switch control system for main line 实现对正线道岔、信号机的现场控制,保证列车安全通过道岔的控制系统。 2.0.6 路口列车位置检测系统 detection system in intersection 通过车载和平交路口地面设备实现列车在路口接近、进入、离去的位置检测。 2.0.7 运营调度指挥系统 operation dispatching and command system 为运营调度中心调度员、车站车场的值班员组织指挥行车、运营管理而设置的运营监控系统的子系统。 2.0.8 封闭式售检票系统 closed fare collecting system 利用检票机、栅栏等设施将公共区分为付费区与非付费区的售检票系统。 2.0.9 开放式售检票系统 open fare collecting system 公共区域内没有划分付费区与非付费区的售检票系统。 2.0.10 车场 depot 具有配属车辆以及承担车辆的运用管理、整备保养、检查工作和检修任务的基本生产单位。 条文说明
本章列编的术语,为本标准涵盖的轻轨各专业主要术语及其定义和内涵。对相关标准已有及内容说明相同的主要术语则未予编列。
3 运营组织3.1 一般规定3.2 运营规模 3.3 行车组织 3.4 配线 3.5 运营管理 3.1 一般规定3.1.1 轻轨运营组织应根据线网规划、客流预测和交通管理需求,明确系统的管理模式、运营规模、建设规模。3.1.2 运营组织应在轻轨线网基础上,明确不同线路之间网络化运营的衔接和换乘关系,以及与其他交通方式的衔接关系。 3.1.3 轻轨配线设置应满足各种运营状态下运营管理的需求,并应具有良好的适应性和灵活性。 3.1.4 轻轨应设置运营调度中心,具备日常运营指挥及事故、灾害发生时的应急指挥功能。 条文说明
3.1.2 由于轻轨系统是城市轨道交通系统中唯一可以采用除独立路权外尚可采用半独立路权(含路口平交)方式的系统,同时具有大容量城市公共交通和城市轨道交通的双重属性,因此轻轨系统的列车运行往往采用网络化运行的方式。这与传统意义上全封闭方式运营的地铁系统是不同的。因此轻轨系统在运营组织的设计上需要从初期就开始在网络上进行多交路共线运营的考虑,采用公交化运营的方式。同时,由于轻轨系统在城市综合交通体系中往往起到承上启下的作用,因此还要与上到城市快速轨道交通甚至城市综合交通枢纽,下到城市普通公交、慢行交通等多种交通方式,都要进行良好的衔接。3.1.4 随着现代监控技术的发展,轻轨也越来越多地采用了先进的运营指挥系统。虽然轻轨具有较为灵活的线路敷设和运营组织方式,但为了有效、全面地了解轻轨车辆运营情况、沿线车站设备、设施的运行状态、车站客流的监视、及时发布相关信息和车场车辆的调度管理,确保轻轨安全、可靠和高效的运营,将轻轨各系统的调度指挥系统集中设置,组成运营调度中心,以便于集中监控和管理。 3.2 运营规模3.2.1 轻轨的设计最大运输能力,应满足预测的远期单向高峰小时最大断面客流量的需要。3.2.2 列车编组宜具备根据客流需求进行不同编组或连挂的条件。列车编组长度应与平交路口通行能力相互协调。 3.2.3 运用列车数量宜按初期运营需要配置,近、远期应根据客运量增长的需要增配。 3.2.4 列车远期高峰时段最小运行间隔不宜大于3min;初期高峰时段最小运行间隔不宜大于8min。 3.2.5 车场的功能、规模和各项设施的配置,应根据线网规划、网络化运营规模和资源共享的具体要求综合确定。 3.2.6 线路通过能力应由区间通行能力、车站通过能力、平交路口通行能力和折返配线通过能力等控制因素综合确定。 条文说明
3.2.1 轻轨系统的设计运输能力,是指列车在定员情况下的高峰小时单向输送能力,单位为“人/h”。由于采取网络化的运营方式,因此设计运输能力的匹配要能够适应网络上各线路区段在不同的设计年限高峰小时单向最大断面客流量的需要。3.2.2 鉴于网络化运营的需求,在同一条线路上有可能同时运营不同编组或长度的列车,因此列车编组需要有进行随时连挂或解编的条件。同时,由于存在平交路口,列车编组的长度也需要根据路口通过时间和信号相位时长进行综合考虑。通常情况下,小编组列车一般在30m左右,长编组列车可以达到50m~70m。 3.2.3 轻轨系统设计年限分为初期、近期和远期三个年限,初期为建成通车后第3年。以初期运输能力的要求配置运用列车,是为了满足通车后的运营和节省初期工程投资的需要,同时也考虑了在通车后的最初几年客流量增长的需要。在初期以后至远期的时段内,随着客流增长规律的变化和新建线路网络化运营的需要,则需要对运用车数进行重新配置。 3.2.4 考虑到初期吸引客流和维持必要服务水平的因素,系统通车运营后3年内服务水平应该不断提高,因此高峰时段的运行间隔在初期时段截止时推荐不小于8min的间隔。同时为充分发挥系统的运输效率,考虑与平交路口交通组织的合理匹配以及列车合理编组长度的因素,远期行车间隔不宜大于3min,即达到20对/h以上。如果条件允许,可以达到30对/h以上。 3.2.6 轻轨线路沿城市道路敷设时,其通过能力不仅取决于线路本身车站通过能力、配线折返能力等因素的影响,同时还会受到道路平交路口通行能力的影响。一般情况下,路口信号系统的信号周期、相位时长、优先策略、列车通过平交路口的运行速度都会对路面交通通行能力产生影响。因此,在设计过程中需要对平交路口的交通组织管理策略进行充分的研究和匹配,才能保证轻轨系统发挥最大的运输能力。 3.3 行车组织3.3.1 网络化运行的线路,在同一轨道路段上可允许多条线路列车共线运行,不同线路的列车宜按先到先占用的原则行驶,追踪运行。3.3.2 轻轨正线应采用右侧行车的双线线路。在半独立路权情况下,列车应在司机瞭望可视监控范围内运行;在独立路权情况下,列车宜在自动监控系统的监控下运行。全线列车运行宜采用集中调度。 3.3.3 列车应至少配置一名司机驾驶或监控列车,在非全封闭线路或车场出入线上,列车运行应由司机人工驾驶。 3.3.4 正常运行状态下,到站列车应在确认停稳后方能开启车门;出站列车启动前应通过目视或技术手段确认车门关闭。 3.3.5 站后折返运行的列车,应在折返站清客后方能进入折返线。 3.3.6 在客流量不均匀的线路上,列车运行交路宜根据全线客流分布特征,组织部分列车区段折返运行,也可与其他正线或支线组织网络化共线运行,并应按运营模式要求设置各种功能的配线。 3.3.7 列车在曲线上运行时,其未被平衡加速度不宜超过0.6m/s²。 3.3.8 列车在半独立路权区段的最高运行速度不应大于地面道路的限速规定。 3.3.9 在地面或高架线地段,宜设置风速监测设施。当遇8级风力时,列车应缓行;当遇9级及以上风力或大雾、大雪、沙尘暴等恶劣气象条件时,列车应停运。 3.3.10 列车通过无人值守的平交路口时,运行速度不应超过40km/h。 3.3.11 平交路口处,列车可串行通过。 条文说明
3.3.1 网络化共线运行必然会遇到多列不同方向过来的列车汇聚到同一条线路上来的情况,此时谁先进入就会成为问题。这方面轻轨与其他采用全封闭运行的城市轨道交通有着本质的不同。由于轻轨可以采用独立、半独立路权运行方式,受到平交路口交通情况的影响,它的列车运行时刻会有一定的误差,不太可能像全封闭轨道交通那样准确地按照运行计划来安排进路和运行。因此在几条线路向一条线路的交汇点,列车采用的运行规则是先到达,先请求,先占用的原则,即像地面道路交通那样,谁先到达路口,谁先发出通过路口的请求,运营监控系统再根据路口信号相位的情况,以及信号优先策略进行综合判定,给出是否允许列车通行的信号并排列进路。列车司机根据信号显示驾驶列车安全驶入。因此叫作“先到先占用”。3.3.6 轻轨依据线网情况可以采用网络化共线运行的方式,这就意味着线路的建设里程与运营里程成为两个不同的概念。就好像地面公交,线网的建设长度与道路建设长度是一个概念,而线网的运营里程则和公交的运营里程的概念是相似的。一条道路上可以运行好几路公交车,它们的运行里程则是道路长度好几倍的关系,轻轨的运营里程也是如此。因此,轻轨线路的运行交路,是根据乘客在城市中的出行分布,从网上跨线设置的。这种交路的安排可以大幅度减少乘客在网络上的换乘次数。 3.3.7 对于全封闭运行的系统,由于其运行速度高,对乘客舒适度的要求相对也更高,所以采用0.4m/s²的未被平衡加速度的要求。轻轨在沿道路敷设时,尤其是在路口实行转弯时,采用的曲线半径一般比较小,有时会达到40m甚至30m,如果采用与全封闭轨道交通一样的标准,则运行速度会非常低,通过路口的时间也会很长,是不现实的。因此,在保证运行安全的前提下,在小半径曲线的条件下,适当降低乘客的舒适度标准,采用0.6m/s²的未被平衡加速度指标,是符合实际情况的。如果条件允许,也同样可以考虑采用与全封闭系统相同的标准。 3.3.10 轻轨列车的紧急制动能力一般为减速度2.5m/s²~3.0m/s²,与道路上行驶的胶轮车辆差别较大(5.0m/s²~10m/s²),因此在通过平交路口区段需要采取一定的限速措施。经过计算及对国内外轻轨调研的基础上,认为列车运行速度在不超过40km/h时,基本可以保证安全运行。同时,对于初期开通的系统,由于司乘人员需要经过一段时间来熟悉路况,广大市民也需要有一个对轻轨熟悉的过程,因此刚刚开通的新线可以考虑适当降低速度运行,以尽量减少事故,保障安全。 3.4 配线3.4.1 线路在始发站、终点站和折返站应设置折返线或渡线。3.4.2 当地面线路长度超过6km时,宜在沿线每隔3km~6km设置供临时折返的渡线。 3.4.3 连续长距离全封闭线路,宜设置临时停车线。并应符合现行国家标准《地铁设计规范》GB 50157的规定。 3.4.4 车场出入线应连通上下行正线。 3.4.5 车场可设置双线或单线出入线,并应满足远期线路的通过能力和运营要求。尽端式车场出入线宜采用双线,贯通式车场出入线可在车场两端各设一条单线。 3.4.6 在有“Y”形支线运行的接轨站,或与其他正线共线运行的接轨站,其配线应保证进站列车不会因进站进路被占用而停在平交路口上。 条文说明
3.4.3 对于轻轨网络中具有全封闭运行条件,并且距离较长的线路(一般考虑10km以上),可以采用全封闭轨道交通的配线设置要求。3.4.6 对于几条支线交汇的车站,其站台位置及联络线的设置则需要考虑列车进站或交汇时不会使得列车停在路口中间,影响地面车辆的运行。这就需要把站台形式、路口信号相位设置、配线设置工程条件等几个因素综合起来共同考虑。 3.5 运营管理3.5.1 运营管理应包括列车运行管理、客运管理、乘务管理、票务管理、设备运转管理、车辆及设备系统维护管理。3.5.2 轻轨交通可采用单一票价或计程票价制。轻轨售检票系统应具有对客流数据和票务收入进行统计的功能。 3.5.3 每个运营调度中心宜统一控制同一区域内的线路。运营调度中心应有对列车运行、供电等系统进行集中指挥或监控的能力。 3.5.4 轻轨交通的定员指标宜控制在40人/km以下。 3.5.5 运营管理机构应对不同的运营状态,制定相应的正常、非正常和紧急状态下的运营管理规程和规章制度,包括工作流程和岗位责任。 3.5.6 列车乘务制度宜采用单司机、轮乘制。 条文说明
3.5.2 轻轨的售检票制式可以根据需要采用全网统一的一种制式或多种制式相结合的方式。具体可根据线路敷设方式、线路长度以及客流规模灵活确定。一般情况下,地面敷设的线路推荐采用单一票价,开放式的售检票方式;对于客流量较大,且有条件设置封闭车站,当经济条件允许时,也可以采用封闭式的售检票方式。同时,无论采用何种制式,系统都需具有不同程度地对客流数据和票款收入进行统计的功能。3.5.4 根据目前国内设计和实际运营经验,轻轨系统的人员配置一般为20人/km~40人/km不等。考虑到轻轨在国内还处在起步发展阶段,实际经验相对较少,因此暂定采用40人/km的指标。 4 车辆4.1 一般规定4.2 车辆型式与列车编组 4.3 车体 4.4 转向架 4.5 制动系统 4.6 电气系统 4.7 空调与供暖装置 4.8 安全设施和应急措施 4.9 控制和诊断系统 4.10 通信与乘客信息系统 4.1 一般规定4.1.1 轻轨交通车辆类型及编组应根据当地的环境条件、线路条件、客流预测、运输能力要求等因素综合比较选定。4.1.2 车辆基本型式应为钢轮钢轨、多模块铰接Cj型车辆,车辆规格可按下列各项分类: 1 车辆地板距轨面最低高度:低地板车不宜大于350mm;高地板车应为500mm~950mm; 2 车辆牵引电机:可分为鼠笼异步电机和永磁同步电机; 3 车体材料:可采用不锈钢或铝合金; 4 受电方式:可选用架空接触网供电方式、地面接触轨供电方式、充电桩供电方式; 5 最高运行速度:可分为最高速度70km/h、100km/h系列车型。 4.1.3 车辆主要技术规格应符合表4.1.3的规定,并应符合现行国家标准《城市轻轨交通铰接车辆通用技术条件》GB/T 23431的规定。 表4.1.3 车辆主要技术规格
2 Cj型低地板车辆根据其低地板布置情况分为70%低地板和100%低地板两类; 3 车辆基本宽度不含后视镜或摄像头; 4 车辆最大高度包含车载储能设备; 5 车厢内地板斜度不大于6°。 4.1.4 车辆组装后应进行检查和试验,并应符合现行国家标准《城市轨道交通车辆 组装后的检查与试验规则》GB/T 14894的规定。 4.1.5 车辆及其内部设施应使用不燃材料或无卤、低烟的阻燃材料。 4.1.6 车辆应采取减振与降噪措施。 4.1.7 Cj型车辆使用条件应符合下列规定: 1 环境条件应满足下列要求: 1)正常工作海拔不超过1200m; 2)环境温度在-25℃至45℃之间; 3)最湿月月平均最大相对湿度不应大于90%(该月月平均最低温度为25℃); 4)车辆能承受风、沙、雨、雪的侵袭。 2 线路条件应满足下列要求: 1)线路轨距为1435mm; 2)可通过最小平面曲线半径不大于25m; 3)最小竖曲线半径不大于1000m; 4)在未考虑曲线折减情况下,最大坡度不大于60‰。 3 供电条件可包含下列方式: 1)受电方式:架空接触网供电;地面接触轨供电;充电储能装置; 2)供电电压:DC750V(波动范围DC500V~DC900V);DC1500V(波动范围DC1000V~DC1800V)。 4 因用户所处地区不同而存在使用条件差异时,用户与制造商可在合同中另行规定使用条件。 4.1.8 车辆限界应符合本标准第5章的规定。当通过干线铁道运输时,车辆尚应符合现行国家标准《标准轨距铁路机车车辆限界》GB 146.1的规定。 4.1.9 Cj型高地板车辆车轮直径不应大于760mm,Cj型低地板车辆车轮直径不应大于660mm。新造车辆同一动力转向架各轮径差不应超过2mm。 4.1.10 轮对内侧距宜为1372mm±2mm。 4.1.11 同一动力转向架的每根动轴上所测得的轴重,与该车同转向架各动轴实际平均轴重之差不应大于实际平均轴重的2%。 4.1.12 每个车轮的实际轮重,与该轴两轮平均轮重之差不应超过该轴两轮平均轮重的±4%。 4.1.13 车辆应能以规定的速度通过最小半径的平面曲线区段,并可在曲线上进行列车正常摘挂作业。 4.1.14 车辆最高运行速度应采用70km/h或100km/h。车辆的构造速度应高于车辆最高运行速度的10%或10km/h。 4.1.15 车辆载客量应包括司机、座席定员和站立人员。额定载荷(AW2)站立人数应按6人/m²计,超员载荷(AW3)最大站立人数应按9人/m²计。人均体重应按60kg计算。车辆座席数不应低于车辆额定载客的20%,每辆车设置的残障人士席位不应少于一个。 4.1.16 列车纵向冲击率不应大于1m/s³。 4.1.17 车辆运行的平稳性指标应小于2.5,车辆的脱轨系数应小于0.8。 4.1.18 车辆内部和车辆外部的等效噪声均应符合现行国家标准《城市轻轨交通铰接车辆通用技术条件》GB/T 23431的规定。 4.1.19 列车在超员载荷工况下,当丧失1/2动力时,应具有在正线最大坡道上启动和运行到最近车站的能力。空载列车应具有在正线线路的最大坡道上牵引另一辆超员载荷的无动力列车运行到下一车站的能力。 条文说明
4.1.3 1 车辆基本长度:高地板车按基本单元2模块车考虑,低地板车按基本单元5模块车考虑。目前国内多数已开通运营的轻轨低地板车辆都采用5模块或同等长度车辆为基本单元,如株洲厂生产的4模块车辆、四方厂生产的3模块车辆等,车辆长度在32m~36m之间,定员300人左右。特殊情况也可根据客流实际需求选用基本长度在25m、48m的3模块、7模块等车辆。2 目前国内轻轨车辆最高运行速度一般在70km/h~80km/h,本次统一为70km/h。最高运行速度100km/h的轻轨车辆在国外也已广泛应用,故最高运行速度可根据线路功能定位、旅行时间目标等选择70km/h或100km/h。 4.1.5 为了防止火灾发生与蔓延,以及在火灾发生时产生有毒气体危害人体健康,车辆及内部设施原则上采用不燃材料,不得已的情况下(如电线、电缆、减振橡胶件等)方可使用无卤、低烟的阻燃材料。 4.1.7 轻轨车辆供电方式多种多样,无架空接触网供电主要包括地面供电和储能装置供电两种。其中地面供电包括电磁吸附式、电磁感应式、嵌地接触轨等,储能装置供电包括超级电容供电、蓄电池供电、混合型供电、氢燃料电池供电等。 4.1.10 若全线为工字轨轮对内侧距可以选用1352mm,如果线路有槽型轨则可选用1372mm,当车辆采用铰接式转向架时可以适当放宽。 4.1.16 所谓纵向冲击率是指加速度的变化率,是乘客舒适度的重要指标。在现行的国家标准《城市轨道交通车辆 组装后的检查与试验规则》GB/T14894中,这个限值为1.0m/s3,据调研,目前沈阳浑南、广州海珠、南京河西等地对车辆纵向冲击率的要求均为1.0m/s3,故此处按1.0m/s3要求。如业主对纵向冲击率有更高要求,可与车辆供货商协商,写入合同中。 4.1.19 本条规定了列车在最不利的条件下三种可能发生的故障时运行的能力,目的是为了使列车发生故障时不致造成系统混乱。当列车动力转向架数量为3的倍数且不是2的倍数时,丧失动力可取值1/3。 4.2 车辆型式与列车编组4.2.1 Cj型车辆应由动车模块、拖车模块、中间模块和铰接装置组成。4.2.2 车辆模块编组可由不同型式的模块根据客流预测、设计运输能力、线路条件、环境条件及运营组织等要素确定。车辆动拖比应根据旅行速度、故障运行能力、耗电量、车辆的购置费及维修费,以及发挥再生制动作用等因素综合分析确定。 4.2.3 Cj型车辆模块之间应安装铰接装置。铰接装置可分为车体铰接和转向架铰接两种模式。 4.2.4 车辆两端可设自动车钩或半自动车钩。车钩水平中心线距轨面的高度,高地板车辆宜采用720mm,低地板车辆宜采用660mm。 条文说明
4.2.1 动车模块分为带司机室动车(Mc)、带受电弓动车(Mp);拖车模块分为无受电弓拖车(T)、带受电弓拖车(Tp); 中间模块分为无受电弓中间模块(Z)、带受电弓中间模块(Zp)。 模块只要有一个转向架带动力时为动车模块,转向架都不带动力时为拖车模块,中间模块指不设转向架的悬浮模块或采用铰接式转向架的中间模块。 4.2.2 不同模块编组构成车辆基本单元,两个及以上车辆基本单元可通过车辆两端车钩连接,组成列车。轻轨车辆一般以基本单元独立运行,也可多辆连挂运行,但一般不超过两辆。 4.3 车体4.3.1 车体应采用不锈钢或铝合金材料整体承载结构。在使用期限内承受正常载荷时不应产生永久变形和疲劳损伤,并应有足够的刚度和满足修理与纠正脱轨的要求。4.3.2 车体试验应采用纵向静载荷,当用户和制造商在合同中没有规定时,采用的荷载值不应小于400kN。 4.3.3 车体试验用垂直载荷应按下式计算:
Wc——运转整备状态时的车体重量(t); Wpmax——最大载客重量,包括乘务员、座席定员及强度计算用的立席乘客的重量(t); Wcb——车体结构重量(t); Wet——试验器材重量(t)。 4.3.4 车辆结构设计寿命不应低于30年。 4.3.5 车体结构的内外墙板之间及底架与地板之间应敷设吸湿性小、膨胀率低、性能稳定的隔热、隔声材料。 4.3.6 车辆应设有架车支座、车体吊装座和复轨标识,并应标注允许架车、起吊的位置。 4.4 转向架4.4.1 车辆宜采用无摇枕两系悬挂转向架。4.4.2 车辆走行装置机构可采用通轴轮对转向架或独立轮转向架。独立轮转向架的牵引电机可采用纵向布置方式。 4.4.3 转向架性能、主要尺寸应与车体和线路相互匹配,其相关部件应在允许磨耗限度内,并应能确保列车以最高允许速度安全平稳运行。即使在悬挂或减振系统损坏时,也应能确保车辆在线路上安全地运行到终点。 4.4.4 转向架悬挂系统宜采用下列结构: 1 一系悬挂为金属橡胶弹簧或金属圆弹簧; 2 二系悬挂为空气弹簧或金属圆弹簧; 3 转向架构架和车体之间安装横向减振器及横向止挡。 4.4.5 转向架设计时应留出不落轮镟加工的定位装夹结构位置。4.4.6 车轮可采用弹性车轮。根据不同的使用环境,可增加轮缘润滑功能和撒沙装置。 4.4.7 列车两端宜设可调整的排障器,其形状应有利于排除轨道障碍物。 4.5 制动系统4.5.1 Cj型车辆应采用微机控制的制动系统,并应具备电制动、空气制动或液压制动、磁轨制动等制动方式。空气制动或液压制动应具有相对独立的制动能力,在牵引供电中断或电制动出现故障的情况下应有足够能力使列车安全停车。4.5.2 车辆空气制动系统应由风源系统、常用制动系统、紧急制动系统、停放制动系统组成,并应包括指令装置、电气及空气控制装置、执行操作装置、自诊断装置。 4.5.3 制动系统应能根据车辆载荷自动调整制动力大小,并应具有空车保证和重车限制功能。 4.5.4 常用制动宜使用电制动,紧急制动应为空气制动或液压制动。电制动与空气制动或液压制动应能协调配合,并应具有冲击率限制。当电制动力不足时,空气制动或液压制动应按总制动力的要求补充不足的制动力。 4.5.5 当列车出现意外分离等严重故障影响列车安全时,应能立刻自动实施紧急制动。 4.5.6 车辆在实施电制动再生制动时,制动能量应能被其他列车吸收,吸收不足部分应由再生制动能量吸收装置吸收,再生制动能量吸收装置不宜随车设置。 4.5.7 Cj型车辆应具有安全制动功能。 4.5.8 停放制动系统应保证在线路最大坡道、列车在最大载荷情况下施加停放制动不会发生溜车。 4.5.9 基础制动宜采用盘形制动装置或单元式踏面制动装置。 4.5.10 电制动、空气制动和液压制动应具有防滑功能。根据不同的使用环境,可增加手动或自动撒沙功能。 4.5.11 列车制动系统应具有保持制动功能。 条文说明
4.5.7 安全制动是介于常用制动和紧急制动之间的制动,是可缓解的制动。
4.6 电气系统4.6.1 牵引传动系统应采用交流传动系统。4.6.2 牵引传动系统应具有牵引和再生制动的基本功能。 4.6.3 牵引电机应符合现行行业标准《铁路机车车辆用电子变流器供电的交流电动机》TB/T 3001的规定,牵引电器应符合现行行业标准《铁路应用机车车辆电气设备》TB/T 1333的规定,电子设备应符合现行行业标准《铁道机车车辆电子装置》TB/T 3021的规定,电力变流器应符合现行国家标准《轨道交通 机车车辆用电力变流器 第1部分:特性和试验方法》GB/T 25122.1的规定,电气设备的电磁兼容性应符合现行行业标准《机车电气设备电磁兼容性试验及其限值》TB/T 3034的规定。 4.6.4 牵引传动系统应能根据轮轨黏着条件和车辆荷载自动调整牵引力或电制动力的大小,并应具有反应灵敏的防空转、防滑行控制和防冲动控制。 4.6.5 当多台电动机由一个变流器并联供电时,其额定功率应计及轮径差与电动机特性差异引起的负荷分配不均,以及在高黏着系数下运行时轴重转移的影响。 4.6.6 受电弓受流时不应对受电器或供电设施造成损伤或异常磨耗。受电弓的接触压力应为50N~120N。 4.6.7 列车应设避雷装置。 4.6.8 辅助电源系统应由辅助变流器、低压电源和蓄电池等组成。 4.6.9 蓄电池容量应能满足车辆在故障情况下的应急照明、外部照明、车载安全设备、广播、通信、应急通风等系统工作不少于30min的要求。 条文说明
4.6.6 本条仅对采用架空接触网受流车辆进行要求,若采用其他受流方式,则不受此限制。
4.7 空调与供暖装置4.7.1 车辆的空调制冷能力,宜满足在环境温度为33℃时,车内温度不高于28℃±1℃,相对湿度不超过65%的要求。4.7.2 当客室内采用空调系统时,其新风口和风道设置应确保制冷效果及乘客舒适性的要求,人均新风量不应少于10m³/h(按额定载客人数计)。当客室内仅设有机械通风装置时,人均供风量不应少于20m³/h(按额定载客人数计)。 4.7.3 当司机室采用空调时,新风量不宜少于人均30m³/h。 4.7.4 用于冬季寒冷地区的车辆空调应有制热功能,当空调制热能力不足时应另设供暖设备,运行时应能维持客室温度不低于10℃、司机室温度不低于14℃的要求。 4.7.5 当采用车载储能装置为车辆供电时,储能装置容量应计及空调能耗。 4.8 安全设施和应急措施4.8.1 司机台上应设置紧急制动操纵装置、快速制动按钮和警惕按钮。4.8.2 司机室内应设置客室侧门开闭状态显示灯。 4.8.3 司机室前端应装设可进行远近光变换的前照灯,前照灯在车辆前端紧急制停距离处照度不应小于21x。列车尾端外壁应设有红色防护灯。 4.8.4 列车应设置转向灯、刹车灯、示宽灯、鸣笛装置、排障器等设施,并应符合现行国家标准《机动车运行安全技术条件》GB 7258的相关规定。 4.8.5 客室、司机室应配置适用于电气装置与油脂类的灭火器具,安放位置应有明显标识并便于取用。灭火材料在灭火时产生的气体不应对人体产生危害。 4.8.6 各电气设备保护性接地电阻应符合国家现行相关标准的规定,并应确保车辆中可能因故障带电的金属件及所有可触及的导电体进行等电位联结。 4.8.7 司机室和客室内应设视频监控系统。客室外侧宜设置视频监控系统。 4.8.8 客室侧门应具有系统隔离功能,并应有在客室内手动操作解锁开闭车门的功能。 条文说明
4.8.5 本条规定了司机室和客室应配置灭火器,并规定其安放位置应有明显标志是为了方便乘客发现火情时及时使用灭火器。4.8.7 公安系统对此有要求,设此监控对安全、事故分析有益。 4.9 控制和诊断系统4.9.1 车辆宜采用网络控制系统,与运行及安全有关的控制尚应有冗余措施。4.9.2 车辆主要子系统应具有自诊断功能。 4.9.3 车辆诊断系统应具有接收车辆主要子系统信息,包括系统的状态信息、故障信息等功能,并可进行评估、储存,在司机室的显示屏上显示与报警。 4.9.4 车辆控制、诊断系统应具有事件记录功能。 条文说明
4.9.3 需具有自诊断功能的车辆主要子系统状态包含牵引、制动、控制系统;走行装置;乘客安全设备;各种电气和电子设备;对运行的应用有影响的其他设备的状态。
4.10 通信与乘客信息系统4.10.1 车辆应具有司机与行车控制调度中心进行双向通信、首尾司机室之间进行通信等功能。4.10.2 车辆应具有司机对乘客广播及自动报站的装置。客室内应设扬声器,并应设有线路、车站向导标志等乘客信息设施。 4.10.3 客室内应设置乘客手动报警和能与司机对讲的装置,紧急情况下乘客可向司机报警,司机在乘客报警时应能立即识别报警车辆。 4.10.4 车辆司机室前部宜设运行区段显示装置。 5 限界5.1 一般规定5.2 基本参数 5.3 设备限界 5.4 建筑限界 5.5 轨道区管线设备布置 5.1 一般规定5.1.1 限界坐标系应为正交于轨道中心线的平面直角坐标,通过两钢轨轨顶中心连线的中点引出的水平坐标轴,以Y表示;通过该中点垂直于水平轴的坐标轴,以Z表示。5.1.2 轻轨交通的限界应包括车辆限界、设备限界和建筑限界。 5.1.3 车辆限界应为车辆在平直线路的轨道上按规定速度运行,并计及车辆和轨道的公差、磨耗、弹性变形、车辆的各种振动和滚动、侧风载荷状态下运行的各种因素,而产生的车辆各部位竖向和横向动态偏移后的统计轨迹即车辆动态包络线,宜以限界坐标系表示。 5.1.4 设备限界应为在车辆限界外扩大安全间隙后形成的轮廓。各种管线设备,即使计及其刚性和柔性运动后,均不得向内侵入此界线。 5.1.5 建筑限界应为位于设备限界外,并计及沿线设备安装后的界线。任何沿线建筑物,包括施工误差值、测量误差值及结构永久变形量在内,均不得向内侵入此界线。 5.1.6 建筑限界制定应计及纵向应急疏散通道。当车辆停止时,车辆轮廓外的应急疏散通道宽度不宜小于500mm。当车厢地板到疏散通道面高差大于1000mm时,宜设置疏散平台。 5.1.7 区间直线地段,当相邻两线间无墙、柱或设施时,两相邻线路的最小线间距应按两设备限界之间的间隙不小于100mm确定。 5.1.8 对于进入线路运行的其他各种工程车辆,其车辆动态包络线不应突破正线运行车型的车辆限界。 5.1.9 直线段车辆限界及设备限界应符合本标准附录A、附录B的规定。曲线段设备限界的加宽量应符合本标准附录C的规定。 条文说明
5.1.3 车辆限界依据定义的不同,存在多种名称。仅考虑静态偏移量(制造公差、磨耗等)的车辆限界为静态车辆限界;既考虑静态偏移量,又考虑动态偏移量(车辆振动、准静态位移等)的车辆限界为动态车辆限界;此外再考虑线路轨道因素产生的偏移量(轨距、磨耗、位置公差等)的车辆限界为车辆动态包络线。本标准使用的车辆限界是附加考虑悬挂故障因素产生的偏移量后的一种动态包络线。按运行区域不同,分区间车辆限界和车站有效站台区附加车辆限界。5.1.4 设备限界是从车辆安全运行角度考虑允许固定设备安装离开车辆最小距离的边界。因此需确定车辆在一般运营条件下(含一系或二系悬挂故障)运行产生的最大极限动态偏移位置,再附加安全余量来设定设备最近的安装边界。 5.1.5 建筑限界是永久性固定建筑物的最小净空尺寸,设计时需预留施工误差、测量误差及结构永久变形等余量。 5.1.6 轻轨车辆一般无列车端门,车辆在区间出现事故情况下,乘客需要通过车厢侧门离开车体进行疏散,同时消防救援时需要有消防救援通道。为此,在建筑限界制定时,车体外侧与建筑物间需要考虑一定的安全疏散及救援空间,参照其他工程经验,按照不小于500mm考虑。 当两线间无障碍物,可以利用相邻线路作为应急情况下的疏散或救援通道、当地面线路侧面为市政道路,且市政道路与车厢底板高差不大于1m情况下,也允许利用市政道路作为疏散及救援通道。由于轻轨主要为地面线或高架线,对于车厢地板到疏散通道面高差不大于1000mm时,乘客能够跳到疏散通道面,此种工况可以不设置疏散平台。当高差大于1000mm时,为避免高差过大导致二次伤害,则需要设置疏散平台。 5.1.7 两相邻线路的最小线间距按照两设备限界之间不小于100mm间隙确定,与目前国内各种轨道交通设计规范的规定一致。 5.1.8 本条为原则规定,确保在线路上运行的所有车辆均要求满足既有的有关限界要求,确保在线上运行列车的安全。 5.2 基本参数5.2.1 用于车辆限界计算的基本参数应符合下列规定:1 Cj型铰接车基本宽度应为2650mm;车辆最大宽度不宜大于2800mm(车辆后视摄像头或后视镜处); 2 Cj型铰接车距轨面高度不应大于3700mm; 3 Cj型铰接高地板车(G)地板面距轨面高度应在500mm~950mm之间;Cj型铰接低地板车(D)地板面距轨面高度不应大于350mm; 4 Cj型铰接车的固定轴距不应大于1900mm; 5 车门应采用电动塞拉门; 6 车辆最高运行速度可为70km/h和100km/h; 7 受电弓最低工作高度不应小于3900mm,最高工作高度不应大于6000mm。 5.2.2 限界计算限制速度应符合下列规定: 1 过站限界列车计算速度应为40km/h; 2 区间限界列车计算速度应为100km/h。 条文说明
5.2.1 本条规定列出与限界制定有关的车辆参数,便于限界设计使用。5.2.2 区间或车站限界列车计算速度规定,在于控制限制车站或区间的最高运营速度,确保行车安全。 5.3 设备限界5.3.1 直线地段设备限界应为在直线地段车辆限界外扩大一定安全间隙后形成。车体肩部横向应向外扩大100mm,边梁下端横向应向外扩大30mm,车体竖向应加高60mm,受电弓竖向应加高50mm,车下悬挂物应下降50mm。转向架部件最低点设备限界离轨顶面净距不应小于15mm。5.3.2 曲线地段设备限界应在直线地段设备限界基础上,按平面曲线不同半径、过超高或欠超高引起的横向和竖向偏移量,以及车辆、轨道参数等因素计算确定。 条文说明
5.3.1 车辆厂家提供的一般是各种工况下的车辆动态包络线,作为工程设计,需制定设备限界。本条规定,在于指导设备限界的制定方法。
5.4 建筑限界5.4.1 高架线或地面线、U形槽区间建筑限界的确定应符合下列规定:1 高架线或地面线、U形槽区间的建筑限界应按高架线设备限界及设备安装尺寸或应急疏散(或救援)通道宽度计算确定,纵向疏散通道和设备限界的安全间隙不得小于50mm;设备限界外无管线或设备时,设备限界与建筑限界的最小间隙不得小于100mm; 2 地面线建筑限界应按路基宽度、两侧排水沟以及管线布置方式等确定; 3 采用声屏障的区间高架线或地面线,两侧声屏障与设备限界的安全间隙不宜小于200mm; 4 线路一侧设置支柱的接触网系统最大突出点与设备限界之间的安全间隙不应小于100mm; 5 轨面以上建筑限界高度应符合下列规定: 1)架空接触网供电车型应按顶部接触网导线高度加上接触网安装高度200mm安全间隙确定; 2)车载储能装置供电车型应按车顶设备限界高度加200mm安全间隙确定。 5.4.2 矩形隧道建筑限界应符合下列规定: 1 直线段矩形隧道建筑限界应按设备限界及设备安装尺寸或应急疏散通道宽度计算确定,曲线地段矩形隧道建筑限界,应在直线段建筑限界基础上加宽及加高; 2 区间矩形隧道缓和曲线地段建筑限界加宽范围及加宽值,自圆曲线圆缓点至缓和曲线中点向直线方向延伸10m范围内应采用圆曲线加宽值;自缓和曲线中点向直线方向延伸16m范围内应采用圆曲线加宽值的一半。 5.4.3 单线圆形隧道建筑限界圆直径宜为5200mm。 5.4.4 马蹄形隧道建筑限界在距走行轨轨顶面3500mm高度处,建筑限界与设备限界最小间隙不宜小于300mm;在距线路中心1100mm范围内,下部建筑限界不应高于轨道结构高度规定值。 5.4.5 当建筑物的侧墙或顶板上没有设备或管线时,建筑限界与设备限界之间的最小间隙不宜小于200mm,困难情况下不得小于100mm。 5.4.6 单线圆形、马蹄形隧道在曲线超高地段,应采用隧道中心向线路中心线内侧偏移的方法解决轨道超高造成的内外侧不均匀位移量。位移量计算应符合下列规定: 1 圆曲线地段的位移量应按下列公式计算:
y——垂直移动量(mm); h——轨道超高实设值(mm); h0——圆心距走行轨轨顶面高度(mm)。 2 缓和曲线地段的偏移量在直缓(或缓直)点应为零,在缓圆(或圆缓)点应为圆曲线地段的偏移量,在缓和曲线范围内某计算点的偏移量应等于计算点至缓直点的距离除以缓和曲线长度,再乘以圆曲线的偏移量值。 5.4.7 道岔区的建筑限界应在直线地段建筑限界的基础上,加上车辆从直股进入侧股时,车辆在道岔范围内产生的曲线内侧或外侧附加偏移量。 5.4.8 车站直线地段建筑限界应符合下列规定: 1 站台面低于车厢地板面50mm; 2 站台计算长度内的站台边缘至轨道中心线的限界,按站台面高度处的车辆限界加 10mm安全间隙确定; 3 站台计算长度外的站台边缘至轨道中心线限界,按站台面高度处设备限界加50mm安全间隙确定; 4 车站范围内其余部位建筑限界,按区间建筑限界的规定执行。 5.4.9 曲线车站站台边缘与车门处车体间隙不宜大于180mm。 5.4.10 在安装射流风机、风管、道岔转辙机等设备地段,建筑限界应满足设备安装的净空要求。 5.4.11 车场限界应符合下列规定: 1 车场库外限界应符合本标准第5.4.1条规定; 2 车场库内检修平台的高平台及安全栅栏与车辆轮廓线之间应留有80mm安全间隙,低平台应采用车站站台建筑限界; 3 车库大门位置距离线路曲线起点不宜小于10m; 4 车库大门宽度宜按后视镜或摄像头后的轻轨列车最大外轮廓宽度加600mm确定。 5.4.12 道岔警冲标至道岔岔心距离限界,应按警冲标至直股的限界控制线(S1)和侧股限界控制线(S2)交点确定。直股限界控制线(S1)宜按1800mm确定,侧股限界控制线(S2)宜按1800mm另加加宽值(D)确定。加宽值(D)应符合下列规定: 1 警冲标如在道岔区,应按道岔内侧加宽值取值; 2 警冲标如在曲线范围,应按曲线的平面加宽值取值; 3 直线段加宽值应为零。 条文说明
5.4.1 轨道超高造成设备限界倾斜,使之与建筑限界之间的空隙分配不均。为充分、合理地分配建筑限界空间,给出隧道中心线横向位移公式和竖向位移公式。实际设计计算表明,竖向位移量只在毫米级变化,为了简化施工,竖向位移可忽略不计。在马蹄形隧道横向偏移量的计算中,圆心位置取隧道顶部弧线对应的圆心。第1款 隧道外的区间建筑限界,包括高架区间、地面区间和U形槽过渡段,要求在隧道外车辆设备限界基础上,加上设备宽度或疏散通道宽度确定。设备与设备限界间的50mm间隙,主要考虑设备存在安装及制造误差,以及限界检查车检查时,动态限界和静态限界间存在一定的差异。当设备限界外无管线设备时,设备限界与建筑限界的间隙,按照不小于100mm确定,确保行车安全。 第2款 地面线建筑限界,需要考虑排水沟、路基宽度、管线布置位置等因素综合确定。轻轨的排水沟,要求在其用地界范围内考虑。地面线轻轨的管线布置,一般敷设在道床面以下,限界制定时候,需要结合管线布置综合考虑。 第3款 声屏障与设备限界的安全间隙,考虑其立柱的安装定位误差,同时考虑间隙太小则会出现噪声过大,因此按照200mm确定。 第4款 对于接触网支柱和设备限界的最小间隙,本条只作最小间隙规定,确保行车安全。 第5款 建筑限界的高度,对于采用受电弓受流的车辆,按轨道结构高度、受电弓导线高度加架空接触网高度确定。对于储能装置供电车辆,则按顶部车辆设备限界高度另加不小于200mm的安全间隙确定。 5.4.2 直线地段矩形隧道建筑限界以直线地段设备限界为计算基础,此外还需考虑轨行区周边所布置的各种设备及管线所需的空间或疏散通道宽度及安全间隙确定。曲线地段建筑限界以曲线地段设备限界为基础,同时需考虑轨道超高的影响,其他与直线地段相同,因此可在直线段建筑限界基础上进行加宽及加高即可。缓和曲线地段由于曲率半径及超高是一个变数,实际上每一点的建筑限界都不同,为减轻施工难度,方便土建工程的实施,此处参照《铁路隧道设计规范》TB10003-2005规定的方法,并按轻轨车辆的相关参数核算取整后给出了区间矩形隧道缓和曲线地段建筑限界加宽范围及加宽值。 5.4.3 用盾构机进行机械化施工的圆形隧道孔径是全线统一的,所以盾构圆形隧道的建筑限界须按规定的运行速度、最小平曲线半径、最大轨道超高计算的设备限界及轨道结构高度进行布置,设计圆形隧道建筑限界。本条规定的圆形隧道建筑限界直径5200mm是国内地铁多年来一直使用的成熟标准,对轻轨车型同样适用。 5.4.4 本条规定明确了马蹄形隧道建筑限界控制点的制定方法,在满足建筑限界控制点的基础上拟合的断面,均能满足限界要求。 5.4.5 在无设备或管线安装的建筑表面,要求建筑限界与设备限界之间的最小间隙不宜小于200mm(100mm),主要考虑建筑结构在使用寿命区内可能发生的变形及结构内衬修补所需空间。 5.4.7 道岔区建筑限界加宽量,是指列车在道岔侧股上运行时产生的内外侧加宽量,它由曲线几何加宽量、列车以过岔速度运行时产生的欠超高、道岔区轨距加宽量、钢轨磨耗量以及一、二系悬挂在过岔时的横向位移量等数值相加而成。 5.4.8 第1款 站台面高度以走行轨(新轨)顶面、新车轮、空车状态下的车厢地板面高度作为计算基准,车厢地板面在任何情况下(轮轨磨耗、车体下垂、弹簧变形等)不得低于站台高度。 第2款 本款规定了站台边横向限界的制定方法,确保站台边与车体缝隙不能过大,避免乘客踏空,同时又保证了行车安全。 第3款和第4款,本款参照现行国家标准《地铁设计规范》GB 50157 对非有效站台边及设备用房等车站其他部分的限界规定制定。 5.4.9 本条规定为确保车体与站台边缝隙不能过大,避免乘客踏空,造成安全事故。 5.4.10 射流风机、风管、道岔转辙机等设备体量较大,有的还需要一定的操作空间,所以应对其限界进行检算。 5.4.11 第1款 车场库外车场线一般采用碎石道床,列车运行工况为:空车、速度不大于25km/h及以下,为简化设计,此处规定库外线限界执行区间限界是偏于安全的。 第2款 车场库内高架双层检修平台的高平台及安全栅栏的建筑限界按空车在整体道床轨道上以不大于5km/h及以下速度运行进行设计。此时车辆转向架一、二系弹簧不变形,只产生轮轨间隙的随机变化,车体和转向架之间横动量的随机变化。故车体轮廓线和高平台(安全栅栏)之间按80mm间隙进行建筑限界设计是安全的,这个间隙也能有效防止工人高空作业时出现安 全事故。 第3款 对于铰接车辆,小半径曲线段限界加宽较大。车场内线间距小,曲线起点距离车门距离过小,容易导致大门处两线间距间的柱子布置困难,故作此规定。 5.4.12 设置道岔警冲标的目的是控制列车的停车位置,须保证岔后一线停车,另一线能正常过车的要求。 5.5 轨道区管线设备布置5.5.1 轨道区内安装的设备及管线(含支架)与设备限界的安全间隙,除架空接触网和接触轨外不应小于50mm。5.5.2 强弱电设备宜分别布置在线路两侧;当需布置在同侧时,其间隔距离应符合强弱电设备抗干扰距离的规定。 5.5.3 单渡线道岔转辙机宜布置在两线之间;交叉渡线区域的道岔转辙机,其中一组可布置在两线之间,另一组可布置在线路外侧。对于埋在路基中的道岔转辙机,可不受此限制。 5.5.4 区间隧道内管线设备布置应符合下列规定: 1 行车方向右侧宜布置弱电设备和管线,行车方向左侧宜布置强电设备和管线;消防设备、排水管宜布置在行车方向右侧; 2 在纵向疏散通道上方2000mm范围内不应敷设妨碍人员疏散的管线设备; 3 射流风机宜布置在隧道两侧,困难情况下可布置在隧道顶部; 4 当架空接触网隔离开关安装在轨道区时,应检查该处隧道建筑限界,并应满足架空接触网隔离开关及轨道区管线安装空间。 5.5.5 地面和高架区间管线设备布置应符合下列规定: 1 地面和双线高架区间的弱电和强电设备,宜分开布置在两线之间或两线外侧; 2 信号机宜安装在两线外侧。 5.5.6 车站范围内管线设备布置应符合下列规定: 1 岛式车站的广告灯箱、信号机和弱电电缆宜布置在行车方向右侧,强电电缆宜布置在站台板下电缆通道中; 2 侧式车站的广告灯箱宜布置在两线之间,信号机宜布置在站台侧,弱电电缆和强电电缆宜布置在站台板下电缆通道中。 条文说明
5.5.1 本条规定的目的在于保证列车在故障状态运行时不会与轨道区的管线、设备擦碰,以及保证限界检测车的顺利通过。5.5.2 强电主要指供电和动力照明电缆,弱电主要指通信、信号的电缆。强、弱电共用通道时,要求满足强、弱电电气间隙要求。电缆路由需考虑减少过轨、方便与相关设备连接等因素。轨道区两侧的各种管线排列有序,保持顺直,避免频繁过轨或交叉。道岔区转辙机、信号机的安装位置则要求根据信号系统的布置确定。 5.5.3 传统的单开道岔转辙机布置在两线间,交叉渡线转辙机因线间距小,两线间布置两组转辙机一般有困难,故其中一组布置在线路外侧。对于埋在轨道中线位置、道床下方路基中的道岔转辙机,不受此限制。 5.5.4 轻轨隧道一般较少,如有地下隧道,本条管线布置参照地铁管线设备布置规定。 5.5.5 本条为原则规定,主要考虑强、弱电间的干扰。 6 线路6.1 一般规定6.2 线路平面 6.3 线路纵断面 6.1 一般规定6.1.1 线路设计应依据线网规划和城市总体规划,确定线路的功能定位和运营需求,明确线路走向、起讫点、车站设置、车场选址和资源共享等内容。6.1.2 线路设计应根据网络化运营需求,设置不同线路间的联络线。 6.1.3 线路设计应依据线网规划,近远期相结合,预留远期线路延伸条件,并做好用地控制规划。 6.1.4 线路设计应根据线路的功能定位、预测客流、运营需求、工程实施条件等因素,选择相应的路权形式。 6.1.5 线路敷设方式应根据城市总体规划、工程地质和环境条件,因地制宜地进行选择,通常以地面线或高架线为主,在城市建成区和规划人口密集区可采用地下线。 6.1.6 车站分布应符合下列规定: 1 车站分布应以线网规划的换乘节点、城市交通枢纽为基本站点,并应结合城市道路布局和客流集散点分布确定; 2 车站选址应能服务周边客流,衔接重要交通枢纽,与其他交通方式换乘便捷; 3 车站间距应根据城市的现状及规划、线路功能定位和旅行速度目标等要求综合确定,中心城区宜为500m~1000m。 条文说明
6.1.2 轻轨地面线路区别于地铁的一个突出的特点就是可以实现互联互通,进行公交化、网络化运营。两条相交线路可以根据运营需求通过联络线相连,开行多个运营交路。因此,在轻轨线路设计时,需根据客流走向和运营需求,合理设置线路间的联络线。因轻轨的联络线平时有车辆运行,所以,其设计标准也要与正线一致。6.1.3 轻轨线路在建设时,需要根据线网规划,在与线网中其他线路有交叉的点预留预埋后期建设工程的下部基础,比如在建设近期线路时,将远期横向交叉线路的轨道基础一并建成,从而避免在远期线路实施时,长时间中断既有线运营,以及道路的通行。同时,为了远期线路便于实施,要求首先从规划层面做好用地控制规划,对两侧的建筑物退离红线的距离提出合理要求。 6.1.4 轻轨线路分为独立路权、半独立路权。设计时根据速度要求、全程的运营时间目标值要求、客流量的大小、沿线工程的实施条件,选择相应的路权形式。在独立路权区段为保证车辆安全、快速运营,需要设置路缘石等防止人、车入侵的设施。 6.1.6 第1款 轻轨车站的分布原则上根据大客流点有效吸引范围而定。具体做法是选择城市交通枢纽点为基本站点,结合城市道路布局和客流集散点分布而定。同时考虑网络化运行特点,线网规划中的线路交叉点,是各条线路运行中乘客的换乘点,也是线网客流换乘的平衡调节点,在正常情况下设置车站。 第3款 车站分布原则上是根据大客流点吸引有效范围而定,又要考虑列车旅行速度,此与站间距离密切相关。同时要避免单个车站客流过于集中,适当分散为宜。但从总体上看,从方便乘车、提高客流效益考虑,城市中心区和居民稠密地区车站间距条件允许时为500m~1000m。 6.2 线路平面6.2.1 线路平面圆曲线半径应根据车辆型式、道路条件、地形条件、运行速度、环境要求等因素综合比选确定。位于道路路段的圆曲线半径应与所沿道路一致,路口转弯处的最小曲线半径应符合表6.2.1的规定。表6.2.1 最小曲线半径(m)
表6.2.2 车站最小曲线半径(m)
6.2.4 线路不宜采用复曲线。复曲线间应设置中间缓和曲线,其长度不宜小于15m,并应满足超高顺坡率不大于2‰的要求。 6.2.5 缓和曲线的设计应符合下列规定: 1 线路平面圆曲线与直线之间应设置三次抛物线形缓和曲线,曲线道岔处除外。 2 缓和曲线长度应根据曲线半径、列车通过速度及曲线超高等因素,按表6.2.5规定选用。 表6.2.5 线路缓和曲线长度
3 缓和曲线长度范围内应完成直线至圆曲线的曲率变化,以及轨距加宽过渡和超高递变。 4 当圆曲线较短、计算超高值较小时,可不设缓和曲线,但曲线超高应在圆曲线外的直线段内递变。 5 位于平交路口的圆曲线,其超高值应根据道路竖向设计、列车运行速度等因素综合确定。困难情况下可不设超高,但应确定列车速度限制值。 6.2.6 正线、联络线及车场出入线上,两相邻曲线间的夹直线长度不宜小于15m,困难情况下不得小于车辆两个模块间的全轴距。 6.2.7 道岔应靠近站台设置,但道岔尖轨尖端至站台端部不应小于5m。 6.2.8 正线上采用的道岔型号不宜小于6号,车场线采用的道岔型号不宜小于3号。 条文说明
6.2.1 在地面线路上敷设的线路,其最小曲线半径还受城市道路条件限制。《城市道路工程设计规范》CJJ 37-2012对城市道路最小曲线半径的规定见表1。
在路口处,轻轨车辆的最小曲线半径主要受车辆构造允许的最小转弯半径、行车速度以及道路条件影响。 经调研,国内外主要轻轨车辆厂家的车辆构造允许的最小转弯半径可达25m。 在平交路口转弯时,大曲线半径会严重影响路口的道路交通、切割转弯车道,造成不必要的拆迁。因此,在通过平交路口时,最小曲线半径一般要采用车辆构造允许的最小曲线半径,以减少对路口交通的影响和减少路口改造工程量及拆迁量。考虑一定的安全余量,在25m的基础上适当提高,困难情况下最小值采用30m。出入线由于速度较低,困难条件下允许采用25m。 6.2.2 车站站台段线路一般要设在直线上,若曲线半径过小,车辆停靠站台时与站台间的间隙过大,对乘客安全不利。目前国内外轻轨车辆基本采用模块化设计,一辆车由数个模块组成。车辆的模块单元长度越长,全轴距越长,对曲线半径的要求就越大,因国内轻轨车辆厂家较多,为能统筹兼顾,本标准规定最小的曲线半径不宜小于300m。主要是出于对乘客上下车的安全考虑。 6.2.3 圆曲线最小长度规定为不宜小于一个模块长度,目的是避免车辆的一个模块同时跨越在三种线形上,造成车辆运动轨迹过渡不顺畅,而可能出现脱轨事故。目前,国内轻轨车辆一个模块长度均小于15m。所以,从运行安全性考虑规定圆曲线长度不宜小于15m。困难情况下不得小于车辆相邻转向架的全轴距。 6.2.4 复曲线是两种不同半径的同向曲线直接连接,存在曲率的突变点,对列车运行平滑性不利。如要采用,需设置中间缓和曲线,达到曲率半径的缓和过渡。 缓和曲线是一种曲率渐变性的二次抛物线形的过渡性曲线,长度15m是基于满足车辆的全轴距长度的要求而定。由于不同曲线半径设置不同超高,因此,中间缓和曲线内完成两个曲线超高差的过渡任务,一般为2‰的顺坡率,符合轨道超高的顺坡率要求。也是制约缓和曲线最短长度的要素之一。 6.2.5 第1款 缓和曲线线形:采用三次方程的抛物线形,是使曲率半径由到R过渡变化的合理线形,是轮轨系统长年来设计和运营经验的积累。 第3款 缓和曲线的长度是根据曲线半径R、列车通过速度V以及曲线超高h三种要素确定的。在缓和曲线长度内要完成直线至圆曲线的曲率变化、轨距加宽和曲线超高的递变(顺坡)率。 第4款 在圆曲线上,若计算超高值较小时,则曲线超高(含轨距加宽)能够在圆曲线外的直线段内完成递变,按困难条件处置。例如:计算超高计数值小于30mm时,按3‰超高顺坡计算长度小于10m,允许不受15m限制。如出现在两曲线间夹直线中,则需要注意夹直线中无超高地段长度保持15m的要求。 第5款 因轻轨交通地面线路与城市道路密切匹配,在道路路口转弯时,不仅要满足自身要求,还需满足道路的平顺度,满足社会车辆的通行条件。因此,在平交路口的圆曲线,其超高值需要综合考虑设计,困难条件下允许不设超高,但要确定限速值。 6.2.6 曲线间夹直线长度的确定主要考虑两个因素:一是舒适度,二是安全性。 1 舒适度标准-乘客的感觉评价 1)车辆在曲线振动附加力,主要在缓和曲线和直线衔接点的水平冲角和竖向冲角引起的(横向力、垂直力、轮对旋转时打击外轨的力)振动及附加力。 2)夹直线是车辆在前一个曲线产生的振动衰减后再进入第二个曲线,不致两个曲线的振动叠加。夹直线就是需要的振动衰减的时间距离。 2 安全性标准-轮轨的几何关系 正线上,按车辆的一个模块不跨越两种线形,原则上不小于一个模块长度,所以取值为15m。困难情况下,不得小于车辆两个模块间的全轴距。 6.3 线路纵断面6.3.1 地面线路纵断面应结合城市道路现状及规划设计。当为现状道路时,宜首先根据道路现状进行拟合,并宜设计成较长的坡段。6.3.2 地面线路轨面高程应根据道路条件、排水方向、雨水口方位等因素进行设计,必要时可改造城市排水系统。地面线路的防淹、防洪标准不应低于所沿道路。 6.3.3 地面线路在平交路口,轨面应与道路面齐平。在绿化路段,应根据景观绿化和排水要求设置轨面与路面的高差,轨面高程不宜低于路面。 6.3.4 在既有桥梁区段,纵断面设计应结合桥梁结构形式,满足轨道结构高度、轨道平顺性、景观的要求。 6.3.5 地面线路在路口道岔区的纵断面设计应结合路口竖向设计,并应满足道岔敷设条件。 6.3.6 线路正线最大坡度不宜大于50‰,困难条件下可采用60‰,均不计平面曲线对坡度折减值。 6.3.7 沿道路敷设的地面线路最小坡度应符合道路最小坡度的要求。 6.3.8 地面站宜与道路坡度相协调,并应满足车辆的爬坡能力和停车限制坡度。高架站宜设在不大于2‰的坡道上。 6.3.9 当相邻坡段的坡度代数差大于或等于2‰时,应设竖曲线连接。竖曲线的半径宜根据车辆运行速度和乘客舒适度,执行表6.3.9的规定。 表6.3.9 竖曲线半径(m)
6.3.11 线路最小坡段长度不宜小于远期列车长度,相邻竖曲线间的夹直线长度不宜小于30m。 条文说明
6.3.1 在城市道路上敷设的地面线路,根据道路的实施情况,可以分为在规划道路、同步实施道路和既有道路。根据不同的情况,分别进行处理。当在规划道路上建设时,需要根据道路的设计标准和轻轨车辆的参数同步设计,最好同步施工。 当轻轨交通与所沿道路同步实施时,其纵断面设计需要在道路纵断面的基础上,根据自身的景观绿化、排水要求,结合硬绿化分界点、道岔、站台等特殊位置,再进行相应的调整。 当轻轨交通在既有道路上实施时,需要根据既有道路的实际情况、破旧程度、沉降程度等进行现状道路纵断面的拟合,再根据拟合后的道路纵断面进行轻轨交通线路本身的纵断面设计。 为保证轻轨轨道的施工精度控制,方便后期的运营养护,最好设计为长大坡度,避免坡度太碎。 6.3.3 在绿化路段,为了保证轻轨自身的排水和绿化景观要求,轻轨的轨面标高需要比道路路面高出一定的高度。该高差的控制则根据路缘石的高度、每个路口的具体情况,沿线道路的坡度情况进行具体分析。但在路口除满足自身的行车要求外,尚需满足社会车辆的通行要求,这就要求轨面标高和道路标高一致。因此就产生了在绿化带有高差、在硬化段平齐的矛盾。为解决这一矛盾,有以下两种做法: 第一种做法是将路口处的轨面标高降低,这样就会导致纵断面的坡度很碎,所以不建议采用。 第二种做法是始终保持轨面标高平行于道路标高,在路口重新做竖向设计,以保证二者的平顺和协调。这种做法会带来路口一定的改造工程量。为了避免在路口处对路口的竖向设计影响太大、扩大路口改造范围、加大改造工程量,轨面与路面的高差不推荐太大。 两种方法视具体而定,以第二种方法为主,也可以两种做法相结合。 6.3.4 在既有桥梁上敷设时,需要对既有桥梁工程进行全面的检测,根据桥梁改造采用的梁型和选择的轨道结构高度,确定轨面设计高程。同时为了保证桥上与两端路段上纵断面设计的平顺性、景观上的协调性,需要综合景观与道路条件设计为缓和平顺的坡度,在距离桥梁较近处再进行坡度变化,显得突兀,运营起来平顺性和舒适度也差。 6.3.5 因考虑不同线路之间车辆的跨线网络化运营,需在路口线路交叉处设置道岔和联络线。在路口敷设道岔时,尽量使岔区位于同一空间斜面上,避免在道岔区域产生竖曲线。联络线中部可以位于竖曲线上。 6.3.6 线路最大坡度主要由地形条件、道路条件和车辆性能决定。根据国内轻轨车辆厂家提供的车辆性能,均能满足60%的纵坡要求。在一般的平原和丘陵城市,道路的纵坡条件基本上也能够满足该要求。 6.3.7 地面线路的最小坡度,主要为了排水通畅、避免积水。地面线路有两种情况,一是在道路上敷设的,另一种是在道路外敷设。在道路上敷设的线路,道路本身就有最小坡度的要求,轻轨列车与其匹配即可。独立敷设的地面线路,根据周边地形条件,在满足排水要求的前提下,确定坡度。 6.3.8 因地面轻轨大多在城市道路上敷设或者沿路侧敷设,车站站台简单,为使其与道路协调,车站的坡度尽量与道路的坡度一致,否则将导致车站段与道路之间不相协调,有不规则的凸台出现,景观效果差,还有可能阻挡社会车辆的行车视线。因此,在满足车辆的爬坡能力和停车限坡要求的情况下,不对地面车站处的坡度做具体要求。 6.3.9 为保证车辆在变坡点处的运行安全和乘坐舒适性要求,相邻坡段的坡度差大于或等于2‰时,采用圆曲线形竖曲线连接。根据研究,竖曲线半径由乘坐舒适性要求控制,即列车运行于竖曲线产生竖向离心加速度限制。该值一定的条件下,竖曲线半径主要跟行车速度有关。综合参考我国既有的高速铁路及城市轨道交通设计规范的规定,竖直曲线半径R=0.2V2。根据计算,一般情况下取2000m,困难条件下取1000m。 另外,根据国内多个车辆厂家的轻轨车辆使用条件,最小竖曲线半径条件允许时不小于1000m。 6.3.11 从车辆运行平稳性要求考虑,纵断面坡段长度条件允许时设计为较长的坡段;但从与道路灵活匹配程度、节省工程投资角度分析,较短的坡段能够较好地适应道路条件,减少工程量,降低工程投资。因此,最小坡段长度的确定,既要满足车辆运行的平稳性要求,又要尽可能地节约工程投资,使两者合理兼顾。 从车辆运行平稳性的角度考虑,最小坡段长度除需满足两竖曲线不重叠外,还需要考虑两竖曲线间有一定的夹直线长度,确保车辆在前一个竖曲线上产生的振动在夹直线长度范围内完成衰减,不与下一个竖曲线产生的振动产生叠加,改善列车运行条件。30m夹直线就是相当于振动衰减的时间距离。 另外,需要说明的是,轻轨地面线路一般沿道路敷设。城市道路根据不同的设计速度规定了相应的最小坡段长度标准,轻轨线路的最小坡段长度与道路尽量统一,同时兼顾一定的灵活性。 7 轨道7.1 一般规定7.2 基本技术参数 7.3 轨道设备 7.4 道床结构 7.5 无缝线路 7.6 轨道减振 7.7 轨道安全及附属设备 7.1 一般规定7.1.1 轻轨轨道系统应具有足够的强度、稳定性,并应满足运营要求。7.1.2 轨道结构应质量均衡、弹性连续、强度均等、匹配合理、施工简便、维修便捷。 7.1.3 轨道设备应安全、可靠、维修量小,并宜标准化、系列化、通用化。 7.1.4 轨道养护维修用房、检测和维护设备、备品备件,应根据线网规划及工程运营维修需要配备。 条文说明
7.1.1 轨道是轻轨的主要设备,除引导列车运行方向外,还直接承受列车的竖向、横向及纵向力,因此轨道结构需要具有足够的强度、耐久性,保证列车快速安全运行。轻轨是专运乘客的轨道交通,轨道结构要有适量的弹性,使乘客舒适。当采用钢轨作为牵引用电回流电路时,轨道结构自身满足绝缘性要求,以减少杂散电流对结构、设备进行腐蚀。7.1.3 轨道结构在不同结构地段采用通用的零部件,有利于简化设计和施工内容,减少订货和维修备用料种类。 7.1.4 为方便轻轨工务维修,设计根据需要配备轨道维修用房、维修检测设备、备品备件等。 7.2 基本技术参数7.2.1 工字轨宜设置1∶40轨底坡,有轨顶坡的槽型轨不设轨底坡。7.2.2 曲线地段轨距加宽量应根据车辆走行部位参数和通过要求确定。加宽值应在缓和曲线全长范围内递减,无缓和曲线或其长度不足时,应在两侧直线段递减,轨距递减率不宜大于2‰,困难条件下不应大于3‰。 7.2.3 曲线超高值应按下式计算:
V——列车通过圆曲线平均速度(km/h); R——曲线半径(m)。 7.2.4 曲线超高设置应符合下列规定: 1 曲线最大超高应采用120mm;未被平衡超高允许值宜为75mm,困难条件下可为90mm。 2 有砟轨道应按全超高方式设置曲线超高。地面线及高架线宜按全超高方式设置曲线超高,地下线无砟轨道宜按半超高方法设置曲线超高。 3 超高顺坡率不宜大于2‰,困难地段不宜大于2.5‰,曲线超高值应在缓和曲线内递减,无缓和曲线或其长度不足时,应在直线段递减。 7.2.5 扣件铺设数量在正线及配线、试车线宜为1520对/km~1680对/km,在车场线宜为1440对/km。扣件刚度或间距变化处宜设置过渡段。 7.2.6 轨道结构高度不宜小于500mm,绿化地段应结合绿化要求进行道床形式设计。 条文说明
7.2.3 根据列车通过曲线时的平衡离心力、并考虑两股钢轨垂直受力均匀等条件计算曲线超高。7.2.4 根据最高行车速度、车辆性能、轨道结构稳定性和乘客舒适度确定最大超高为120mm。按满足舒适度要求,困难情况下未被平衡横向加速度取0.6m/s²,欠超高90mm。困难情况下超高顺坡率控制在2.5‰,以有效控制曲线减载率。 7.3 轨道设备7.3.1 钢轨应符合下列规定:1 应采用不小于50kg/m的钢轨; 2 埋置式轨道结构宜采用槽型轨,不同类型钢轨连接处应进行轮缘槽过渡; 3 无缝线路宜采用长定尺钢轨,有缝线路宜采用25m定尺长度钢轨及配套缩短轨; 4 钢轨选型应结合轮轨接触关系分析确定,钢轨硬度应与运营车辆的车轮踏面硬度匹配; 5 有缝线路钢轨接头应采用对接方式。曲线半径不大于200m的曲线地段应采用错接方式,错接距离不应小于3m。正线有缝线路钢轨接头应采用10.9级高强度接头螺栓,螺母采用10级高强螺母。车场线有缝线路钢轨应采用8.8级接头螺栓、10级螺母。 7.3.2 轨枕应符合下列规定: 1 有砟轨道宜采用预应力混凝土轨枕或预制轨道板; 2 无砟轨道宜采用预制钢筋混凝土轨枕或预制轨道板。 7.3.3 扣件应符合下列规定: 1 扣件应具有免维修或少维修的特点,结构简单、弹性适宜,具有一定的轨距及高低调整量,以及具有良好的绝缘和防腐性能; 2 高架线铺设无缝线路时,扣件阻力除应满足无缝线路强度及稳定性要求外,梁轨力大小尚应满足桥梁设计要求; 3 预应力混凝土轨枕地段宜采用弹性不分开式扣件; 4 扣件绝缘电阻干态下不应小于1.0×108Ω,湿态下不应小于5kΩ; 5 无砟轨道有绿化或硬化要求时,扣件应采取防护措施。 7.3.4 道岔及钢轨伸缩调节器结构应符合下列规定: 1 道岔及钢轨伸缩调节器的容许通过速度应满足列车通过的速度要求; 2 正线及配线道岔型号不宜小于6号,车场线道岔型号不宜小于3号; 3 在路口线路分岔处宜采用曲线道岔连接; 4 应结合全线线路布置,统筹定制线路交叉地段的道岔,并宜减少道岔类型; 5 道岔转辙器及辙叉部位、钢轨伸缩调节器不应设在结构变形缝及梁缝处; 6 高架线无缝线路应根据计算布置伸缩调节器; 7 道岔及钢轨伸缩调节器的钢轨类型应与其两端相联的钢轨类型一致,强度等级及材质不应低于两端相联的钢轨;有砟轨道地段道岔应采用预应力混凝土岔枕,无砟轨道地段的道岔宜采用预制钢筋混凝土岔枕或轨道板; 8 埋置式轨道结构地段,道岔转辙器部位应配置排水设施,寒冷地区尚宜配置除雪装置。 条文说明
7.3.1 轻轨采用城市轨道交通广泛采用的轨型,一般选用不小于50kg/m的钢轨,用于埋置式轨道结构时,采用槽型轨,可以简化轨道结构。钢轨材质要求与车轮硬度匹配。有缝线路钢轨接头采用对接,减少轮轨冲击次数,改善运营条件。曲线半径R≤200m的曲线地段易产生支嘴,要求采用错接,错开距离大于3m或大于轻轨车辆固定轴距(1900mm)。7.3.3 扣件是轨道结构的重要部件,力求构造简单、造价低,不仅要具有足够的强度和扣压力,还要具有良好的弹性和适量的轨距、水平调整量及绝缘性。 7.3.4 道岔是控制行车速度的关键设备,选型需满足行车要求,布置地段需尽量避开结构变形缝,道岔是轨道结构的薄弱环节,道岔钢轨材质不能低于区间材质要求。道岔岔枕要求采用混凝土岔枕。 7.4 道床结构7.4.1 高架线、地下线宜采用无砟道床,地面线根据工程特点可采用无砟或有砟道床。平交路口地段应采用埋置式无砟道床。正线同一曲线范围内宜采用同一种道床形式。7.4.2 有砟道床最小厚度应符合下列规定: 1 道床分层及道床最小厚度应符合表7.4.2的规定。 表7.4.2 有砟道床最小厚度(mm)
7.4.3 有砟道床的道床材料、砟肩宽度及堆高、道床边坡、轨枕与道床面距离应符合现行国家标准《地铁设计规范》GB 50157的规定。 7.4.4 无砟道床结构及混凝土轨枕的设计使用年限宜与轨下主体结构一致,并不得少于50年,材料应符合现行国家标准《混凝土结构设计规范》GB 50010的规定。 7.4.5 无砟道床宜采用轨枕埋入式道床,也可采用预制板式道床等新型道床结构。 7.4.6 平交路口区段的道床铺装面应与轨面平齐,并应与相邻结构表面铺装结构一致,与钢轨相接处应采取密封措施。 7.4.7 预制轨枕下的道床混凝土厚度不宜小于100mm,困难条件下不应小于60mm。 7.4.8 当采用嵌地接触轨供电方式时,道床应预留供电设备安装空间、线缆通道及相关接口。 7.4.9 无砟道床应设置伸缩缝,地下线宜每隔15~20个扣件节点、其他地段宜每隔8~10个扣件节点设置一道伸缩缝。结构变形缝和高架线梁缝处应设道床伸缩缝。 7.4.10 无砟道床应设置通畅的排水系统。地下线排水沟的纵向坡度宜与线路坡度一致。在线路平坡地段,排水沟纵向坡度或道床面横向排水坡度不宜小于2‰。埋置式无砟轨道应结合市政排水设施设置排水通道。 7.4.11 当轨道因绿化或平交路口要求需要埋置时,钢轨、扣件应采取防腐措施。 7.4.12 不同刚度轨道道床的衔接处宜设置弹性过渡段,过渡段长度不宜短于一节车长。 条文说明
7.4.1 高架线、地下线采用无砟道床,是考虑结构牢固、稳定及维修量小。地面线根据条件及需求采用有砟或无砟道床。为使同一曲线轨道弹性一致,有利于行车,保持轨道结构稳定性,减少维修工作量,同一曲线地段采用一种道床形式。7.4.4 道床结构的强度及耐久性影响行车安全,无砟轨道是永久性的土建结构,要求与轨下主体结构设计使用年限一致。 7.4.7 为保证枕下现浇混凝土施工振捣密实,轨顶枕下厚度不小于100mm,困难情况下不小于60mm。 7.4.12 为保证行车平顺性,要求不同道床形式衔接处的刚度过渡均匀,具体过渡形式及长度则根据不同道床形式结构特点考虑。 7.5 无缝线路7.5.1 在无缝线路检算安全的前提下,埋置式无砟轨道应铺设跨区间无缝线路。正线宜铺设跨区间无缝线路,出入线及试车线宜铺设无缝线路。7.5.2 无缝线路设计时应根据计算确定合适的锁定轨温。不同的锁定轨温之间应合理过渡。 7.5.3 钢轨伸缩调节器不得设置在半径小于2000m的平面曲线上,也不宜设置在竖曲线上。 7.5.4 无缝线路的相关计算、设计及位移观测桩的设置等应按现行行业标准《铁路无缝线路设计规范》TB 10015的规定执行。 条文说明
7.5.1 轻轨在采用埋置式轨道结构时,由于维修困难,需要尽量减少轨道薄弱环节,消除钢轨接头,铺设跨区间无缝线路。7.5.3 伸缩调节器铺设在竖曲线上,由于伸缩调节器本身不可避免地存在不平顺,此时将会与竖曲线形成的振动叠加,导致受力增大,养护维修量增大。铺设于曲线时,曲线半径越小,尖轨或基本轨伸缩后,造成轨距扩大量越大,病害越多。 7.6 轨道减振7.6.1 轨道减振设计应按项目环评报告要求,确定减振地段位置及减振等级。7.6.2 当采取减振工程措施时,不应削弱轨道结构强度、稳定性及平顺性。 7.6.3 同一工程的减振措施不宜多于三种,每一种减振措施长度不宜小于远期一列车的长度。 7.6.4 减振措施应根据项目环评报告要求和减振产品性能确定。 7.7 轨道安全及附属设备7.7.1 高架线铺设工字型钢轨地段,应设置防脱轨措施。7.7.2 在轨道尽端应设置车挡,并应符合下列规定: 1 正线、配线及试车线的终端车挡的额定撞击速度不应小于5km/h,并应满足车辆、信号等要求; 2 车场线终端应采用固定式车挡,额定撞击速度不应小于3km/h,并应满足车辆、信号等要求; 3 高架线终端等重要位置的车挡应设置与车辆相匹配的防爬器设备。 7.7.3 标志设置应符合下列规定: 1 结合运营需求,宜设置必要的线路及信号标志; 2 线路及信号标志应采用反光材料制作; 3 警冲标应设在两设备限界相交处,道岔编号标应设在道岔尖轨附近,其余标志宜安装在行车方向右侧司机可见的位置。 7.7.4 有砟轨道在平交路口地段应采用预制橡胶或混凝土道口板。 条文说明
7.7.1 防脱护轨是新型护轨设备,能消除列车车轮因减载、悬浮而脱轨的隐患,当一侧车轮轮缘将爬上轨顶面时,另一车轮轮背与护轨接触,促使要爬轨的车轮回到正常位置,防止列车脱轨。7.7.2 车挡是线路终端的安全设备,要求根据不同地段车辆运行特点,选取不同设防速度的车挡型式。 8 路基8.1 一般规定8.2 基床 8.3 路堤 8.4 路堑 8.5 工后沉降 8.6 路基变形观测 8.7 路基防护 8.1 一般规定8.1.1 路基主体工程应以地质、水文勘察资料为依据按土工结构物进行设计,应具有足够的强度、稳定性和耐久性,并应满足防洪、防涝、防排地下水要求。8.1.2 有砟轨道路基应按一次铺设无缝线路设计。 8.1.3 路肩高程应符合下列规定: 1 受洪水水位影响地段的路肩高程应以1/100的洪水频率标准进行设计; 2 受地下水位或地表积水水位影响地段的路肩高程应以其控制水位标准进行设计; 3 路肩高程应同时满足毛细水上升高度、冻胀深度和蒸发影响深度等的要求,并在此基础上再加0.5m; 4 当采取降低水位、设置毛细水隔断层、设计挡水构筑物等水工结构或封闭等措施时,路肩高程可不受本条上述各款的限制。 8.1.4 路基面宽度应满足限界、线路、轨道、设备布置的宽度要求。 8.1.5 路基支挡结构应符合现行行业标准《铁路路基支挡结构设计规范》TB 10025的规定。 8.1.6 路基应有完善的排水系统,并应与桥涵、隧道、站场、市政等排水设施衔接。 条文说明
8.1.1 在设计和施工时需要充分考虑对土工结构物产生影响的各种因素,包括:地质条件、列车荷载、路基自重、水流作用、气候及与其他交通、河流、管道等交叉时的影响等。土工结构物在设计年限内要具有足够的强度、稳定性和耐久性。8.1.3 路肩高程的确定关乎路基的强度、刚度、稳定性及耐久性,要重视水文影响,必要时采取相应的排水、支挡等措施,如在路基与U形槽过渡地段,需要避免路肩高程低于地表积水水位,并合理确定路基与U形槽的分界。地下水位高于轨顶以下1.5m时,一般不规划无砟轨道线路。 8.1.4 路基面宽度需要考虑路基稳定、养护维修、安全、线间距、轨道结构形式、曲线超高设置、通信信号和电力电缆槽布置、接触网支柱基础位置、声屏障基础等因素的影响。 尽管轻轨在列车非运营期间进行维修、养护,但有砟轨道路肩宽度仍要满足轨道养护、维修的需要。 无砟轨道路基需要根据轨道形式、管线布置方式进行确定,满足限界要求,其路基面宽度应该与桥梁(或桥台)宽度相匹配。 8.2 基床8.2.1 有砟轨道基床结构、厚度及压实标准应符合现行国家标准《地铁设计规范》GB 50157的规定。A、B及C组填料等分类标准应符合现行行业标准《铁路路基设计规范》TB 10001的规定。8.2.2 无砟轨道路基基床结构应符合下列规定: 1 无砟轨道路基基床结构应由基床表层和基床底层组成; 2 基床表层宜采用无机混合料、级配碎石或水泥稳定级配碎石; 3 基床底层宜采用A、B组填料或级配碎石(砂砾石)填筑; 4 基床厚度应根据荷载、基床不同材料参数,并按布氏理论等计算确定; 5 当基床表层采用无机混合料、级配碎石时,基床表层厚度不应小于0.4m;当基床底层采用A、B组填料时,基床表层厚度不应小于0.7m; 6 根据上部轨道结构要求,基床表层以上可设置垫层或无砟轨道支承层; 7 当无砟轨道支承层采用钢筋混凝土板时,应满足耐久性设计的要求。 8.2.3 平交路口路面设计指标应按相应的国家现行道路路面设计规范执行。 8.2.4 无砟轨道基床表层压实标准应符合表8.2.4的规定。 表8.2.4 无砟轨道基床表层压实标准
表8.2.5 无砟轨道基床底层A、B组填料压实标准
条文说明
8.2.2 无砟轨道的基床结构体系是为满足上部轨道结构的要求而确定的。无砟轨道路基基床结构中主要的受力结构为无砟轨道支承层和基床表层。支承层下垫层的作用是为无砟轨道支承层服务,满足其施工便利、质量可控的要求。轨道板、无砟轨道支承层、路基可以简化为弹性地基上的等价双层叠合梁模型进行计算。在结构分析时,保证道床板和支承层在荷载作用下的弯曲拉应力不大于相应的疲劳强度允许值。 列车动应力由轨道、道床传至路基本体,然后沿深度逐渐衰减,一般将动应力影响较大的部分定义为路基基床。压实土的动三轴试验表明,当动应力与自重应力之比在0.2以下时,加载10万次产生的塑性累积变形在0.2%以下,而且很快能达到稳定。因此,一般将动应力与自重应力之比0.2作为确定基床厚度的依据。 基床表层厚度的确定方法按满足以下两种条件进行控制:一是列车荷载作用下路基顶面变形量不超过3.5mm为限值;二是列车荷载作用下作用在填土上的动应力不大于填土允许应力。 填土的允许应力值可以通过填土的动三轴试验确定。试验表明填土存在一个临界动强度,即在小于该临界动强度的荷载作用下,土样的塑性累积应变接近于零。否则,土的塑性应变就会不断累积、发展,直至破坏。 在受冻胀影响的地区,路基基床结构设计要求满足抗冻胀要求。 8.2.4 根据高速铁路的有关研究及会议讨论,现行行业标准《高速铁路设计规范》TB10621对基床底层、基床以下部位的压实标准采用压实系数作为物理标准,但考虑到相关配套的试验等尚在完善之中,为此压实标准中仍可以沿用现行国家标准《地铁设计规范》GB50157中的相对密度、孔隙率、压实系数作为选用标准。 8.2.6 厂拌二灰砂砾要求具有产品质量合格证及石灰活性氧化物含量、粒料级配、混合料配合比及7d、28d龄期强度标准值。7d、28d无侧限抗压强度R7≥0.7MPa,R28≥2.0MPa。基床表层级配碎石粒径级配要求符合表2规定。其不均匀系数C。不得小于15,0.02mm以下颗粒质量百分率不得大于3%。
级配砂砾石填料的级配要求符合表3要求。用方孔筛时,采用2~3号级配,用圆孔筛时采用1~3号级配。
8.3 路堤8.3.1 有砟轨道路堤应符合现行国家标准《地铁设计规范》GB50157的规定。8.3.2 无砟轨道路堤应符合下列规定: 1 当无砟轨道路堤基床以下部位采用A、B组填料和C组碎石、砾石类填料时,压实标准应符合表8.3.2的规定。 表8.3.2 无砟轨道路堤基床以下部位填料的压实标准
3 地基表层天然地基的静力触探比贯入阻力Ps值不得小于1.0MPa,或满足天然地基基本承载力σ0不得小于0.12MPa的要求。 8.3.3 路堤边坡坡脚外宜设置不小于2m宽的护道,用地受限的特殊困难地段,应设置不小于1m宽的护道。 8.3.4 路堤边坡坡率及高度应按现行行业标准《铁路路基设计规范》TB 10001的规定执行。 8.4 路堑8.4.1 路堑边坡高度不宜超过20m。当路堑边坡高度超过20m时,应对采用隧道或明洞进行经济技术比较。8.4.2 不良地质、软土地质及受地下水影响的地段,不宜采用路堑方式,或可采取地基处理、U形槽结构等措施。 8.4.3 路堑基床表层应满足本标准表8.2.4压实标准的要求。基床底层厚度范围内天然地基的静力触探比贯入阻力Ps值不得小于1.2MPa,或满足天然地基基本承载力σ0不得小于0.15MPa的要求,且基床底层范围内的土质应满足防冻胀、防毛细水的要求。天然地基土质不满足要求时应采取换填或土质改良措施。 条文说明
8.4.2 不良地质、软土地质及受地下水影响的地段,其路肩高程需严格控制,以保证路基的干湿状态,因此一般采用填方的形式。路基的地下水位要求低于路基面1.5m,并避免采用路堑方式。
8.5 工后沉降8.5.1 区间正线有砟轨道路基工后沉降量应满足轨道要求,并不宜大于200mm。路桥过渡段不应大于100mm,沉降速率均不应大于50mm/年。8.5.2 区间正线无砟轨道路基工后沉降量应满足轨道要求,其工后沉降量不应大于扣件允许调高量。当沉降均匀且调整轨面高程后的竖曲线半径不小于0.4V²(V:设计速度,单位:km/h)时,工后沉降量不应大于50mm。 8.5.3 路桥或路隧交界处的差异沉降不应大于10mm,过渡段沉降造成的路基与桥梁、隧道的折角不应大于1.6‰。 条文说明
8.5.3 不均匀沉降变形降低了轨道几何不平顺和行车舒适性,有时出现较大的附加动力荷载,对系统的动力稳定性产生影响,为此控制路基的沉降变形是无砟轨道路基的关键。路桥过渡段从轨道高低不平顺的角度,10m弦测量误差为6mm,考虑铺轨过程中2mm允许施工误差,采用10m弦测量误差4mm作为路基差异工后沉降的设计控制标准,换算为折角即为1.6‰。 8.6 路基变形观测8.6.1 不良地质、软土地基地段的路基工程应设置满足评估需要的沉降观测点。8.6.2 轨道铺设前,应对路基变形进行观测、评估。 8.6.3 不良地质、软土地基地段的无砟轨道路基工后沉降值应控制在允许范围内,路基填筑完成或施加预压荷载后应有3个~6个月的观测和调整期。 条文说明
8.6.1、8.6.2 不良地质、软土地基地段的无砟轨道路基要求设置观测点,路基两侧埋设沉降、位移等观测设施,其控制标准需满足设计要求。
8.7 路基防护8.7.1 全封闭线路的路基应设置隔离栅栏等防护措施,防护高度宜为1.8m~2.5m。全封闭线路,邻近地面道路的路基或过渡段,宜进行防撞设计。8.7.2 对受自然因素作用易产生破坏的边坡坡面,应根据边坡的土质、岩性、水文地质条件、边坡坡率与高度、环境保护、水土保持要求等,选用适宜的防护措施。各种防护设施均不得侵入限界。 9 车站建筑9.1 一般规定9.2 地面站 9.3 站台 9.4 站亭 9.5 人行天桥和地道 9.6 服务设施 9.1 一般规定9.1.1 车站应满足预测客流需求,并应保证乘降安全、疏导迅速、布置紧凑、便于管理,同时应具有良好的通风、照明、卫生和防灾条件。9.1.2 车站与其他城市公共交通系统站点之间的换乘应便捷。当换乘设施不能同步实施时,应预留接口条件。 9.1.3 根据客流需求,车站周边应设置供乘客安全集散的空间,首末站宜设置非机动车和机动车停车场。 9.1.4 轻轨交通车站宜以地面站为主。高架站和地下站除应执行本标准外,尚应符合现行国家标准《地铁设计规范》GB 50157和《建筑设计防火规范》GB 50016的规定。地面站的附属用房和高架站及其附属用房的建筑围护结构的热工设计,应符合现行国家标准《公共建筑节能设计标准》GB 50189的规定。 9.1.5 车站无障碍设计应符合现行国家标准《无障碍设计规范》GB 50763的规定。车站的无障碍设施应与城市道路的无障碍设施平顺衔接。 条文说明
9.1.2 轻轨通过车站实现与其他公共交通系统之间的客流转换,会使得整个城市公共交通系统网络化的优势得以发挥,因此轻轨与不同系统之间的车站能直接或就近换乘,不能时尽可能使两座车站之间具有良好的接驳以方便乘客。9.1.3 轻轨车站以地面站为主,乘客出站后经出入口通道到达道路交叉口,当交叉口设置信号灯时,存在乘客需在出入口通道处等待信号灯由红灯变绿后再前行的可能,因此需设置一定供乘客安全集散的空间。 9.2 地面站9.2.1 地面站应由站台、站亭和服务设施三部分组成。当地面站通过平面形式直接进出站时,应包括出入口通道;当通过立体形式进出站时,应包括人行天桥及地道。车站沿机动车车道之间敷设时,应包括车站与机动车道之间设置的有效隔离的防撞设施。9.2.2 地面站乘客宜采用平面形式直接进出车站。当沿快速路路中敷设时,乘客宜采用天桥或地道进出车站。对超高峰小时最大上下车设计客流量大于5000人的车站且沿道路路中敷设时,应采用立体形式进出车站。 9.2.3 地面站宜集中组织乘客进出车站。出入口的总净宽度和数量应根据计算确定,且应满足超高峰小时最大上下车设计客流量的要求。出入口通道的通行能力应为1800人/(h·m)。 9.2.4 根据站台与线路的位置关系,站台应分为侧式、岛式和混合式三种类型。混合式站台应包括岛式和侧式两种以上站台形式。 9.2.5 当地面站沿道路路侧沿街敷设时,站台宜结合路侧人行道、市政、交通、商业及休闲广场等周边环境统一整体设计。 9.2.6 当地面站沿快速路路中敷设时,车站靠近机动车道侧应设置防撞护栏。地面站沿主、次干路路中敷设时,车站靠近机动车道侧应设置防撞柱。防撞护栏和防撞柱应连续。 9.2.7 站台边缘至道路交叉口的距离应经计算确定,且不宜小于10m。 9.2.8 为立体形式进出站而设置的人行天桥和地道,应位于有效站台范围之外,且不应对司机的视线产生影响。 9.2.9 地面站不宜设置设备与管理等附属用房。首末站可根据运营需求设置附属用房。 9.2.10 首末站的出口和入口宜分开设置。 9.2.11 地面站应设置方便乘客上下车的站台,站台应设置供乘客挡风、避雨、遮阳和休憩的站亭。 9.2.12 当采用车外售检票时,站台应采用栏杆、闸机等将站台围合成半封闭的空间。 9.2.13 地面站出入口宜设置坡道连接站台,并应经通道连接地面道路的步行系统。当设置人行天桥和地道连接地面道路的步行系统时,其人行天桥和地道的宽度应根据计算确定。 9.2.14 地面站的装修应采用防火、防腐、耐久、易清洁、安全的环保材料,并应便于施工与维修。构件宜标准化、模数化和工厂化。地面应采用防滑材料。 9.2.15 地面站应有统一的信息标志,包括名称标志、环境标志、导向标志、警示标志。站外500m范围内宜设有导向标志。 9.2.16 地面站的灯具宜与站亭统一整体设计,且应节能、耐久、防尘、抗风,并便于维修更换和清洁保养。 条文说明
9.2.1 “平面形式直接进出站”是指乘客通过连接站台的出入口通道或人行道,经道路交叉口不需立体提升直接到达道路两侧。“立体形式进出站”是指乘客通过连接站台的人行天桥或地道,经过立体提升后到达道路两侧。在车站与机动车道之间设置防撞设施可以防止机动车冲撞车站伤及乘客。9.2.2 轻轨地面站乘客平面直接进出车站可以减少上下提升,缩短进站距离,方便乘客上下车。当地面站在快速路路中敷设时,由于快速路是封闭线路,乘客无法平面进出车站,因此采用立体进出站的形式。 9.2.3 地面站集中组织乘客进出站,可以减少行人和机动车之间的相互干扰,确保乘客的安全。出入口的总宽度(m)=超高峰小时最大上下车设计客流量/1800。 9.2.6 地面站沿道路路中敷设,机动车发生交通事故时,存在冲向车站危及乘客人身安全的可能,故要有防护设施。快速路机动车速度快,发生事故后的破坏性较大,因此设置防撞护栏。 9.2.13 地面站出入口一般设置坡道连接站台,主要是因为站台距地面的高度较低,一般不满足设置3级踏步的条件,同时采用坡道可以兼顾无障碍的要求。人行天桥或地道的宽度需满足本标准第9.5.5条的相关规定。 9.3 站台9.3.1 站台的计算长度应采用列车最大编组的有效长度与停车误差之和。停车误差应取1m~2m。9.3.2 地面站站台宽度应按下列公式计算:
B2——侧式站台宽度(m); B3——侧站台宽度(m); D1——岛式站台支撑站亭柱子的宽度(m); D2——侧式站台支撑站亭柱子的宽度(m); N——远期或客流控制期,每列车高峰小时单侧最大上下车设计客流量(人); α——超高峰系数; ρ——站台上人流密度,可在0.33m²/人~0.75m²/人之间选用; L——站台计算长度(m)。 9.3.3 地面站侧式站台的宽度不宜小于3.0m;岛式站台宽度不宜小于5.0m,困难情况下不应小于4.0m。 9.3.4 靠近轨道区一侧的站台边缘应低于空载车辆车门附近地板面50mm。 条文说明
9.3.1 有效长度是指列车首末两节车辆尽端客室门外侧之间的长度。轻轨列车采用人工驾驶,停车不太准确,因此停车误差为1m~2m。9.3.3 站台上设有站亭和服务设施,侧式站台采用3.0m宽时,其有效候车区的宽度仅约2.5m,与车辆的宽度接近,因此侧式站台的宽度最小限定在3.0m。岛式站台抵抗突发客流风险的能力远远大于侧式站台,因此岛式站台的最小宽度限定在5.0m。 9.3.4 站台面一般设置横坡排水,因此站台会呈现内高外低的情况,因此只能控制其靠近轨道区一侧的站台边缘与车厢的高度,方便乘客舒适地上下车。 9.4 站亭9.4.1 站亭宜开敞设置。封闭设置在有效站台范围内和进出站通道内时,不应影响乘客的通行,且宜沿站台短边开门。9.4.2 站亭顶棚底距离站台面的高度不宜小于3.0m,顶棚边缘与候车座椅之间的距离不宜小于1.5m。顶棚边缘与站台边缘的距离应满足限界的要求。 9.4.3 站亭应防雨、抗震、抗风压和防雷。 9.4.4 站亭立柱宜贴临站台外侧布置,确有困难时可改变布置位置,但不应影响乘客通行。 9.4.5 站亭的屋面不应向轨道区内排水。9.4.6 站亭内应设夜间照明装置。 9.4.7 站亭的设计应简洁大方、易于识别。 条文说明
9.4.1 站亭开敞设置,在满足乘客挡风避雨遮阳休憩的前提下,较为环保和节能。封闭设置在有效站台范围内的站亭,其外墙至靠近轨道区一侧的站台边缘的距离,需满足乘客上下车的要求,一般需大于三股人流,其中一股为下车人流,两股为上车人流;门沿站台短边开启可以减少对乘客上下车的影响。
9.5 人行天桥和地道9.5.1 车站设置的人行天桥和地道应与市政道路的天桥和地道结合设置。9.5.2 人行天桥和地道宜采用楼梯直接上下或楼梯、自动扶梯兼有的上下方式。 9.5.3 楼梯的设计应符合下列规定: 1 楼梯梯段的总净宽应大于人行天桥或地道净宽的1.2倍,且最小净宽不应小于1.8m。设置自动扶梯时,楼梯梯段的总净宽应包含自动扶梯的宽度。 2 楼梯踏步的宽度不应小于0.26m,高度不应大于0.17m。 3 当梯段高差大于或等于3m时应设休息平台,平台长度不应小于1.5m。 4 梯段两侧应设扶手,当梯段的宽度大于四股人流时,应加设中间扶手。扶手的高度不应小于1.1m。 9.5.4 自动扶梯的倾角不应超过30°,运输速度宜采用0.65m/s,有效净宽应大于0.65m。 9.5.5 人行天桥或地道的净宽,应根据超高峰小时单侧最大上、下车设计客流量及其通行能力经计算确定,且不应小于3m。人行天桥或地道的通行能力为2400人/(h·m)。 9.5.6 人行天桥和地道的净高不宜小于2.4m。 9.5.7 人行天桥底至轨面的高度应满足车辆和设备限界的要求。 9.5.8 人行天桥设置的栏杆和栏板的高度不应小于1.1m。 条文说明
9.5.1 车站和道路的人行天桥和地道,统一综合设置可以节省投资,提高利用率。
9.6 服务设施9.6.1 站台服务设施应包括坡道、盲道、栏杆、栏板、信息标志牌、座椅、垃圾桶、防撞柱、防撞护栏等。9.6.2 设置在站台边缘的栏杆或栏板,其顶面距地面的高度不应小于1.1m。当靠近机动车道一侧采用玻璃栏板时,应采用安全玻璃。 9.6.3 站台边缘应设安全线,安全线宜结合盲道统一设计。 9.6.4 采用平面进出车站的出入口,其坡道的坡度不应大于1∶20。坡道宽度应根据计算确定,且不应小于1.5m。 9.6.5 信息标志牌宜与站亭统一设计。 9.6.6 首末站宜设置一定数量的座椅。 9.6.7 当站台长度小于50m时,宜设一处垃圾桶;当站台长度大于或等于50m时,宜增设一处。 9.6.8 防撞柱的高度不应小于0.4m。防撞护栏距离站台边缘的净距不得小于0.25m。 条文说明
9.6.2 设置在站台边缘的栏杆或栏板,其顶面距地面的高度不小于1.1m,可以防止乘客穿越机动车道发生事故。靠近机动车道一侧的玻璃栏板采用安全玻璃,可以防止机动车发生事故损坏玻璃栏板时不致伤及乘客。9.6.3 由于地面站的站台较窄,因此将盲道和安全线结合设置,减少对站台的分割。 9.6.4 坡道为进出站使用,需兼顾无障碍人员的通行。 10 工程结构10.1 一般规定10.2 区间桥涵结构 10.3 车站结构 10.1 一般规定10.1.1 本章适用于轻轨工程地面和高架结构的设计,地下结构的设计应符合现行国家标准《地铁设计规范》GB 50157的规定。10.1.2 轻轨工程结构的净空尺寸应满足限界和其他使用及施工工艺的要求,并应计及施工误差、结构变形、位移及后期隆沉影响。 10.1.3 结构设计应满足抗震设防、工程防水、结构防火、防腐蚀、防杂散电流等对结构的要求和耐久性的规定。 10.1.4 地面和高架建筑结构设计应满足城市减振、降噪及保护生态环境的要求,并应与周围景观环境相协调。 10.1.5 高架结构跨越铁路、城市轨道交通线路、城市道路或公路时,桥下净空应满足其限界要求。跨越通航河流应满足现行国家标准《内河通航标准》GB 50139的有关规定。 10.1.6 当桥涵和车站墩柱结构有可能受机动车等撞击时,应设防撞保护措施。当无法设置防护设施时,应进行防撞验算。 条文说明
10.1.4 地面和高架建筑结构,其形式需要充分重视对周边环境的影响,这包括对城市及城市周边景观上的要求和对周边环境的保护(如噪声、振动防治等)。已建的工程表明,列车通过时,钢结构桥梁振动噪声远大于混凝土结构桥梁,因此,除大跨需要或离建筑物较远的区域外,一般不建议采用钢结构桥梁,包括钢-混结合梁桥;另外,从运营维修角度考虑,中小跨度也要求尽量避免采用钢结构。10.1.5 桥梁跨越既有或规划的铁路、城市轨道交通线路、市政道路、公路或其他设施时,其跨径、墩台布置及桥下净空需要满足相关设施的限界及安全防护距离要求。桥涵净空除满足上述相关要求外,对因铁路或城市轨道交通线路抬道、市政道路和公路翻修抬高、地基沉降等要有足够的预估,避免影响通行净高。跨越排洪河流的桥梁结构桥下净空要求按1/100洪水频率标准进行设计,即桥梁需允许1/100的洪水顺利通过;技术复杂、修复困难的大桥如深水、高墩、跨度大于150m的桥梁,在洪水造成破坏后修复非常困难,且该类桥梁基本位于城市中,重要程度较高,故有必要将其标准提高到按1/300洪水频率标准进行设计;跨越通航河流时,其桥下净空需要根据航道等级确定,满足现行国家通航标准的要求。 桥梁在跨越铁路、城市轨道交通线路、市政道路、公路、河道及航道时,需要充分征求相关行业主管部门意见。必要时,可以根据相关法律、法规及行业主管部门意见,进行交通安全评估、通航论证、防洪影响评价等专题研究。 10.2 区间桥涵结构10.2.1 桥涵主体结构设计使用年限应为100年。10.2.2 轻轨结构设计荷载的分类、取值和计算方法宜按现行国家标准《地铁设计规范》GB 50157和现行行业标准《铁路桥涵设计基本规范》TB 10002.1的规定执行。 10.2.3 轻轨交通与城市道路或公路两用的桥涵设计应符合下列规定: 1 桥上轻轨交通线路应具有独立路权。 2 结构设计可按城市桥梁或公路桥梁适用的现行规范体系进行,荷载取值、材料特性、结构验算、构造要求等均宜满足现行道路桥梁规范的要求。 3 轻轨交通荷载应按本标准的有关规定计算,城市道路或公路活载应按现行行业标准《城市桥梁设计规范》CJJ 11或《公路桥涵设计通用规范》JTG D60的规定计算,其荷载组合应按下列组合的最不利情况取值: 1) 100%轻轨车辆活载与85%的城市道路或公路活载的组合; 2) 85%轻轨车辆活载与100%的城市道路或公路活载的组合。 4 结构整体计算时,轻轨车辆的荷载分项系数应为1.4,局部计算时轻轨车辆的荷载分项系数应为1.8;轻轨车辆荷载的频遇值系数、准永久值系数均应取为1.0。 10.2.4 利用或改建既有城市道路或公路桥涵时,应符合下列规定: 1 应按现行行业标准《公路桥梁技术状况评定标准》JTG/T H21的要求,对既有道路桥涵的技术状况进行检测评定,评定等级为3类及以下的桥涵不应使用。 2 应按现行行业标准《公路桥梁承载能力检测评定规程》JTG/T J21实测的主要受力部位钢筋锈蚀电位、混凝土碳化评定标度不宜低于1级。 3 既有桥利用部分结构的剩余设计使用年限不应少于30年。 4 对利用的构件应按现行行业标准《公路桥梁承载能力检测评定规程》JTG/T J21的要求进行核算。承载能力极限状态应满足现行公路行业标准的要求,正常使用极限状态宜满足原设计标准的要求。 5 行走轻轨车辆的上部构件技术标准和下部结构墩柱顶顺桥向、横桥向位移均应满足本标准相关条款的要求。 6 在既有桥上铺设无缝线路时,应核算钢轨在动弯应力、温度应力、制动应力、制动附加应力等共同作用下的安全性。 10.2.5 桥梁墩台基础的沉降可按现行国家标准《地铁设计规范》GB 50157的规定执行,涵洞工后沉降限值应与相邻路基工后沉降限值一致。 10.2.6 铺设无砟轨道的预应力混凝土梁在轨道铺设后竖向的徐变残余变形,其控制值宜符合下列规定: 1 当L<50m时,竖向徐变残余变形不应大于10mm; 2 当L≥50m时,竖向徐变残余变形不应大于L/5000。 注:L为桥梁的跨度(m)。 10.2.7 桥墩的纵向和横向刚度应满足列车运行安全性和乘客乘坐舒适性的要求,并应对最不利荷载作用下的纵向和横向水平位移进行控制;对于铺设无缝线路的桥梁,应根据梁轨共同作用计算对桥墩的纵向最小线刚度进行控制。桥墩的墩顶位移和刚度应符合下列规定: 1 桥墩墩顶弹性水平位移应满足下列要求: 顺桥方向:
L——桥梁跨度(m),当为不等跨时采用相邻跨中的较小跨度;当L<25m时,L按25m计。 2 桥上铺设无缝线路且无钢轨伸缩调节器的双线及多线简支梁桥,其桥墩的墩顶纵向最小水平线刚度限值应根据梁轨共同作用计算确定;当不作计算时,其桥墩的墩顶纵向最小水平线刚度限值,可按表10.2.7的规定取值。单线桥梁桥墩纵向水平线刚度取用表中值的0.6倍。 10.2.8 在列车静活载作用下,轻轨桥梁梁体竖向挠度、单端竖向转角、横向水平挠度、两轨动态不平顺度应符合现行国家标准《地铁设计规范》GB 50157的规定。 表10.2.7 桥墩墩顶纵向最小水平线刚度限值
10.2.9 预应力混凝土结构,应按破坏阶段检算构件截面强度,按弹性阶段检算构件应力、截面抗裂性和构件变形;普通钢筋混凝土结构和钢结构,应按容许应力法设计。其材料、容许应力、主力与附加力或特殊荷载组合下的应力提高系数、结构计算方法,应符合现行行业标准《铁路桥涵钢筋混凝土和预应力混凝土结构设计规范》TB 10002.3和《铁路桥梁钢结构设计规范》TB 10002.2的规定。 10.2.10 桥涵基础设计和地基的物理力学指标,应符合现行行业标准《铁路桥涵地基和基础设计规范》TB 10002.5的规定;当地震力除外的特殊荷载参与荷载组合时,地基容许承载力[σ0]和单桩轴向容许承载力的提高可按现行行业标准《铁路桥涵地基和基础设计规范》TB 10002.5的规定执行。 10.2.11 钢筋混凝土墩柱应按现行国家标准《铁路工程抗震设计规范》GB 50111进行延性计算;对于墩(柱)高与桥墩计算方向尺寸之比小于2.5的矮墩,应按罕遇地震验算墩柱抗弯和抗剪强度。 10.2.12 桥梁的抗震设防分类应符合表10.2.12的规定。 表10.2.12 桥梁抗震设防分类
10.2.13 对抗震设防为6度区A类桥梁、抗震设防为7度及以上地区A、B类桥梁,其基础、盖梁、结点、支座应作为能力保护构件,墩柱的抗剪强度宜按能力保护原则设计。
10.2.14 桥涵混凝土的环境类别、作用等级、原材料性能、配合比、抗压强度、耐久性指标、裂缝宽度、施工控制措施和构造要求,应符合现行行业标准《铁路混凝土结构耐久性设计规范》TB 10005的规定;除冰盐等其他氯化物环境的耐久性外,均应符合现行国家标准《混凝土结构耐久性设计规范》GB/T 50476的规定。 10.2.15 桥涵的构造要求应符合现行国家标准《地铁设计规范》GB 50157和现行行业标准《铁路桥涵钢筋混凝土和预应力混凝土结构设计规范》TB 10002.3、《铁路桥涵地基和基础设计规范》TB 10002.5、《铁路桥梁钢结构设计规范》TB 10002.2的规定。桥梁抗震构造应符合现行国家标准《铁路工程抗震设计规范》GB 50111的规定。 10.2.16 区间高架桥桥墩边缘至行车道边的净距应满足现行行业标准《城市道路工程设计规范》CJJ 37中关于侧向净宽的规定。当区间高架桥敷设于道路中间时,道路中央分隔带宽度不宜小于4m。 10.2.17 当桥梁承台或扩大基础轮廓侵入行车道时,其顶面应置于路面以下,且埋深不宜小于1.5m。基础设计时应计入车辆活载的附加作用。 10.2.18 桥涵与架空高压线之间的最小垂直距离应符合现行国家标准《66kV及以下架空电力线路设计规范》GB 50061、《110kV~750kV架空输电线路设计规范》GB 50545的规定。 10.2.19 桥涵基础与地下管线之间的距离应符合现行国家标准《城市工程管线综合规划规范》GB 50289的规定。 10.2.20 涵洞设计应符合下列规定: 1 涵洞宜采用钢筋混凝土矩形框架涵; 2 涵洞顶至轨底的高度不宜小于1.2m,困难条件下涵顶不得高出路基基床底层顶面; 3 涵洞可布置成斜交,但斜交涵洞的斜交角度不宜超过45°; 4 涵洞沉降缝不应设在轨枕或无砟轨道板下方; 5 软弱地基上的涵洞,其地基处理方式应与涵洞两侧路基地基处理方式相协调; 6 涵洞孔径不应小于1.25m,净高不应小于1.50m。 10.2.21 桥涵的桥面宽度应根据建筑限界、应急疏散、设备布置等因素计算确定,并应预留设备的安装、检修和更换条件。 10.2.22 采用直流电力牵引和走行轨回流的桥涵,应采取杂散电流腐蚀的防护措施,并应符合现行国家标准《轨道交通 地面装置 第2部分:直流牵引系统杂散电流防护措施》GB/T 28026.2的规定。钢结构及钢连接件应进行防锈处理。 10.2.23 桥面应设置连续、整体密封和耐久的防水层。桥面防水层技术要求应符合现行行业标准《铁路混凝土桥面防水层技术条件》TB/T 2965的规定。防水层上应覆盖致密、耐磨和耐冲击的保护层。 10.2.24 桥面应设置性能良好的排水系统,排水设施应便于检查、维修与更换。双线桥桥面横向宜采用双向排水坡,单线桥桥面横向可采用单向排水坡,坡度不应小于2%。桥面纵向应设置不小于3‰的排水坡,并应分段设置拦水构造,用排水管将雨水排入市政管网;当不具备接入条件时,应设置散水构造。排水管道直径、纵向间距应根据计算确定,且直径不宜小于150mm。桥涵应设滴水檐防止水从侧面淌入梁、板底面。 10.2.25 梁缝应设伸缩缝,伸缩缝除应保证梁体能纵向自由伸缩外,尚应有效防止桥面水渗漏。在伸缩缝处的护栏或声屏障结构宜采取纵向封闭措施,护栏应设置伸缩节。 10.2.26 桥上护栏形式的选择应结合功能需求与景观影响,以及与接触网立柱、声屏障和设备管线布置的空间关系。护栏高度不应小于1.1m。 10.2.27 桥梁支座宜选用盆式橡胶支座或钢支座。 10.2.28 路基与桥台连接处应设置保证刚度和变形在线路纵向均匀变化的路桥过渡段。 10.2.29 跨越城市道路或公路的桥涵应设置限高设施。 10.2.30 跨越或临近轻轨线路的城市道路或公路桥梁应设置SS级的防撞墙及防抛网。 条文说明
10.2.1 国家标准《工程结构可靠性设计统一标准》GB 50153-2008第3.3.1强制性条文明确规定“工程结构设计时,应规定结构的设计使用年限”。参照国家标准《地铁设计规范》GB50157-2013第1.0.12条主体结构设计使用年限不应低于100年的规定,以及国家标准《工程结构可靠性设计统一标准》GB50153-2008附录A.2.3条“铁路桥涵结构的设计使用年限应为100年”的规定,本标准规定轻轨桥涵主体结构的设计使用年限为100年。10.2.3 第3款 考虑到铁路和公路同时位于最不利位置的概率较小,现行行业标准《铁路桥涵设计基本规范》TB 10002.1规定了公铁两用桥的荷载组合原则,对于同时承受铁路和公路荷载的构件,铁路荷载取100%,公路活载取75%,这对于公铁两用桥而言是合适的,因为公路活载与铁路活载相比数值较小,根据分析,折减后的活载约占总荷载的93%~96%。而轻轨车辆活载与铁路活载相比,荷载较小,因此为了使折减后的荷载效应与原荷载的比例与铁路规范接近,需要适当提高组合时的折减系数,确定了轻轨与公路活载的组合系数为0.85。同时由于轻轨的加载长度受最大列车编组的控制,而公路活载加载长度为无限长,所以当桥梁构件的影响线长度足够长时(约为两倍轻轨加载长度)就会出现公路活载的总量超过轻轨活载,因此在构件验算时需增加100%的公路活载与折减的轻轨活载组合的工况。 第4款 本款明确了轻轨与城市道路或公路两用的桥涵按照现行公路行业标准进行核算时的轻轨车辆的荷载分项系数、频遇值系数和准永久值系数。由于尚未调查轻轨车辆荷载的频遇值系数、准永久值系数,故规定其取值均为1.0。 10.2.4 第1款 现行行业标准《公路桥梁技术状况评定标准》JTG/T H21从上部结构、下部结构、桥面系三个部分将桥梁技术状况评定为1~5类,其中1、2类为功能完好、对桥梁使用无影响。现行行业标准《高速公路改扩建设计细则》JTG/T L11中明确规定,1、2类桥梁可以原位利用,3类桥梁经维修加固后达到1、2类桥梁的可以利用,4类桥梁推荐拆除重建,5类桥梁需拆除重建。考虑到轻轨列车行车密度大、人员密集,本条的编制思路是评定为1、2类的桥梁可以直接利用,3、4类桥梁不推荐采用,5类桥梁需拆除重建。 第2款 混凝土中钢筋锈蚀不仅影响结构的耐久性,而且影响结构的安全性。在判断既有桥梁是否能利用时,钢筋锈蚀的评定是一个重要的指标。而钢筋锈蚀电位、混凝土碳化状况是评定钢筋锈蚀的两个重要指标。现行行业标准《公路桥梁承载能力检测评定规程》JTG/T J21中明确规定了钢筋锈蚀电位、混凝土碳化状况的测试方法及评定标准。本条评定标准的要求既考虑了结构的安全需求,也考虑了尽量利用既有桥以节省投资的工程需要。 第3款 国家标准《工程结构可靠性设计统一标准》GB50153-2008附录A明确规定了中桥、重要小桥的设计使用年限为50年。因此,轻轨系统设计使用年限与既有桥设计使用年限不一致。从节省投资、减小对交通的影响角度考虑,本条规定改造后桥梁的剩余设计使用年限不应小于30年。 第4款 既有桥上行走轻轨列车时,可以视为既有桥提高活载等级。公路行业标准《公路桥梁承载能力检测评定规程》JTG/TJ21-2011第3.1.1条第2款规定了此种情况,因此可以按照该规范的相关要求进行利用构件的承载能力极限状态、正常使用极限状态的核算工作。 现行行业标准《高速公路改扩建设计细则》JTG/TL11中规定既有桥涵承载能力极限状态应满足或加固后满足现行标准的要求,正常使用极限状态应满足原设计标准的要求,并在设计中提出有针对性的运营管理和维护措施。因此,既有桥构件核算标准参考了该规范的要求。 第5款 既有桥利用实践中,有下部结构墩顶处位移偏大的情况。本款强调既有桥下部结构墩顶位移需满足本标准相关条款的要求。 第6款 既有市政桥梁顺桥向刚度一般都较低,极端状况时在钢轨动弯应力、温度应力、制动应力、制动附加应力等共同作用下,钢轨可能发生断轨,故要对钢轨进行核算。 10.2.5 桥梁墩台基础工后沉降限值主要为满足列车运营安全和舒适的要求。对于墩台基础均匀沉降,有砟轨道桥梁沉降限值参考了路基的沉降控制标准,无砟轨道桥沉降限值依据桥上轨道扣件容许的调整量确定。对于超静定结构,除满足轨道要求外,尚要求计算沉降差对结构产生附加应力的影响,并根据结构承受基础沉降差的能力确定沉降限值。 对于涵洞工后沉降限值,为保证轨道的平顺性,控制路基与涵洞间的不均匀沉降,条文规定涵洞沉降控制标准需与相邻路基控制标准相同,地基处理方式也最好一致。一般情况下,涵洞工后沉降限值:对于有砟轨道,不能大于100mm;对于无砟轨道,不能大于10mm。 10.2.6 预应力混凝土梁的徐变上拱度限值原则上根据轨道要求确定,控制工后徐变是为了确保桥上线路的平顺性。徐变产生的不平顺与跨度有关,故根据跨度进行了分级。对于预应力混凝土梁,特别是预应力混凝土简支梁,截面长期处于偏心受压状态,上下缘预压应力差较大。随着时间的增长,梁体会逐渐产生较大的徐变变形,即徐变上拱。梁体徐变上拱会导致线路的附加不平顺,影响行车安全性和乘坐舒适性。针对既有预应力混凝土梁徐变上拱开展了大量的研究工作。研究表明:恒载作用下截面应力水平以及梁体恒、活载设计弯矩比值是影响梁体竖向徐变变形的关键因素;提高结构刚度可以降低截面应力水平,合理地布置预应力束可以使梁的截面上下缘应力在预应力及恒载的作用下尽量接近,可以有效控制梁体徐变上拱值。实际工程中更为关注的是桥上轨道结构铺设完成后梁体的变形,即残余变形。预应力混凝土梁残余变形包括:混凝土徐变变形、混凝土收缩变形、预应力长期损失引起的弹性变形恢复,其中混凝土徐变变形为其竖向残余变形的主要部分。需要指出的是,若轨道铺设完成后仍有部分桥面附属设施(如声屏障)施工,则该部分荷载引起的弹性变形也需要计入梁体残余变形。 10.2.12 本条明确了轻轨桥梁的抗震设防分类,对于单跨跨度大于等于120m或联长大于250m的梁式桥,单跨跨度大于或等于150m的拱桥、斜拉桥、悬索桥等桥梁,由于跨度大、结构复杂、修复难度大,故将其划为A类桥梁。 10.2.13 为了确保墩柱延性的实现,在发生塑性变形时,按超强弯矩及其对应的剪力检算桩基础、盖梁、结点、支座、墩柱抗剪强度的承载能力,这就是能力保护的设计思路。参考国内外相关桥梁抗震设计规范,对于位于6度区的B类桥梁只需进行多遇地震的强度验算、设计地震的连接构造验算、延性验算并满足相关构造及抗震措施要求,无需进行能力保护设计。 10.2.14 本条是混凝土的耐久性规定。另外,钢筋混凝土结构中的钢筋保护层厚度、预应力混凝土结构中的预应力筋或管道间的净距、预应力筋或管道的保护层以及钢筋的保护层厚度除需要满足现行行业标准《铁路桥涵钢筋混凝土和预应力混凝土结构设计规范》TB10002.3的规定外,还需要根据不同的环境符合现行行业标准《铁路混凝土结构耐久性设计规范》TB10005的相关规定。 北方地区设于路边或路中的桥墩,要求按除冰盐溅射的腐蚀环境设计,遭雨水导致混凝土水饱和的部位要求按冻融危害环境设计。酸雨地区的桥梁不能采用硅酸盐水泥作为单一的胶凝材料。 10.2.16 根据多年来国内轨道交通桥梁建设情况,置于路中时,桥墩的横向宽度一般不大于3m,为确保侧向净宽不小于0.5m,中央分隔带宽度一般不小于4m。 10.2.17 根据多年市政建设经验,道路下常有管线埋设,需要承台埋置一定深度。一些工程实践表明,伸入行车道的承台位置处,在道路运行一段时间后会凸起,影响行车安全性和舒适性,也影响城市道路形象。其主要原因是,高架桥桩基沉降较小,而承台周边基坑的回填压实较困难,沉降量较大。加大承台埋深,可以减小承台范围内外的路基强度和刚度的差异。 10.2.18 桥涵与架空高压线之间的最小垂直距离(轨面、护栏顶、声屏障顶、接触网立柱顶等与架空高压线的垂直距离)需要根据架空高压线的电压等级满足现行国家标准《66kV及以下架空电力线路设计规范》GB50061、《110kV~750kV架空输电线路设计规范》GB50545的规定要求,这是为了确保高压线和轻轨的安全。 10.2.20 第1款 根据既有铁路涵洞使用情况,推荐采用整体性好、适应性强、方便施工及便于检查维修的钢筋混凝土框架涵。 第2款 保证路基的强度、刚度和轨道基础竖向的均匀性,能够保证列车行车安全和舒适运行。路基下设置涵洞后,对路基的刚度有一定影响,为尽量减小路基纵向刚度的突变,故对涵洞顶至轨底填土高度提出要求。 第4款 沉降缝位于轨道板下时,涵节的沉降差可能会引起轨道板的开裂,故沉降缝不允许设在轨道板下,而是设于两线之间。 第5款 为满足路基段轨道结构的平顺性要求,涵洞地基的处理方式建议与两侧路基处理方式相协调。 第6款 为便于检查维修人员在涵洞内作业,规定涵洞的最小内空间为1.25m宽、1.5m高。 10.2.21 桥涵的桥面宽度是根据建筑限界、疏散平台、设备布置、栏板或栏杆构造等条件计算确定的。为了减小运营后桥上设备安装、检修和更换的难度,故在桥面系设计时,需要为桥上设备安装、检修和更换预留必要的条件。 10.3 车站结构10.3.1 轻轨地面站结构造型宜简洁、轻盈,并宜使用钢结构。当选用混凝土结构时,应优化构件断面尺寸。10.3.2 高架站结构宜采用钢筋混凝土或预应力混凝土结构体系,也可采用钢—混结合结构。高架站轨道梁及其支承结构不宜采用钢结构。 10.3.3 地面站站亭结构设计使用年限可采用25年;地面站附设的建筑结构设计使用年限应为50年。 10.3.4 高架站结构设计使用年限应符合下列规定: 1 车站主体结构和使用期间不可更换的结构构件设计使用年限应为100年; 2 使用期间可以更换且不影响运营的结构构件设计使用年限可采用50年。 10.3.5 地面站结构设计,荷载取值及荷载组合应符合现行国家标准《建筑结构荷载规范》GB 50009的规定。 10.3.6 高架站结构设计,荷载取值除应符合现行国家标准《建筑结构荷载规范》GB 50009的规定外,尚应计入列车及附属设备和设施的荷载,并应按可能出现的最不利的荷载组合进行设计。 10.3.7 车站站台板、楼板和楼梯等部位的人群均布荷载标准值应采用4.0kN/m²;设备用房及设备运输通道应按实际使用荷载取值,但不应小于4.0kN/m²。 10.3.8 地面站和站亭应按现行国家标准《建筑抗震设计规范》GB 50011进行抗震设计,地面站抗震设防类别为重点设防类(乙类),站亭抗震设防类别为标准设防类(丙类)。 10.3.9 高架站抗震设计应按现行国家标准《地铁设计规范》GB 50157的规定执行。 10.3.10 高架站宜与其两端高架桥区间的变形协调,基础形式宜选用桩基或筏基。 10.3.11 车站的站棚基础可采用独立柱基,也可利用处理后的轨道路基作筏基。 10.3.12 车站主体及顶棚结构,应预留使用期间维修、保养及更换的条件。 条文说明
10.3.2 高架结构其景观效果和噪声、振动防治是需考虑的问题。已建工程表明,列车通过时钢结构桥梁振动噪声远大于混凝土结构桥梁,因此,为减少振动噪声,轨道梁及其支承结构一般不采用钢结构。10.3.4 高架车站主体结构是指直接和间接承担运营车辆荷载,保证车站稳定的结构构件;不可更换的构件是指直接承受车辆设备和人群荷载,在使用期间无法更换或更换会影响运营的结构构件。 10.3.12 根据目前高架站的使用情况,为便于进行日常维护,设计时需要考虑在适当位置增加锚钉等设施,便于维修时进行安全设施的绑定,也可以根据需要对车站结构、顶棚结构设置易于维修人员通行的铁爬梯、滑行爬梯、临时锚固件等设施。 11 交通组织11.1 一般规定11.2 交通调查与客流预测 11.3 线路与道路 11.4 车站与道路 11.5 平交路口交通组织 11.6 平交路口信号控制 11.7 交通衔接 11.1 一般规定11.1.1 交通组织设计应根据道路网、交通流量与流向、用地条件等因素进行,并应根据线路等级,宜采用人车分隔、机非分隔、轻轨交通与其他交通分隔的各行其道的措施。11.1.2 轻轨线路沿道路地面敷设时,应兼顾道路系统的功能定位和技术要求。 11.1.3 地面站的布设位置,可选择中央分隔带、主辅路分隔带或人行道外侧;按几何形状可分为港湾停靠式和直线停靠式两种。 11.1.4 地面站应结合道路线形特征、行人过街、周边环境等条件设置,并应保证站台进出安全、疏导迅速、布置紧凑、便于管理。 条文说明
11.1.2 城市道路的功能一般是综合性的,现行行业标准《城市道路工程设计规范》CJJ37带有普遍的适用性。但是当道路作为货运、防洪、消防、旅游等其他功能较为凸显时,标准规定除按照相应的技术要求执行外,还要满足其特殊性的使用要求。本条规定是为了同时落实道路系统与轻轨系统的技术要求。
11.2 交通调查与客流预测11.2.1 轻轨沿线交通调查应包括道路交通设施调查、交通流量调查和信号相位调查。11.2.2 道路交通设施调查内容应包括路段车道数、交叉口附近渠化车道数、车道功能和交通信号控制系统。 11.2.3 交通流量调查内容应包括道路交叉口早晚高峰期、非高峰期等时段的各类车型流量和流向。在各进口道上,流量应区分直行车流量、左转车流量、右转车流量以及掉头车流量。 11.2.4 信号相位调查内容应包括交叉口相位数和配时方案。 11.2.5 客流预测内容应包括轻轨与其他轨道交通系统换乘客流量、各预测年限沿线地面公交断面客流量、各道路交叉口高峰时段各流向的各类车型流量。 条文说明
11.2.1~11.2.4 由于轻轨系统存在多种路权方式,其中非全封闭的地面线很可能与地面道路交通相互影响。为了在设计中更好地处理两者之间的关系,条文中提出了对沿线道路交通的相关重点因素进行调查,并针对每项重点因素的调查内容提出要求。11.2.5 现行国家标准《城市轨道交通线路客流预测规范》DB11/T 786对城市轨道交通客流预测工作的基础依据、基本条件、技术要求和预测内容等做了全面规范,影响因素涉及相当广泛,包括国民经济发展水平、规划人口及就业岗位分布、道路、常规公共交通、小汽车发展水平、交通需求管理、票制票价政策等方面。本条规定是基于轻轨受道路系统影响程度较大的特点出发,对道路设施基本信息、道路交通流数据和平交路口交通信号数据的调查工作作出特意强调。 11.3 线路与道路11.3.1 轻轨线路在道路上的布置方式可分为路中式、主路路侧式、路侧式和双向同侧式四种。轻轨应根据道路交通组织需求,选取适合的线路布置方式。11.3.2 轻轨线路宜优先布置于主路路中或主路路侧。 11.3.3 单行道及道路一侧无明显交通量产生和吸引点的路段,宜选用双向同侧式的线路布置方式。 11.3.4 沿道路敷设的轻轨地面线路,宜设置为轻轨专用道。 11.3.5 对采用主路路侧布置方式的轻轨线路,不宜改变主辅路开口处的平曲线和竖曲线的线形;在主辅路开口处停车或设站,应满足机动车视距三角形的要求。 11.3.6 对采用主路路侧布置方式的轻轨线路,不应占据主路上的变速车道,并应避免在分合流区设置车站。 11.3.7 在同一路段内的线路宜采用相同的线路布置形式;当选线需要时,应选择平交路口或道路横断面形式变化过渡段进行线路布置形式的转换。 11.3.8 轻轨线路与相邻机动车道、非机动车道、人行道之间应设置分隔设施。分隔设施可采用护栏、隔离墩、路缘石等。 条文说明
11.3.5、11.3.6 主路与辅路是两种不同运行特征、不同行车速度的道路系统。根据交通流流入、流出主路的交通特征,车辆通过主辅路开口时,要经过加速、减速、交织等过程,整个过程将产生紊流,故要求避免在分合流区设置车站。采用主路路侧布置方式的轻轨线路,确需对主辅路开口和分合流区进行改造时,需要满足如下要求: 1 主路上出入口段需增设一条变速车道,变速车道长度为加速或减速车道长度与渐变段长度之和,具体规定参见现行行业标准《城市快速路设计规程》CJJ 129或《城市道路交叉口设计规程》CJJ 152。 2 辅路上一般情况需要增设一条车道,困难情况下不能增设的,则采取交通安全设施保证主路的行车要求。 11.3.8 分车带由安全距离、分隔带宽度、路缘带宽度三部分组成。分车带样式和宽度计算如下:
分车带宽度 W=Wsc+Wf+Wmc (1)
式中:Wsc——轻轨行车安全距离;Wf——设施带宽度; Wmc ——路缘带宽度。 采用路缘石形式的物理分隔,可以不计设施带宽度。 11.4 车站与道路11.4.1 地面站的布置应符合下列规定:1 车站宜采用直线停靠方式;根据道路线性要求、机动车道布置、行车组织、上下客需求等情况,也可采用港湾停靠方式; 2 当线路沿道路两侧敷设时,机动车道与非机动车道之间有分隔带的道路,可沿两者分隔带设置车站;无机动车与非机动车分隔带的道路,可沿人行道设置路侧式停靠站; 3 车站结合道路两侧的人行道布置时,该段人行道宽度缩减不应超过40%,并不得小于3m。 11.4.2 立交桥匝道出入口段及立体交叉坡道段不宜设置车站。 11.4.3 当布置轻轨车站而引起相邻行车道偏移时,应设置足够长度的过渡段,道路线形应满足相应道路等级的要求。过渡段长度可按现行行业标准 《城市道路路线设计规范》CJJ 193的规定执行。 11.4.4 车站(含站亭)造型、外立面装修和设备安装应同时满足轻轨限界要求及道路建筑限界要求。 11.4.5 车站内各类乘客集散设施的通行能力应与道路上的人行横道、人行天桥、地下通道等过街设施的通行能力相匹配。 11.4.6 车站立体过街设施应与城市人行天桥、人行地道和人行横道的规划相结合,过街通道宽度应同时满足车站过街客流量与道路行人过街流量的需求。 11.4.7 行人过街安全岛宜利用道路分隔带和轨道间地带进行布置。当安全岛宽度不够时,可将安全岛两侧人行横道错开设置,并应设置安全护栏。 条文说明
11.4.1 参见行业标准《城市道路交叉口设计规程》CJJ152-2010第4.4.7条。11.4.4 行业标准《城市道路工程设计规范》CJJ 37-2012第3.4.2条规定道路建筑限界内不允许有任何物体侵入。行业标准《城市道路路线设计规范》CJJ 193-2012第3.0.9条规定对通行无轨电车、有轨电车、双层客车或其他超长、超宽、超高特种车辆的道路,需要根据实际通行的车辆类型规定道路净高,并结合路网条件设置完善的交通管理和行车安全措施。 11.4.5 车站过街设施需要综合考虑车站过街客流量与道路行人过街流量,按照现行行业标准《城市人行天桥与人行地道技术规范》CJJ69的规定设置。 11.5 平交路口交通组织11.5.1 轻轨应进行沿线平交路口的交通组织设计,合理布设人行道、车行道及轻轨车道,并应设置交叉口信号、行车标志、标线等交通管理设施。11.5.2 在城市建成区道路上布设轻轨线路时,宜避免平面穿越环岛、错位多叉口和畸形交叉口。 11.5.3 轻轨线路在平交路口处的布置应符合下列规定: 1 专用道区段的平交路口,机动车进口车道,应区分左转车道、直行车道; 2 采用路中形式布设线路的平交路口,不应占用轻轨专用道的方式增加机动车左转专用车道; 3 采用路侧形式布设线路的平交路口,进口道展宽段与展宽渐变段的长度,应同时满足线路线形要求和现行国家标准《城市道路交叉口规划规范》GB 50647的规定。 11.5.4 相交道路中线交点的标高应为平交路口控制标高。线路设计不宜改变平交路口的控制标高。 11.5.5 轨道标高设计不宜改变平交路口原有的排水制。交叉口人行横道上游、交叉口低洼处应设置雨水口。 11.5.6 由于线路转弯而形成的转角安全岛,宜设置实体安全岛,其面积不宜小于7m2;面积窄小时,宜设置标线安全岛。 11.5.7 安全岛内侧宜设置右转机动车专用车道。在与轻轨交通线路之间设置必要的防护措施后,车道转弯半径不应小于25m。车道应按规划通行车型布设车道加宽,车道宽度应符合表11.5.7的规定: 表11.5.7 右转专用车道加宽后的宽度(m)
11.5.9 在平交路口,轻轨架空接触网导线高度应与道路限高匹配,并应有限高警示。 11.5.10 人行横道不应设置在道岔的可动尖轨处。 条文说明
11.5.3 典型的十字相交平交路口广泛存在一种交通信号相序:“东进口直行车辆与左转车辆同时放行”-“南进口直行车辆与左转车辆同时放行”-“西进口直行车辆与左转车辆同时放行”-“北进口直行车辆与左转车辆同时放行”,进口道的直行与左转车辆常常共用一条车道。这种路口施建轻轨系统后,为避免轻轨车与机动车互相干扰,进口道需区分左转车道、直行车道和右转车道。交通信号相序改为“东进口和西进口直行”-“东进口和西进口左转”-“南进口和北进口直行”-“南进口和北进口左转”。 11.5.6~11.5.8 安全岛是指设置在交叉口车行道中间的供行人安全避车的岛形设施,可以供行人横穿道路时暂时避车,也可以用来将车流引向规定的行进方向。由于轻轨车的转弯半径大于常见机动车的转弯半径,在平交路口处布置轻轨线路常常需要对原有安全岛进行改造。 11.6 平交路口信号控制11.6.1 轻轨线路与相交道路的平交路口应采用信号控制。11.6.2 对错位T形路口,当错位间距小于50m时,可视为一个十字路口或斜交路口,应设置信号灯。当错位间距大于或等于50m时,可视为两个T形路口,应分别设置信号灯。 11.6.3 平交路口相位设计,宜将轻轨相位与机动车相位合并,并应结合不同线路布置形式在平交路口相互转换的因素,设置信号周期相位数。信号周期的相位推荐数量可按表11.6.3规定采用。 表11.6.3 信号周期的相位推荐数量
11.6.5 平交路口信号优先的控制策略,应符合下列规定: 1 当相交道路交通流量与正线道路交通流量大体相当或略小于正线道路交通流量时,宜采用相对优先的信号控制; 2 当交叉口交通流量满足设置信号控制的最低要求,且相交道路交通流量明显小于正线道路交通流量时,宜采用绝对优先的信号控制; 3 当交叉口高峰小时交通流量不满足设置信号控制的最低要求时,可对该路口进行右进右出处理。 11.6.6 当采用平交路口信号优先时,信号配时的绿灯延长或红灯早断时间应符合下列规定: 1 应保证正在过街的行人安全过街; 2 应满足道路最小绿灯显示时间的要求; 3 在同一信号周期中不应同时延长和缩短轻轨所在的相位时间。 条文说明
11.6.1~11.6.3 轻轨线路在道路上的布置方式可分为路中式、主路路侧式、路侧式和双向同侧式四种,在交通组织上,主路路侧式和路侧式可归为一类,统称为路侧式。经过排列组合,轻轨车在平交路口的转化方式共有六种。不同的转换方式对平交路口原有的交通组织和交通秩序有不同程度的影响,详见表4。
1 路中式一路中式
轻轨车道在平交路口选择“路中式一路中式”的转换方式,对现状交通组织影响最小,从图2可以看出:轻轨直行通过路口的情况,轻轨与行人距离较远,不会产生大的冲突;将轻轨相位置于所在道路的直行相位中,即可以解决轻轨与相交道路的机动车冲突;机动车左转,跨越轨道时,与轨道的交角接近90度;一个信号周期内,机动车跨越轨道6次。
综上所述,“路中式一路中式”的转换方式,与机动车和行人都没有产生新的冲突;轻轨相位可以很容易地融入原有平交路口常规的四相位中,对原有路口的信号控制系统影响很小;机动车跨越轨道较少。这是对现状交通组织影响最小的方案。 2 路中式-主路路侧式 轻轨车道在平交路口选择“路中式一路侧式”的转换方式,机动车跨越轨道的次数较多,从图3可以看出: 轻轨直行通过路口的情况,轻轨需要从路中跨越主路的若干条机动车车道,转换到主路的外侧,所以轻轨相位无法置于所在道路的直行相位中,需要增加轻轨的专用相位,延长了整个信号周期;机动车左转,跨越轨道时,与轨道的交角接近90°;一个信号周期内,机动车跨越轨道14次,其中右转的机动车跨越轨道2次,而右转的机动车是不容易用信号来控制的。 轻轨转弯通过路口的情况,左转的轻轨需要从路中跨越若干条左转机动车车道,转换到主路的外侧,阻挡同相位的左转机动车,所以轻轨相位无法置于所在道路的左转相位中,需要增加轻轨车的专用相位,延长了整个信号周期;一个信号周期内,机动车跨越轨道10次,其中右转的机动车跨越轨道2次,而右转的机动车是不容易用信号来控制的,有2次跨越,与轨道的交角接近0°,这种跨越是很不安全的。 综上所述,“路中式一路侧式”的转换方式,平交路口需要增加轻轨车的专用相位,延长了整个信号周期;机动车跨越轨道较多。 3 路中式-双向同侧式 从图4可以看出:对于“路中式-双向同侧式”的转换方式,轻轨直行通过路口的情况与轻轨转弯通过路口的情况类似,都是轻轨从路中跨越道路的若干条机动车车道,转换到道路的外侧,从一个对向角脱离平交路口。
但是如果相交道路是单行道的话,情况有所好转。将轻轨相位置于所在道路的左转相位中,即可以解决轻轨车与其他相位机动车的冲突;一个信号周期内,机动车跨越轨道只有2次,而且都是垂直跨越轨道。 综上所述,“路中式一双向同侧式”的转换方式,严重影响了被切割的那一半道路资源,不仅对半条路的机动车有影响,而且还影响了旁边的非机动车和行人,而非机动车和行人这两种交通方式,难以用信号控制的方式来约束。 4 主路路侧式-主路路侧式 从图5可以看出:轻轨直行通过路口的情况,除了右转的机动车与轻轨车会发生冲突外,其余部分“路侧式一路侧式”的转换方式与“路中式一路中式”的转换方式非常类似。综上所述,“路侧式一路侧式”的转换方式,仅次于“路中式一路中式”的转换方式,只要能保证对右转机动车实现信号控制,则该转换方式也是一种很好的选择。 5 主路路侧式-双向同侧式 对于“路侧式一双向同侧式”的转换方式,轻轨直行通过路口的情况与轻轨转弯通过路口的情况类似,都是轻轨从路中跨越道路的若干条机动车车道,转换到道路的外侧,从一个对向角脱离平交路口。 从图6可以看出:轻轨切割了所有的机动车道,与“路中式一双向同侧式”相比,“路侧式一双向同侧式”的转换方式对交叉口的影响更大。肯定是要增加轻轨车的专用相位,延长了整个信号周期。
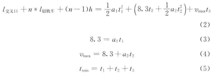
这种转换方式,甚至在相交道路是单行道的情况下,依然没有多少优点,轻轨车与其机动车的冲突还是很多,跨越轨道的方式也不好。 综上所述,“路侧式一双向同侧式”的转换方式是一种非常不好的转换方式,没有其他重要的制约因素的情况下,不建议选用。 6 双向同侧式-双向同侧式 从图7可以看出:在轻轨直行通过路口,对被交道路影响较大。“路侧式一路侧式”的转换方式,仅仅是需要注意解决机动车的右转,与此相比,该方式不仅影响机动车右转,而且还影响了行人和非机动车的右转,而恰恰是非机动车和行人这两种交通方式,难以用信号控制的方式来约束。但是在被交道路等级很低、交通量很小的情况下(支路、等外道路),配合信号优先系统或类似信号控制,该转换方式也是一种很好的选择。 11.6.5 轻轨在进口道停止线静止,加速,通过出口道停止线,是穿越平交路口耗时最长的情况。在此情况下,对最小绿灯时间按下列要求计算: 轻轨在交叉口的启动与加速通过呈间断性变化: 1 在υ=0km/h~30km/h(即0m/s~8.3m/s)时,a=1m/s²,加速行驶时间t1; 2 在υ=30km/h~40km/h(即8.3m/s~11.1m/s)时,a=0.5m/s²,加速行驶时间t2; 3 之后以交叉口最大行驶速度40km/h匀速通过,匀速行驶时间t3。 最小行驶时间的计算分阶段完成,通过n辆直行轻轨的最小行驶时间计算公式如下:
l交叉口——轻轨车自停止线至对向停止线距离(m); l轻轨车——轻轨车车长(m); n——连续通过的轻轨车数量,视串行要求而定; υmax——轻轨车通过交叉口为绿灯时,车辆的最大车速(km/h),在此为40km/h,即11.1m/s; h——轻轨车之间的车头间距(m); a——轻轨车加速度(m/s²)。 11.7 交通衔接11.7.1 轻轨应与其他交通方式有效衔接。11.7.2 在道路路中敷设的轻轨线路不宜与常规公交线路、快速公交线路合并设站。 11.7.3 轻轨车站与公交车站的设置距离应符合下列规定: 1 在路段上,同向换乘距离不应大于50m,异向换乘距离不应大于150m; 2 在平交路口和立体交叉口,换乘距离不宜大于150m,并不得大于250m。 条文说明
11.7.1 通常可以采用的交通衔接方式包括:步行、常规公交、自行车、出租车、小汽车和对外交通方式。对外交通方式一般包括长途汽车、铁路、飞机、轮渡等,上述衔接方式的轻轨车站多位于城市综合交通枢纽内。由于采取对外交通方式的客流无需进行衔接方式选择,且最终以步行方式进入轻轨车站,往往利用综合枢纽内部设施(步行通道、楼扶梯等)解决,对车站周边道路交通基本无影响。 11.7.3 国家标准《城市公共汽电车客运服务规范》GB/T22484-2016第4.4节对于常规公交车换乘距离做如下规定:在路段中的同向换乘距离一般不大于100m,在平交路口换乘距离一般不大于200m,在立交桥区换乘距离一般不大于300m。 国家标准《城市道路交通规划设计规范》GB 50220-1995第3.3节对于常规公交车换乘距离做如下规定:同向换乘距离不大于50m,异向换乘距离不大于100m,在道路平交路口和立体交叉口上设置的车站,换乘距离尽量不大于150m,并不得大于200m。 12 供电系统12.1 一般规定12.2 外部电源 12.3 中压供电网络 12.4 牵引变电所与牵引充电站 12.5 牵引网 12.6 杂散电流腐蚀防护与接地 12.1 一般规定12.1.1 本章适用于具有半独立路权的地面线路,以高架或地下为主的独立路权线路供电系统应符合现行国家标准《地铁设计规范》GB 50157的规定。12.1.2 供电系统应包括外部电源、中压供电网络、变电所(牵引充电站)、牵引网和杂散电流腐蚀防护。 12.1.3 外部电源设计应符合轨道交通线网规划、城市电网现状及规划。 12.1.4 轻轨列车牵引用电负荷不应低于二级负荷。 12.1.5 系统接线及继电保护配置应满足安全性、可靠性、功能性、经济性。 12.1.6 在设计规定的各种运行方式下,供电电压应满足低压用电设备的正常运行。 12.1.7 除采用车载储能装置供电外,牵引网系统标称电压可采用直流750V或1500V。 12.1.8 牵引网正极、负极均不应直接接地。 12.1.9 当景观设计有要求时,架空接触网在平交路口处可断开。 12.1.10 地上线路供电系统使用的主要材料,应选用低卤、低烟的阻燃或耐火的产品。 12.1.11 电缆敷设宜采用电缆管井或电缆沟敷设方式。 12.2 外部电源12.2.1 轻轨外部电源宜采用分散式供电,并应有专线电源引入。12.2.2 公共连接点处供电电压应符合现行国家标准《电能质量供电电压偏差》GB/T 12325的规定。 12.2.3 公共连接点处功率因数不应小于0.9,并应防止过补偿。 12.2.4 公共连接点处应设置隔离电器。 条文说明
12.2.1 轻轨的外部电源方案按照用电负荷的情况,可以选择分散供电或集中供电方式。由于轻轨用电负荷小于地铁用电负荷,采用分散供电方式较为适宜;若在轨道交通线网中,存在外电源共享条件下,轻轨外电源方案也可以选择集中供电方式。轻轨引入的城网外电源,不仅为列车供电,也为车站运营设备提供电源。由于轻轨客运能力要求的不同,将会影响车站规模和运营设备的种类,相应运营设备的可靠性要求也会不同,因此不同轻轨的最高负荷等级不可一概而论。由于轻轨列车用电的负荷等级至少为二级负荷,故规定应有专线电源为轻轨供电。 12.3 中压供电网络12.3.1 轻轨交通宜构建局部或全线中压供电网络。12.3.2 中压供电网络应满足轻轨远期负荷的供电要求。 12.3.3 中压供电网络一次接线与继电保护配置应协调配合。 12.3.4 中压供电网络的接线方式应根据轻轨网络化运营管理的需求和运营经济性的要求综合确定。 条文说明
12.3.1 由于轻轨建设的客运能力要求可能不同,将导致轻轨最高负荷等级的不同,因此可构成不同的中压供电网络,在满足供电可靠性要求的前提下,减少工程投资。
12.4 牵引变电所与牵引充电站12.4.1 牵引变电所的分布应满足远期列车正常运行的供电要求。12.4.2 当采用走行轨回流时,牵引变电所的分布应满足杂散电流腐蚀防护中规定的走行轨上不同两点间电压降要求。 12.4.3 车场应设置牵引变电所。 12.4.4 当列车采用车载储能装置供电时,应设置牵引充电站。 12.4.5 牵引变电所、牵引充电站可设置在地面、半地下和高架桥下,并应与周边环境相协调。 12.4.6 牵引变电所承担的牵引负荷应根据线路远期运营高峰小时行车密度、列车编组、车辆类型及特性、线路条件等计算确定。牵引整流机组容量宜按远期负荷配置。 12.4.7 牵引变电所、牵引充电站宜对架空接触网、接触轨或牵引充电桩实施双边供电。 12.4.8 当一座牵引变电所退出时,可采用纵联、横联大双边供电或末端单边供电。在地上区段,当技术经济合理时,可采用车场牵引变电所对正线支援供电。 12.4.9 在满足现行国家标准《电能质量 公用电网谐波》GB/T 14549规定的谐波要求的条件下,牵引变电所、牵引充电站宜设置一套牵引整流机组。 12.4.10 牵引充电站分布应结合车辆正常运行储能装置消耗需求设置,设置牵引充电站的车站应设充电桩。 12.4.11 牵引充电站设备配置应满足列车储能装置充电电压要求,牵引充电站容量应结合所供电的充电桩同时充电的列车数量、列车储能装置充电容量和充电时间综合确定。 12.4.12 牵引整流机组应为Ⅴ类牵引负荷,负荷特性应符合表12.4.12的要求。 表12.4.12 牵引整流机组的负荷特性
12.4.14 直流开关设备能力应与牵引机组的过负荷能力相匹配,并应满足系统短路稳定性的要求。 12.4.15 直流电缆的截面应满足大双边或单边供电容量及短路热稳定性的要求。 12.4.16 车站应结合低压用电规模选择中压或低压供电。 12.4.17 当采取技术措施满足对一级负荷供电要求时,牵引降压混合变电所宜设置一台配电变压器。 12.4.18 各牵引变电所、牵引充电站操作电源应采用直流电源,直流操作电源电压宜采用直流110V。蓄电池组容量在其正常寿命内,应满足交流电源停电时供电2h的要求。 12.4.19 地上牵引变电所、牵引充电站及与地面、高架线相邻的地下牵引变电所,每路馈出线及负母线应设置雷电过电压吸收装置。 12.4.20 低压配电系统应设置避雷器或浪涌保护器(SPD)。 12.4.21 过电压保护应符合现行国家标准《交流电气装置的过电压保护和绝缘配合设计规范》GB/T 50064的规定。 条文说明
12.4.8 地铁设计中车辆基地的牵引变电所一般不采用对正线进行支援供电,这是由于地铁正线多为地下线路,车辆基地为地面线路,可以减少杂散电流的影响范围。而轻轨正线多为地面线路与车辆基地的线路情况一致,在具备条件时,车辆基地牵引变电所对正线进行支援供电。
12.5 牵引网12.5.1 牵引网由架空接触网和回流网组成。接触网作为正极送电,走行轨或专用负极作为负极回流。12.5.2 接触网型式可分为架空接触网和嵌地接触轨。 12.5.3 接触网型式应根据城市发展定位、车辆受电和景观等方面要求综合分析确定,全线接触网可采用不同的型式。 12.5.4 当采用架空接触网供电时,在满足功能的基础上,架空接触网的设计应符合景观设计要求。 12.5.5 架空接触网载流量应与远期牵引供电能力相匹配,并应满足自身强度要求。 12.5.6 当线路通过的平交路口利用车载储能装置供电时,路口两侧车站架空接触网宜满足列车取流要求。 12.5.7 当架空接触网在平交路口断开时,路口两侧架空接触网应有平滑过渡的措施。 12.5.8 当轻轨车辆正常运行采用车载储能装置供电时,应设置牵引充电桩。 12.5.9 架空接触网的防雷设计应符合现行国家标准《地铁设计规范》GB 50157的有关规定。 Ⅰ 嵌地接触轨 12.5.10 嵌地接触轨系统可由上网配电箱、导电轨、绝缘轨、嵌地式支架及其连接附件组成。 12.5.11 上网配电箱应符合下列规定: 1 应可靠实现导电轨的通断转换;相邻两段导电轨宜设置一个上网配电箱; 2 应设通信接口,并应具有实现远程控制和监视功能的条件; 3 应满足运行时的环境条件要求。 12.5.12 嵌地接触轨的导电轨、绝缘轨应间隔布置。 12.5.13 导电轨、绝缘轨的长度应根据列车长度、受流器位置、运行最高速度等因素综合确定。 12.5.14 采用嵌地接触轨系统,严禁列车车体外的导电轨带电。 12.5.15 嵌地接触轨不应设于积水区,接触轨向走行轨方向应有不小于10‰的散水坡度。 12.5.16 嵌地接触轨的导电轨、绝缘轨接头处高差不应大于0.5mm。 Ⅱ 架空接触网 12.5.17 柔性架空接触网宜采用补偿简单悬挂,并应采用铜或铜合金接触线。 12.5.18 柔性架空接触网的支柱跨距,应根据悬挂类型、曲线半径、导线覆冰和最大受风偏移值及运营条件确定。 12.5.19 架空接触网应设贯通的地线,并应符合下列规定: 1 地线应与架空接触网带电部分无电气连接; 2 当架空接触网不考虑防雷要求时,地线宜敷设在地下,并采用绝缘导线或电缆; 3 在牵引变电所,地线宜通过单向导通装置与直流负母线相连,并使电流方向由地线指向直流负母线。 12.5.20 当采用架空接触网时,车场应设置限界门;平交路口应设置限界门或限高警示标志。 12.5.21 在平交路口和易受其他机动车辆损伤接触网支柱的地段,应采取防护措施。 12.5.22 地面线专用道接触线距轨面的高度不应小于4400mm,平交路口处接触线距轨面的高度不应小于5000mm,并应满足当地交通管理部门的要求。 12.5.23 架空接触网立柱及其基础不应对车站人流疏散造成影响。 Ⅲ 牵引充电桩 12.5.24 牵引充电桩应结合车站设置,并应包括立柱、架空导体及各种附件。 12.5.25 牵引充电桩作为正极为车载储能装置充电,走行轨作为负极回流。 12.5.26 架空导体架设可采用独立柱或利用车站结构。 12.5.27 架空导体宜采用刚性材质,载流量应满足列车车载储能装置的充电要求。 12.5.28 架空导体架设高度宜为4400mm,并应满足为车辆授流高度要求。 12.5.29 架空导体长度应结合远期车辆编组数量及车辆受电弓的位置综合确定。 12.5.30 上下行充电桩应分别设置隔离开关。 12.5.31 设置牵引充电桩的车站,走行轨应电气分段。 条文说明
12.5.4 轻轨线路通过的不同地段或路口,可能存在不同的景观需求,架空接触网设计结合景观需求,选择架空接触网或体现“去架空网化”的嵌地式接触轨。采用列车储能装置为列车供电,也实现了“去架空网化”,但属于列车自身功能。12.5.6 路口两侧车站架空接触网满足列车取流要求的目的是为了给列车储能装置充电,有利于列车利用自身储能装置正常运行通过路口。 12.5.10 嵌地接触轨目前我国还没有应用实例,在法国应用较为成熟,法国波尔多、图尔都采用了这种制式。 12.5.14 当采用嵌地接触轨系统、列车车体外导电轨带电时,有可能导致通过线路的行人受到电击伤害。 12.5.31 此规定有利于列车在车站充电时,减少负极电流沿走行轨的扩散。 12.6 杂散电流腐蚀防护与接地12.6.1 杂散电流及防护对象宜进行自动监测。12.6.2 当兼作回流电路的走行轨高于地面时,走行轨与相邻结构(或大地)之间的过渡电阻值,应大于15Ω·km,平交路口处走行轨及走行轨两侧2m内应采取特殊绝缘措施。 12.6.3 当兼作回流电路的走行轨与地面平齐时,与大地之间的过渡电阻值应大于2Ω·km,走行轨与大地之间应采取特殊绝缘措施。 12.6.4 走行轨上任意两点间的平均电压降不得大于2.50V。 12.6.5 任何一段走行轨上的平均电压降,每100m不得大于0.35V。 12.6.6 兼作回流电路的走行轨,轨条间连接线应符合下列规定: 1 单行轨道的两根轨条间,连接线间距不宜大于150m; 2 上下行的各轨条间,均流线间距不宜大于300m; 3 道岔及交叉处的两端应进行电气连接; 4 回流点处上下行各轨条间应进行电气连接。 12.6.7 杂散电流腐蚀防护的其他要求,应符合现行国家标准《轨道交通 地面装置 第2部分:直流牵引系统杂散电流防护措施》GB/T 28026.2的规定。 12.6.8 供电系统及其设备的功能性接地、保护性接地与防雷接地应共用接地装置。交流电气设备的接地应符合现行国家标准《交流电气装置的接地设计规范》GB/T 50065的规定。 12.6.9 接地装置应利用结构主体钢筋等自然接地极。当接地电阻不满足要求时,可补充人工接地极。自然接地极和人工接地极不应少于两点连接,并可分别测量其电阻值。 12.6.10 变电所接地装置的接触电压和跨步电压应符合现行国家标准《交流电气装置的接地设计规范》GB/T 50065的规定。 12.6.11 系统接地的其他要求应符合现行国家标准《轨道交通 地面装置 第1部分:电气安全和接地相关的安全性措施》GB/T 28026.1的规定。 条文说明
12.6.4~12.6.6 此规定依据行业标准《城市无轨电车和有轨电车供电系统》CJ/T1-1999作业。
13 机电设备13.1 一般规定13.2 通风空调与供暖 13.3 给水与排水 13.4 自动扶梯与电梯 13.5 动力与照明 13.1 一般规定13.1.1 轻轨交通应根据使用要求设置通风空调与供暖、给水与排水、自动扶梯与电梯、动力与照明等机电设备系统。13.1.2 轻轨交通的机电设备系统设计除应符合本标准外,尚应符合现行国家标准《地铁设计规范》GB 50157的规定。 条文说明
13.1.2 轻轨地下线路的机电设备系统设计与地铁工程相似程度较高,其设计需要遵守《地铁设计规范》GB50157的有关规定。本标准为针对地上部分的特殊要求制定的规定,其他未涉及的内容,也要符合现行国家标准《地铁设计规范》GB50157的规定。
13.2 通风空调与供暖13.2.1 地上车站站厅及站台公共区应采用自然通风。13.2.2 车站公共区自然通风口的有效面积不宜小于该场所面积的5%,最低不应小于2%。 13.2.3 最冷月份室外平均温度低于-10℃的严寒地区,地上车站站厅公共区可设置供暖系统。 13.2.4 当地上车站站厅公共区设置供暖系统时应符合下列规定: 1 站厅冬季室内设计温度应采用12℃; 2 站厅通向站台的楼梯口、自动扶梯口及站厅出入口等处应设置热空气幕。 13.2.5 地下线路通风与空调系统的确定应符合下列规定: 1 宜采用列车活塞通风及自然通风系统; 2 夏季当地最热月的平均温度超过25℃时,地下车站宜采用空调系统; 3 夏季当地最热月的平均温度超过25℃时,且全年平均温度超过15℃时,地下车站应采用空调系统。 条文说明
13.2.5 现行国家标准《地铁设计规范》GB50157规定:当夏季当地最热月的平均温度超过25℃,且高峰时间内每小时的行车对数和每列车车辆数的乘积不小于180时,或当夏季当地最热月的平均温度超过25℃,全年平均温度超过15℃,且高峰时间内每小时的行车对数和每列车车辆数的乘积不小于120时,地下线路要采用空调系统。但是,轻轨列车的编组与地铁车辆的编组有很大的区别,执行《地铁设计规范》GB50157的规定将产生较大偏差。结合国内轻轨工程的客流特征以及对候车环境舒适度的要求,本规定仅根据夏季当地最热月的平均温度和全年平均温度确定是否采用空调系统。
13.3 给水与排水13.3.1 给水水源宜采用城市自来水,并应利用城市自来水水压。13.3.2 车场内部绿化、地面冲洗水、冲厕给水水源宜采用城市再生水。当车场周围无城市再生水时,车场内生产废水或生活污水经处理达标后,可作为中水回用。 13.3.3 污水、废水和雨水排放应符合国家现行有关排水标准的规定。 13.3.4 节水设计应符合现行国家标准《民用建筑节水设计标准》GB 50555的有关规定。 13.3.5 室内生活、生产给水系统与消防给水系统应分开设置。 13.3.6 当设有站台门时,站台宜每隔50m设一个DN50~DN100的地漏;排水立管宜接入线路排水沟。 13.3.7 地面和高架站屋面雨水应单独排放。 13.3.8 洗车库的废水应就地经处理后重复利用。 13.3.9 卫生器具及配件应采用节水型产品,并应采用非接触式冲洗装置。 13.3.10 当给水与排水管道结露可能影响环境时,应做防结露保护层。 13.3.11 给水与排水金属管道应采取杂散电流腐蚀防护措施。 13.3.12 给水与排水检查井应有轻轨标志。 条文说明
13.3.7 地面和高架车站屋面雨水排水系统根据屋面面积大小采用重力流或压力流排水方式,当出现超过车站屋面设计重现期的暴雨时,雨水立管下端会产生较大正压,雨水将从下层排水地漏中溢出。为保证轻轨工程的运营安全,车站屋面雨水排水管单独设置,避免与其他废水管合用。
13.4 自动扶梯与电梯13.4.1 自动扶梯和自动人行道应采用公共交通型。电梯宜选用无机房电梯。13.4.2 自动扶梯与电梯应采用变频调速控制技术。 13.4.3 自动扶梯与电梯应在轻轨运营时间内连续运行。自动扶梯每3h应能以100%制动载荷连续运行1h。 13.4.4 自动扶梯的名义速度不应小于0.5m/s,宜为0.65m/s。13.4.5 电梯的额定载重不应小于800kg,宜为1000kg。 13.4.6 当自动扶梯露天设置或仅有顶棚时,应选用室外型产品,电梯应适用全天候工作环境条件。 13.4.7 自动扶梯上下平台盖板及梯级表面应防滑。用于气候寒冷地区的自动扶梯应设置加热装置。 13.4.8 自动扶梯入口处宜采用光电控制开关,无人使用时可自动进入低速或停止运行状态。 13.4.9 自动扶梯与电梯应具有故障自诊断功能。 13.4.10 自动扶梯全梯路和电梯轿厢内外应位于视频监视系统运行范围内。 13.4.11 地面和高架站室外设置的电梯宜采用钢筋混凝土井道,并应具有通风、降温措施。 13.4.12 电梯设置位置、电梯轿厢内布置、指示及呼叫装置应满足无障碍要求。 13.4.13 自动扶梯与电梯的传输设备及传动机构应采用不燃或难燃材料。 13.4.14 自动扶梯与电梯机坑内不得积水,并宜采用自流排水。当无自流排水条件时,应在机坑外设集水坑和配备排水设施。 条文说明
13.4.1、13.4.3 自动扶梯按其结构特点分为普通型和公共交通型。虽然轻轨客流量相比地铁客流量小,但其使用功能和性质与地铁相同。结合现行国家标准《自动扶梯和自动人行道的制造与安装安全规范》GB 16899的相关规定,轻轨采用公共交通型自动扶梯,执行重载荷公共交通型自动扶梯的标准:每3h能以100%制动载荷连续运行1h。13.4.6、13.4.7 轻轨以地面和高架车站为主,自动扶梯和自动人行道主要设置在高架车站的主体及出入口,以及过街、换乘通道处。自动扶梯与电梯设备的选择要重点考虑好防水、防滑等功能,气候寒冷地区还要考虑防冰雪等措施,提高气候环境适应性。 13.4.11 轻轨以地面和高架车站为主,从设备本身来说,优先采用混凝土井道,如从建筑景观考虑时,也可以采用钢结构透明井道。采用透明井道时,需注意考虑好井道内的通风、降温措施,以确保电梯设备的正常使用。 13.5 动力与照明13.5.1 动力与照明设备的供电负荷分级和供电方式、低压配电系统的接地方式、配电线路的保护,应符合国家现行相关标准的有关规定,并应选用高效节能、环保的电气产品和设备。配电系统的主干线路,应选用电缆或密集性封闭母线等阻抗较小的配电线路。车站白天照明宜利用自然采光。13.5.2 地上车站的动力照明配电设备宜集中设置。根据用电负荷的分布特点,配电设备应靠近用电负荷中心设置。 13.5.3 照明设计应符合现行国家标准《城市轨道交通照明》GB/T 16275及《建筑照明设计标准》GB 50034的规定。 13.5.4 车站正常照明和广告照明宜采用LED光源,照明灯功率因数不宜低于0.9。 13.5.5 地上车站公共区域的正常照明及车场路灯照明宜采用光控技术。 13.5.6 地上区间线路在实际情况允许时,可不设置区间照明。 13.5.7 车场正常照明电源在满足其功能照明和采光的前提下,宜选择安装、调试、维修方便,运行成本低的节能产品。 13.5.8 当地面和高架区间设置照明时,应符合下列规定: 1 应采用光效高、显色性好、寿命长的照明光源,并应符合室外照明光源要求; 2 地面上安装灯具的防护等级不应低于IP65;埋地灯具的防护等级不应低于IP67; 3 采用的灯具应满足现行国家标准《灯具 第1部分:一般要求与试验》GB 7000.1中的防震要求; 4 灯具外观形式应与周围景观环境协调; 5 当采用架空接触网时,照明灯具宜与接触网共杆设置,当有声屏障时,灯具安装宜与声屏障立柱结合设置; 6 安装在人员可触及的防护栏上的照明装置应采用特低安全电压供电或采取其他防触电措施。 13.5.9 车站及高架桥区间的低压配电系统接地型式应采用TN-S系统,地面区间宜采用局部TT系统。 13.5.10 区间和道岔附近应设有维修用移动电器的电源设施。 13.5.11 车站应设置包括建筑物金属构件在内的总等电位联结。潮湿场所的房间应做局部等电位联结。 13.5.12 地上车站、车场建筑物及其他户外设施的防雷设计应符合现行国家标准《建筑物防雷设计规范》GB 50057和《建筑物电子信息系统防雷技术规范》GB 50343的规定。 13.5.13 高架桥区间应采取防雷措施。桥墩桩基结构钢筋宜作为自然接地体。 条文说明
13.5.1 本条为用电设备配电的基本要求,现行国家标准均有详细规定,轻轨的动力与照明设备配电需要遵照执行。如现行国家标准《供配电系统设计规范》GB50052对用电设备按照供电可靠性和中断供电对人身安全、经济损失两个方面进行了用电负荷分级,并对相应负荷等级的设备供电提出最低要求;现行国家标准《供配电系统设计规范》GB50052对低压配电系统及接地方式也有明确解释;现行国家标准《低压配电设计规范》GB50054对低压配电线路的保护有明确规定。13.5.5 车站公共区的正常照明及车场路灯照明条件允许时根据季节变化采用时间控制,并结合环境亮度进行光控制。通常照明的控制方法有时间控制、光控器控制和智能控制器控制等,采用各种控制方法的目的为节能。 13.5.8 第6款 为防止人员触及带电设备,根据不同环境的接触电压限制采用合理的特低安全电压对灯具供电,干燥场所电压等级不大于50V,潮湿场所电压等级不大于25V,取得这种特低电压的方法是将220V或380V电压经变压器降为特低电压,采用的变压器需是满足绝缘要求的隔离变压器。安全特低电压的配电回路导体不能通过PE线进行接地且与变压器一次回路导体需绝缘。护栏上可触及的照明灯具除采用安全特低电压供电方式外,也可以采用双重绝缘灯具或采用具有相当于双重绝缘水平的加强绝缘灯具。 13.5.10 区间维修用检修电源设施一般以100m间距设置,每处按10kW计,同时仅一处使用。 14 运营监控系统14.1 一般规定14.2 正线道岔控制系统 14.3 平交路口列车位置检测系统 14.4 车场联锁系统 14.5 运营调度指挥系统 14.6 数据承载网络系统 14.7 乘客信息系统 14.8 视频监视系统 14.9 信息化系统 14.10 火灾自动报警及设备监控系统 14.11 电力监控系统 14.12 其他 14.1 一般规定14.1.1 运营监控系统应由正线道岔控制系统、平交路口列车位置检测系统、车场联锁系统、运营调度指挥系统、数据承载网络系统、乘客信息系统、视频监视系统、信息化系统、火灾自动报警系统、设备监控系统及电力监控系统构成。14.1.2 运营监控系统应满足网络化运营要求,实现互联互通、资源共享。 14.1.3 运营监控系统应具有可靠性、可用性、可维护性和安全性。 14.1.4 系统采用的设备和器材应符合国家现行有关标准,并应做到系统可靠、功能合理、设备成熟、技术先进、经济实用。 14.1.5 涉及行车安全的系统、设备及电路应符合故障导向安全的原则。采用的安全系统、设备应经过安全认证。 14.1.6 系统采用的设备应便于测试、维修与更换,并应有利于降低运营成本。 14.1.7 车载设备严禁超出车辆限界,车站及轨旁设备严禁侵入设备限界。 14.1.8 沿线采用市政地面信号灯控制的平交路口,在接近平交路口处应设置路口列车位置检测设备。 14.1.9 全封闭方式运行的轻轨线路,应设置通信和信号系统,并应符合现行国家标准《地铁设计规范》GB 50157的规定。 14.1.10 运营监控系统宜采用运营调度中心的标准时钟信号。 条文说明
14.1.2 轻轨线路大多位于开放地面路段。大多线路存在多条混合及共线运行,呈现网络化运营特点,因此需要运营监控系统实现跨线、共线运行时,调度中心能实时监控所有列车的运行,实现信息共享。不同运行线路的列车可以与正线道岔控制系统进行信息互换,实现列车对道岔进路的控制,实现互联互通。正线道岔控制系统通过识别不同的列车信息,进行一系列的进路联锁控制,保证列车在道岔区域的运行安全。14.1.5 车场的计算机联锁、正线道岔控制、列车占用检测是涉及行车安全的关键设备,在设备发生故障时,其设备及电路需符合故障一安全的原则,这些设备的研发、选型要遵循经安全检测、认证并批准后方可采用的原则。 14.1.9 当轻轨线路全部采用全封闭方式时,列车运行速度快、间隔小,需要配置信号系统,确保轻轨列车安全、高效的运行。调度指挥按照全线集中控制,列车间安全间隔和运行速度需采用ATP系统保障列车运行安全。正线道岔采用计算机联锁实现,信号机、道岔和区段的联锁控制,保证列车的运行安全。全封闭的轻轨线路采用信号系统时,须遵循现行国家标准《地铁设计规范》GB50157的有关规定。本章的相关内容不适用独立路权、全封闭方式运行的轻轨线路。 14.2 正线道岔控制系统14.2.1 正线道岔控制系统应由轨旁设备和车载设备组成,并宜包括道岔控制设备、列车位置检测设备、车地通信设备、信号机、转辙机及相关接口等设备。14.2.2 列车位置检测设备,应满足轨旁硬化路面与轨道平齐及开放环境下,防损、防盗、易维修的安装要求。 14.2.3 正线道岔控制系统应具备下列功能: 1 自动识别列车车次号控制道岔; 2 司机遥控道岔的转动、锁闭; 3 信号机正确反映道岔状态; 4 道岔、信号机状态实时上传至运营调度中心; 5 运行在道岔上的列车具有唯一的道岔控制权; 6 多列车可同时占用道岔区段; 7 道岔信号机等设备状态监测。 14.2.4 道岔控制设备应符合下列规定: 1 应确保道岔区段内道岔、信号机和区段的联锁。当联锁条件不符时,应禁止信号开放。 2 道岔区段列车占用时严禁转动道岔。 3 道岔应能现场单独操纵和进路选动。 4 实现相同方向的多列车在道岔区段的串行。 5 在道岔接近区段应实现与车载设备的连续不间断通信。 6 进路解锁宜采用一次性解锁方式。锁闭的进路应随列车完全出清道岔区段后自动解锁。 7 解锁、人工办理取消进路和限时解锁,应防止错误解锁。限时解锁时间应确保行车安全。 14.2.5 车载设备应包括车辆定位设备及车地通信等配套设备。 14.2.6 车载设备应具有下列功能: 1 司机通过按压车上道岔按钮实现对道岔的遥控; 2 在接近道岔区段连续显示地面道岔信号机的状态; 3 实时将列车定位信息上传至运营调度中心; 4 自动将车载设备运行状态上传至运营调度中心; 5 列车在接近道岔区段,信号机显示禁止信号时,车载设备可提供声光报警。 14.2.7 正线信号机的设置应符合下列规定: 1 在道岔区域的线路上应设道岔表示信号机; 2 信号机应采用由节能光源构成的色灯信号机。 14.2.8 当信号机显示允许信号因故未能点亮时,应给出禁止信号显示;信号机显示禁止信号因故未能点亮时,该信号应视为禁止信号。 14.2.9 信号机显示距离不宜小于200m。 条文说明
14.2.2 轻轨线路大多位于开放地面路段,存在一些轨道与轨旁硬化路面临近路段,作为列车位置占用的检测设备的安全需适应该工程环境,同时便于后期维护,不得对轨道实施破损性安装。当列车位置检车设备采用计轴设备时,轨旁计轴传感器需具有较高的抗干扰措施,并实施传感器的冗余配置,以提高设备的可用性和安全性,设备安全完善度等级需达到SIL4级,当列车位置检车设备采用轨道电路时,一般采用无绝缘免维护型轨道电路,设备安全完善度等级至少达到SIL3级。14.2.3 对于轻轨线路采用人工驾驶时,正线道岔控制系统其主要功能是保证进路正确,确保列车在道岔区段运行时,进路锁闭,道岔不得转动,列车安全、有序通过道岔区段。列车之间的间隔控制由司机目视判断,因此允许相同进路的多列车同时占用道岔区段,以提高道岔区段的通过效率。 14.3 平交路口列车位置检测系统14.3.1 平交路口列车位置检测系统应由轨旁检测设备和车载设备组成,并宜包括列车接近、通过、离去路口检测设备、路口轻轨专用信号机等设备。14.3.2 路口列车位置检测系统应与道路交通管理控制系统进行接口,并应根据路口的交通组织管理的要求,实现列车通行功能。 14.3.3 路口列车位置检测系统应具有识别列车车次的功能。 14.4 车场联锁系统14.4.1 车场联锁系统应包括车场计算机联锁设备、计算机监测设备、培训设备、日常维修和检测设备等。14.4.2 车场联锁系统应符合下列规定: 1 车场应设进场信号机,需要时可设调车信号机。进场信号机、调车信号机以显示禁止信号为定位。各种信号机的设置,应根据运营要求和控制方式等确定。 2 列车在车场内宜按调车进路控制,联锁设备可根据车场内运营作业特点实现联锁条件的检查。 14.4.3 车场联锁设备应符合下列规定: 1 应确保进路上道岔、信号机和区段的联锁。联锁条件不符时,应禁止进路开通。敌对进路应相互照查,不得同时开通。 2 联锁设备宜采用进路操纵方式。 3 进路解锁宜采用分段解锁方式。锁闭的进路应可随列车正常运行自动解锁、人工办理取消进路和限时解锁,并应防止错误解锁。限时解锁时间应确保行车安全。 4 联锁道岔应能单独操纵和进路选动。 5 联锁设备的操纵宜选用显示器和鼠标控制方式。 14.4.4 车场可设计算机监测系统,并应符合下列规定: 1 实现信号机状态、主灯丝断丝报警等监测; 2 实现转辙机动作电流及表示监测; 3 实现轨道区段状态监测; 4 实现电缆绝缘状态监测; 5 实现电源漏流检测; 6 相关数据进行存储、回放和分析。 14.4.5 车场与试车线的接口设计应保证试车作业与车场作业互不影响。 14.5 运营调度指挥系统14.5.1 轻轨应设运营调度指挥系统,实现对列车运行状态的实时监督。14.5.2 运营调度指挥系统应包括列车运行监督设备和运营调度通信设备。 14.5.3 列车运行监督设备应具有列车运行时刻表编制及管理、列车运行和设备状态实时监视等功能。 14.5.4 运营调度通信设备应提供运营调度中心调度员、车场值班员等用户与列车司机、维修人员等移动用户及变电所值班员等固定用户之间的通信手段。 14.5.5 运营调度通信设备应提供广播功能,正常情况下可向站台乘客通告列车运行及安全、向导等服务信息,以及向车场工作人员发布作业通知,特殊情况时可向乘客发出通告。运营调度通信设备支持车场行车值班员向室外或库内流动生产人员发布作业命令。 14.5.6 无线通信系统根据业务需求可独立设置专用网络或租用运营商的虚拟专用网络。场强覆盖范围应包括运营线路、车站及整个车场区域。 14.5.7 运营调度通信设备应具有选呼、组呼、全呼、紧急呼叫、呼叫优先级权限等调度通信功能,并应具有语音存储、监测功能等。 14.5.8 运营调度通信设备应对运营调度中心有线及无线调度、运营调度中心广播等重要语音进行录音,录音设备宜集中设置。 14.5.9 各种调度分机应根据运营组织要求设置在正线调度值班室、车场值班室、各变电所的控制室、消防控制室等地点。 条文说明
14.5.2 运营调度指挥系统中列车运行监督设备和运营调度通信设备一般建议提供统一的数据库平台,实现各种基础数据的统一管理以及相关设备之间的数据共享,实现各设备间的联动。运营调度通信设备包含广播、公务电话、专用电话、无线通信等功能。
14.6 数据承载网络系统14.6.1 数据承载网络系统应为运营监控系统中的各子系统提供可靠、冗余、可重构、灵活的传输通道。14.6.2 数据承载网络系统应满足各系统接口需求,系统容量应根据各系统对传输通道的需求确定,并应留有余量。 14.6.3 数据承载网络系统应具有网络管理功能,并可进行故障管理、性能监视、系统管理、配置管理、安全管理。网络管理终端应采用图形化人机界面,监视主要模块和用户接口模块的工作状态,以及具有告警显示,并宜提供声光报警的功能;对节点、传输通道应可进行配置、管理及可输出维护管理数据。 14.6.4 光缆可采用自建或者租用运营商的方式。数据承载网络系统使用的光纤应位于不同路径的光缆中,从物理和逻辑上构成自愈环并可自动切换,切换时不应影响正常使用。 14.6.5 光缆自建时,在地面区段可采用电缆托架敷设方式或采用电缆槽、管道敷设方式,也可根据实际情况在满足防护要求的前提下采用其他敷设方式;在高架区段光缆宜敷设在高架区间通信槽道内或托架上。 条文说明
14.6.2 由于轨道交通各系统的不断发展和功能的不断增加,传输系统的容量和接口板卡都有一定的预留,为日后增加的应用提供传输条件,预留接口不只是设备板卡,也需要将其相应板卡如实配置并背板出线、配线至配线架。14.6.4 鉴于轻轨的各种行车安全信息及控制信息将通过数据承载网络系统来传送,为从根本上提高光缆的可靠性,防止由于一条光缆因故中断而造成信息传送大通道的完全中断,如自建光纤,可以利用自身建设的有利条件,利用不同路径分别敷设光缆,通过信息传送构成自愈保护环,以大幅度提高网络的安全性。 14.7 乘客信息系统14.7.1 轻轨宜设置乘客信息系统(PIS),并向乘客提供运营信息和其他多媒体信息服务。14.7.2 乘客信息系统应具有信息处理能力,并可通过系统外部接口进行数据交换,以及将获得的数据经系统处理后,向乘客提供信息服务。 14.7.3 乘客信息系统在站台上及车辆客室内应设置显示终端设备。 14.7.4 乘客信息系统除应提供运营相关信息外,尚应提供新闻、天气预报、道路交通等公共信息及公益广告等信息。 14.7.5 列车可采用预录或其他方式由播放中心或车站发出多媒体信息,播出画面应清晰流畅。 条文说明
14.7.1 PIS作为轻轨运营的一个辅助系统,可以结合经济情况设置性价比高的PIS。14.7.3 PIS终端显示设备根据车站形式、客流情况、重点站等因素综合考虑配置方案,同时结合设备发展情况,选择技术先进、运行可靠、安全性高的设备。对于地上车站的设备要考虑高温散热、低温启动的相关技术措施。 14.8 视频监视系统14.8.1 视频监视系统(CCTV)可为运营调度中心的调度员、车场的值班员等提供有关列车运行、安防、乘客情况及变电站设备运行情况的图像。14.8.2 视频监视系统应由运营调度中心控制设备、图像摄取、图像显示、录像及视频信号传输等设备组成。 14.8.3 摄像机应根据运营管理与安防需要,实现对上下行站台、换乘通道、车场等重要场所的监视。 14.8.4 视频监视系统采用的彩色摄像机应具有在事故照明下摄像的功能。 14.8.5 室外摄像机应设全天候防护罩,并应适应最低0.2 lx的照度;室内摄像机应适应最低1 lx的照度或应急照度要求。 条文说明
14.8.3 视频监视系统在满足运营要求的基础上,同时满足公安部门对于安全防范方面的要求,尽可能实现设备资源共享,系统技术标准需满足公安部门相关规定。
14.9 信息化系统14.9.1 信息化系统应能提供电子办公、信息发布、日常管理、资源管理、人员交流的信息平台。14.9.2 软件平台建设宜根据运营单位的需求,统一规划和实施。 14.9.3 信息化系统可在运营调度中心、车场设置数据网络设备,在与运营相关办公场所应设置用户终端设备。 14.9.4 信息化系统应设置网络安全措施。 条文说明
14.9.1~14.9.4 本节对信息化系统的基本功能和设置进行了规定,在此基础上,还需与各运营单位或部门进一步沟通需求,综合考虑建设规模。
14.10 火灾自动报警及设备监控系统14.10.1 火灾自动报警系统设计,除应执行本标准规定外,尚应符合现行国家标准《火灾自动报警系统设计规范》GB 50116的规定。14.10.2 当车站级火灾自动报警系统少于3个时,可不设置中心级火灾自动报警系统。 14.10.3 中心级火灾自动报警系统可与其他线路实现互联互通和信息共享。 14.10.4 设备监控系统应结合实际线路及机电设备的管理需求设置。 14.10.5 运营调度中心应能直接与市防洪指挥部门、地震检测中心、消防局119火警报警部门进行通信联系。 14.11 电力监控系统14.11.1 轻轨应设置电力监控系统(SCADA),并应纳入运营监控系统。14.11.2 电力监控系统应包括电力调度系统(主站)、变电所综合自动化系统(子站)及联系两者的专用数据传输通道。 14.11.3 电力监控系统的功能应满足变电所无人值班的运行要求。 14.11.4 监控应包括遥控、遥信、遥测。 14.12 其他14.12.1 系统供电应符合下列规定:1 交流电源电压的波动超过交流用电设备正常工作范围时,应设稳压设备; 2 车载设备应由车辆提供直流电源或经变流设备供电; 3 运营调度通信设备、视频监视系统、数据承载网络系统应采用不间断电源(UPS),不间断电源后备时间不宜小于2h。车场联锁系统应采用不间断电源,后备时间不宜小于30min。 14.12.2 防雷与接地应按现行国家标准《建筑物电子信息系统防雷技术规范》 GB 50343的规定执行。 14.12.3 维修及检修设备应符合下列规定: 1 系统应设置维修网络,并应在维修中心内设置维修计算机终端,实时远程监测系统的设备运行状态; 2 维修中心应配备维修器具、测试工具及仪器仪表。 14.12.4 运营监控系统的电线电缆与其他电线电缆敷设间距应按现行国家标准《地铁设计规范》GB 50157的规定执行。 条文说明
14.12.1 当列车供电系统采用二级负荷时,系统设备供电运营调度指挥系统和车场联锁系统采用一级负荷,正线道岔控制系统和路口列车位置检测系统采用二级负荷。
15 售检票系统15.1 一般规定15.2 票务管理模式 15.3 系统构成 15.4 系统功能 15.5 其他 15.1 一般规定15.1.1 轻轨应设置满足运营和信息化需求的售检票系统。15.1.2 售检票系统的设计能力应满足轻轨超高峰客流量的需要;紧急情况下,应满足工作人员及乘客紧急疏散的要求。 15.1.3 售检票系统应适应工作环境和自然条件,具有连续24h不间断工作的能力和良好的电磁兼容性。 15.1.4 售检票系统应具有可靠性、安全性、可维护性和可扩展性。其系统安全等级不应低于现行国家标准《计算机信息系统安全保护等级划分准则》GB 17859中所规定的二级。 15.1.5 售检票系统应能处理城市公共交通一卡通或其他小额支付储值卡车票的功能,且宜具有与其他城市公共交通形式实现联程优惠。 条文说明
15.1.1 根据城市轨道交通的建设和城市经济发展状况,在轻轨中设置售检票系统一方面有利于减少车站工作人员、减轻工作人员的劳动强度;另一方面有利于实现轻轨运营管理数据化,方便进行大数据分析管理,从而提高轻轨运营管理水平和运营效率。15.1.2 超高峰客流指车站高峰小时客流量乘以超高峰系数,各站超高峰系数由客流预测给出。在售检票终端设备数量计算时,特别是封闭式车站,除根据超高峰客流量、分向客流比例、设备处理速度等数据计算之外,还需要根据车站站位客流特征、车站规模及形式、终端设备平面布局以及服务水平要求进行修正。 紧急情况下,当车站(特别是封闭式车站)处于紧急状态,由火灾自动报警系统、售检票系统后端系统平台或紧急按钮启动,实现系统停止服务或关闭,检票机如有通行阻挡装置,则通行阻挡装置要处于并保持放行状态,避免自动检票机阻挡人群疏散、售票机继续售票等,从而造成客流积聚、拥堵,引发危及乘客生命财产安全的严重后果。 15.1.5 城市“一卡通”车票指可以在城市各类公共交通中通用的储值票;其他小额支付储值卡车票指手机支付、银联支付等小额支付体系的储值卡。 15.2 票务管理模式15.2.1 售检票系统线网宜采用统一的线网票务政策和票务管理模式。15.2.2 轻轨票制宜采用单一票制或计程制,也可根据运营需求采用与计时制、计次制等其他辅助票制相结合的方式。 15.2.3 售检票系统应根据车站客流大小、建筑规模及管理需求等条件设置封闭式或开敞式的车站售检票运营模式。 15.2.4 封闭式车站售检票系统应采用车外售票+车外检票的运营模式。 15.2.5 开敞式车站售检票系统应符合下列规定: 1 开敞式车站售检票可采用车外售票+车内检票或车内售票+车内检票的运营模式,但同一线路的开敞式车站售检票系统应采用同一运营模式; 2 当开敞式车站售检票采用车外售票+车内检票时,车外售票设备宜设置在车站内或方便乘客购票的车站附近某处,采用人工或自助售票方式;车内检票设备宜设置在上下车门两侧,采用乘务人员监督下的自助检票模式; 3 当开敞式车站售检票采用车内售票+车内检票时,售检票设备宜设置在上下车门两侧,采用乘务人员人工售票检票模式或乘务人员监督下的自助售检票模式。 条文说明
15.2.3 封闭式车站一般车站周边围合,并且车站公共区域内采用栏杆、检票机等设施明显物理划分出付费区与非付费区。封闭式车站一般客流量较大、建筑规模较大,有足够空间设置自动售检票设备。此种情况下,实行车外售票十车外检票模式,乘客在车站内完成自助式的售检票,以便达到乘客快速上下车、减少列车站停时间、提高轻轨旅行速度、从而提升轻轨服务质量的目的。开敞式车站一般车站周边不围合,并且车站公共区域内没有明显划分出付费区与非付费区。开敞式车站一般指客流量较小、建筑规模较小,没有足够空间设置自动售检票设备。此种情况下,如实行车内售票十车内检票模式,则势必降低乘客上下车速度、增加了列车站停时间、降低轻轨旅行速度,从而降低轻轨服务质量。 开敞式车站如实行车外售票+车内检票模式,则对轻轨服务质量的影响处于上述两种模式之间。 15.3 系统构成15.3.1 售检票系统应由后端管理平台、前端售检票设备和车票组成,并可根据线网、线路规模大小设置维修测试与培训设备。15.3.2 后端管理平台应由各种服务器、操作工作站、存储设备、网络设备、配电设备和打印机等组成,其设置应符合下列规定: 1 后端管理平台可根据线网、线路规模按清分中心系统、线路中央计算机系统、车站计算机系统进行分级或整合设置;采用城市公共交通一卡通或其他小额支付储值卡的售检票系统宜设置清分中心系统; 2 使用轻轨专用车票的售检票系统,后端管理平台票务中心宜设置车票编码分拣机、车票清点机等设备; 3 后端管理平台宜设置异地灾备系统。 15.3.3 前端售检票设备可按下列要求设置: 1 封闭式售检票系统可按现行国家标准《地铁设计规范》GB 50157的有关规定设置前端售检票设备; 2 当开敞式售检票系统采用车外售票+车内检票时,车外售票设备宜设置自动售票机、充值机等设备;车内检票设备宜设置车载式或便携式检/验票机等设备; 3 当开敞式售检票系统采用车内售票+车内检票时,车内售检票设备宜设置车载式或便携式的检验票机等设备。 15.3.4 车票宜分为单程类车票和储值类车票。单程类车票应采用专用抛弃型电子车票、专用回收型电子车票;储值类车票可采用轻轨专用储值车票、城市公共交通一卡通车票或其他小额支付储值卡。 15.3.5 售检票系统各站点内前端售检票设备宜采用有线或无线本地局域网络;各站点之间互连宜采用智能控制系统的数据传输网络或组建专用传输网络。 条文说明
15.3.2 一般而言,当需要完成线路与线路之间、轻轨与公交、地铁间互联互通、票款收益清分对账时,需要设置清分中心系统,否则可以不设置。出于系统可靠性考虑,综合考虑城市经济能力、轻轨运营需求、技术条件等方面因素对整个后台管理平台或个别重要子系统,参照现行国家标准《信息安全技术 信息系统灾难恢复规范》GB/T20988设置相应等级的异地灾备系统。 售检票系统如具有一定规模,则推荐根据线网、线路规模实行一级或多级维修管理,并按级设置相应的维修测试系统设备、仪器仪表、维修工器具和维修测试与培训环境设备。 15.3.3 车载检票机指设置在列车内,无乘客通行阻挡装置,需在人工监督下完成检票。 根据轻轨具体情况,各前端售检票设备的功能可以进行整合,如自动售票机、自动充值机、自动验票机整合,自动充值机与自动补票机整合,便携式检验票机兼具人工补票功能等。 如采用轻轨专用储值车票的售检票系统要设置充值机设备。 15.3.4 专用抛弃型电子车票指车票一次使用,不回收重复使用,一般使用纸质、塑料等低成本介质,车票信息直接印刷或打印在车票表面。 15.3.5 为减轻轻轨运营管理人员工作强度、提高轻轨信息化程度和运营效率,前端售检票设备,特别是车载设备,与后端系统平台的各类数据传输尽可能采用有线或无线网络自动传输,避免采用人工离线采集的传输方式。 15.4 系统功能15.4.1 后端系统平台应具有系统维护、数据处理、设备监控、票务管理、安全管理、清分对账、统计报表等功能。15.4.2 前端售检票设备宜具有下列功能: 1 接受后端管理平台运营参数和控制指令,按规定的业务设置功能及信息提示; 2 生成并向后端系统平台上传设备状态、车票交易、故障报警数据等功能。 15.4.3 维修测试系统与培训系统宜具备维修管理、系统测试等功能,并应能提供有效的培训条件。 条文说明
15.4.1 如轻轨使用专用车票,其票务管理功能还应具有对专用车票进行初始化、编码、分拣、赋值、校验及注销、库存管理、车票调配等业务功能。
15.5 其他15.5.1 售检票系统非机房设备应选用不低于工业级标准产品,售检票终端设备外壳防护等级不应低于IP54。15.5.2 售检票系统接口设计,应提出设备使用环境、设备布置、设备用电、设备维修、接地、网络传输、时钟、视频监控及预埋管线、箱、盒等接口技术要求,以及通信、火灾自动报警、门禁、城市公共交通一卡通或其他小额支付等系统的接口要求。 条文说明
15.5.1 轻轨售检票终端设备设置位置一般在列车内或条件相对简陋车站,使用环境相对较差,选用不低于工业级标准产品、提高售检票终端设备运行状态下的外壳防护等级可以有效提高系统的可靠性。
16 运营调度中心16.1 一般规定16.2 选址及设置 16.3 运营调度中心管理 16.4 布置分区及要求 16.5 建筑与结构 16.6 附属设施 16.1 一般规定16.1.1 运营调度中心应具备日常运营及事故或灾害发生时的应急指挥功能,并可实现对线路上运行的列车、车站和车场实施统一调度指挥。16.1.2 运营调度中心宜具备行车调度、电力调度基本功能,并可根据需要设置防灾调度、维修调度及票务管理等功能。 16.1.3 运营调度中心的行车调度应实现对运行列车的集中监视,可实现列车运行监控和车场调度工作。 16.1.4 运营调度中心电力调度应实现线路电力系统的集中监视,并应具有电力调度管理功能。 16.1.5 当运营调度中心具有乘客信息管理功能时,宜实现车站、车辆上各类信息的集中采集和发布。 16.1.6 当运营调度中心具有防灾调度功能时,可接收全线的事故、灾害信息,也可实现全线灾害报警系统的监控管理。 16.1.7 当运营调度中心具有票务管理功能时,可对线路的车票进行统计和财务集中核算等业务,也可对售检票系统设备进行监视和控制。 16.1.8 当运营调度中心具有维修调度功能时,应包括日常维修和应急处理能力,以及组织线路抢险和救援能力。 16.1.9 运营调度中心应根据轻轨交通规模确定运营调度中心的规模和运作管理模式。与轻轨交通运营和管理无关的功能不宜纳入运营调度中心。 条文说明
16.1.9 根据线路敷设方式的不同,所设置的运营指挥系统的标准也存在较大的差异,对运营调度中心的功能需求也不同。因此,运营调度中心设置时根据运营监管的需求,确定中心的总体规模、运营管理方式,使运营调度中心达到规划有序、便于使用、经济合理,避免不顾实际需求,盲目追求大而全。 16.2 选址及设置16.2.1 运营调度中心宜根据轻轨线网规划、线路建设时序进行统一规划设置,其位置宜选在线路附近或车场内。16.2.2 运营调度中心应具有安全性和可靠性,并宜与轻轨其他建筑设施结合设置。 16.2.3 多条线路的运营调度中心宜集中设置,运营调度中心宜按土建一次性建成、设备分期实施。 条文说明
16.2.1 轻轨进行线网规划时,考虑对调度运营指挥中心进行统一规划,整合设置,以利于实现资源共享。当轻轨正线运营调度指挥系统未采用列车固定闭塞制式时,为便于车场列车调度,一般将运营调度中心设置在车场内。
16.3 运营调度中心管理16.3.1 运营调度中心应结合轻轨运营组织和管理的需求,建立相应的组织管理机构。16.3.2 当多线路合设运营调度中心时,可采用多条线路集中统一管理模式或多线路分功能及分业务统一管理模式。 16.3.3 运营调度中心的运行管理模式应符合下列规定: 1 在运营调度中心应实现列车运行的集中监视; 2 运营调度中心的运行模式宜实现系统集成,并宜具有对突发事件的决策分析和应变处理能力; 3 运行模式可采用分系统独立运行、系统集中运行及综合调度中心运行; 4 运营调度中心的运营管理组织及定员应结合运行模式确定。 条文说明
16.3.3 根据轻轨运营的特点,轻轨运营调度中心最基本的功能是列车运行的监视或控制,其次是对其他如客流、车站、线路等相关信息的及时了解,因此,运营调度中心根据运营调度中心的构建水平,搭建适度的信息互通互联的监控平台,提高对突发事件的处理能力。
16.4 布置分区及要求16.4.1 运营调度中心的布置分区及房屋设置应满足运营管理、系统控制、设备布置、扩充改造的要求。16.4.2 运营调度中心宜按其功能划分为运营调度区、办公管理区、设备区、辅助设备区。 16.4.3 各功能区的设置应符合下列规定: 1 运营调度区宜包括调度控制室及值班、管理用房; 2 办公管理区宜包括运营管理办公、日常事务办公用房,并根据需要设置票务管理、票务处理、票务储藏与发放以及乘客信息系统管理等用房; 3 设备区应包括系统设备机房、电源电池室、电缆间及通道、相关专业设备维修工区、工区备件室等; 4 辅助设备区应包括安防室、变电所及通风空调与消防等楼宇配套设施。 16.4.4 运营调度中心各功能区用房宜相对集中布置,并应根据工艺要求、功能关系进行布置;系统设备用房宜与运营调度室相邻。 16.4.5 运营调度中心各系统主要设备和辅助设备用房宜分开布置。主要控制设备宜采用大开间用房布置。设备宜按不同专业集中放置;多线路合设的运营调度中心,宜按不同线路划分区域集中设置设备。各系统辅助设备可采用小房间布置。 16.4.6 系统设备用房内设备布置应整齐紧凑,便于观察、操作和维修;大功率强电设备不得与弱电设备混合安装和布置。 16.4.7 运营调度室的设计应符合下列规定: 1 运营调度室宜分为操作调度、信息显示及运行协调区域,并根据需要可增加其他功能区域; 2 运营调度室的总体布局应以行车指挥为核心,并应设置操作控制台、运行操作工作站及输入输出设备等,并根据需要设置大屏幕显示屏; 3 多线路合设的运营调度中心,运营调度室布置应结合运营管理模式及线路建设情况,统一规划设置显示屏、操作控制台等; 4 运营调度室应以显示行车、视频监视画面为主,其他内容显示为辅。 16.4.8 运营调度室设备的设置应符合下列规定: 1 控制台应结合管理人员的工作方式,设置有线和无线通信相结合的辅助通信设施; 2 控制台设计应符合人体工程学要求,满足操作功能和控制功能的要求; 3 控制台的电线(缆)应设槽安装,并宜隐蔽;信号线(缆)和电源线(缆)槽应分开设置;控制台接地排应安全可靠。 16.4.9 运营调度室应结合设备布局进行装饰,控制台外表应统一色调和式样,且应与装饰色彩协调。 16.4.10 运营调度室大屏幕显示设备的选型和安装应适合操作员长时间观看和视觉舒适的要求。 条文说明
16.4.7 运营调度室根据轻轨线路等级、运营调度指挥系统的差异而设置,力求经济适用。对于一般单线路、运营调度系统简单的运营调度中心,大屏幕显示系统力求简单,建议用LCD、LED构建,以能够满足线路车辆监视、车站监视和车场列车调度功能要求即可。
16.5 建筑与结构16.5.1 运营调度中心的建筑布局应符合下列规定:1 中心宜具有独立性、安全性;建筑布局宜预留发展余地; 2 运营调度室与系统设备机房宜临近设置,电缆通道、电缆间宜靠近设备用房。 16.5.2 运营调度中心结构设计应符合下列规定: 1 结构净空尺寸应满足设备安装、使用及施工工艺的要求; 2 运营调度中心建筑结构荷载取值应根据用房性质不同而分别确定,如遇有特殊设备,应根据要求单独计算。 16.6 附属设施16.6.1 运营调度中心可单独设置降压变电所,分别引入两路相对独立的电源。16.6.2 运营调度中心降压变电所变压器的容量应按远期最大负荷设计,并应留有裕量。 16.6.3 运营调度中心的照明宜采用节能型、使用寿命长及维修方便的灯具,并应满足装饰设计的需要。 16.6.4 动力照明设备应根据不同的负荷类别选择满足其要求的产品。 16.6.5 动力照明配电应选用无卤、低烟的阻燃型电缆、电线。16.6.6 火灾状态下需继续运行的设备,应选用耐火电缆。 16.6.7 运营调度中心建筑物应设综合接地极,接地电阻不应大于1Ω,并应满足各系统的接地要求。 16.6.8 运营调度中心建筑物应设置防雷措施,并应符合现行国家标准《建筑物防雷设计规范》GB 50057的规定。 16.6.9 运营调度中心的空调设计应满足运营调度中心的需求。 16.6.10 变电所、蓄电池室、厕所等房间应设机械通风系统。 16.6.11 楼宇弱电工程设计除应符合国家现行标准的规定外,尚应符合下列规定: 1 运营调度中心楼宇弱电系统宜兼顾通信、办公、建筑设备自动化管理等需求,并应为中心工作人员提供高效、便利的工作环境。 2 运营调度中心的建筑设备自动化系统应根据运营调度中心的规模和需求设置。对于多线路、规模较大的运营调度中心宜设置楼宇设备监控、安全防范等系统,并宜采用结构化综合布线系统。 条文说明
16.6.1 运营调度中心变电所建议结合运营调度中心的规模进行设置。对于多线路集中设置的运营调度中心,由于所涉及线路多,一旦出现断电,影响面大,故考虑独立设置降压变电所,并分别引入两路独立的外电源,以保证电源的可靠性。如仅为一条线路的运营调度中心,且与轻轨设施如车场、办公楼合设时,可以结合合设前述设施统一设置变电所。运营调度中心用于运营、调度、指挥的各设备系统均按一级负荷配电,并配置不间断电源 (UPS)。
17 车场17.1 一般规定17.2 车场的功能、规模及总平面布置 17.3 车辆运用整备设施 17.4 车辆检修设施 17.5 综合维修中心 17.6 救援设施 17.7 站场 17.1 一般规定17.1.1 轻轨车场设计应符合本标准的规定,未尽内容可按现行国家标准《地铁设计规范》GB 50157的有关规定执行。17.1.2 车场宜包括修车场/停车场、维修中心和必要的生活设施等;物资库、培训设施可根据需要配置。 17.1.3 车场的功能、布局和设施配置应满足运营需求及线网资源共享的需要。 17.1.4 车场设计应初、近、远期结合,统一规划,分期实施。站场股道、房屋建筑和机电设备等可按近期需要设计,用地范围应按远期规模并在远期站场股道和房屋规划布置的基础上确定。 17.1.5 车场总平面布置、房屋设计和材料设备选用等应符合现行国家标准《建筑设计防火规范》GB 50016的有关规定。 17.1.6 车场设计应具有新采购车辆和大型设备的进入条件。 条文说明
17.1.1 轻轨车场与地铁车辆基地在功能上有相似之处,与地铁车辆基地一致的内容在本章未重复体现。17.1.2 本条规定了轻轨车场的设计范围,车场是保证轻轨正常运营的后勤基地,车场的设计范围包括修车场/停车场、维修中心、物资库和培训中心及必要的生活设施等,是轻轨正常运营所必需的设备和设施。上述各种设备、设施性质相近,有着紧密的联系,工程设计中通常布置在一起,形成综合体,既节约工程投资又方便管理。 17.1.3 本条结合轻轨线路网络化运营的特点作出相关规定,目的是在线网研究的基础上充分考虑资源共享,避免功能过剩或不足,力求布局和设施的合理配置,避免因重复建设而造成浪费。 17.1.4 车场属大型建设工程,投资大,且大多是地面工程,因此条文强调在统一规划的前提下分期实施。一般站场的股道、房屋建筑、机电设备等按近期需要设计,用地范围按远期规模确定。要求确定远期用地范围时将其股道和主要房屋进行规划和布置,保证日后工程建设的可实施性。此外,对于某些架修、大修专用维修设备,为避免设备搁置多年不用而造成浪费,在完成总体工艺布局的基础上考虑分期实施。 17.1.5 车场的消防设施是安全生产的重要保证,包括总平面布置、房屋设计和设备材料选用等需符合国家和地方现行有关防火规范的规定,并有完善的消防设施。条文强调车场消防设计需符合现行国家标准《建筑设计防火规范》GB50016的有关规定。 17.1.6 由于轻轨线路一般不具备与国铁设置联络线的条件,故车场设计要考虑满足大型设备、材料及新车进入车场的运输条件,车场内有环形通道和必要的回车设施,保证运输通畅。 17.2 车场的功能、规模及总平面布置17.2.1 车场根据功能可分为检修车场(简称修车场)和运用停车场(简称停车场)。修车场和停车场的设置应符合下列规定:1 修车场根据其作业范围宜分为大修车场、架修车场和定修车场,并应分别具有下列功能: 1)大修、架修车场:承担车辆的大修和架修及其以下修程作业; 2)定修车场:承担车辆的定修及其以下修程作业。 2 停车场应承担列检和停车作业,并可根据维护需要设置月检线。 17.2.2 车场设计应满足车辆的技术条件和维修要求。 17.2.3 车辆检修宜采用日常维修和定期检修相结合的检修制度,并宜推行换件修。 17.2.4 新建线路的车辆日常检修修程和定期检修周期应符合表17.2.4规定。 表17.2.4 车辆日常检修修程和定期检修周期表
2 表中检修时间是按部件互换修确定的。 17.2.5 车场应按下列作业范围设计: 1 列车管理和编组; 2 列车停放、列检、月检及清扫洗刷、定期消毒等日常维修保养; 3 车场内配属列车的乘务作业; 4 车辆的定修、架修、大修等定期检修及检修后的列车试验; 5 车辆的临修; 6 车场内设备、机具的维修和调车机车、工程车等的整备及维修。 17.2.6 停车场应按下列作业范围设计: 1 列车管理; 2 列车停放、列检、清扫洗刷、定期消毒等日常维修保养,必要时包括月检; 3 车场配属列车的乘务作业。 17.2.7 车场的设计规模应根据车辆技术条件、配属列车编组和数量、检修周期和检修时间计算确定。 17.2.8 修车场各修程工作量计算时,应计入检修不平衡系数。检修不平衡系数应符合下列规定: 1 定修不平衡系数为1.2; 2 架修、大修不平衡系数为1.1。 17.2.9 车场线应包括出入线、运用和检修库线、洗车线、镟轮线、待修车和修竣车存放线、走行线、牵出线及相应的渡线。 17.2.10 车场线的线路平面及纵断面设计应符合下列规定: 1 出入线应符合下列规定: 1)最小平面曲线半径不宜小于50m,困难时不应小于25m; 2)曲线间夹直线最小长度不宜小于车辆的全轴距; 3)最大坡度宜为60‰; 4)最小竖曲线半径不宜小于1000m。 2 试车线应为平直线路,困难时线路端部根据该线段的试车速度可设置曲线。 3 车场其他线路应符合下列规定: 1)最小曲线半径不应小于25m; 2)道岔端部与曲线端部的距离不应小于3m(未考虑曲线轨距加宽递减值); 3)线路宜设于平道上,困难时库外线路的坡度不宜大于1.5‰设计。 17.2.11 车场变配电所、给水所和锅炉房等动力房屋宜靠近负荷中心。 17.2.12 车场应根据生产和管理的需要,配备相应的辅助生产房屋和行车公寓、办公楼、食堂、浴室、职工更衣休息室及卫生设施,以及汽车和自行车停车场等配套设施。 17.2.13 车场总平面应布局合理、功能分区明确、节约用地、交通组织顺畅。 17.2.14 车场总平面布置应进行景观和绿化设计。 17.2.15 车场内应有运输道路及消防道路,并应有不少于两个与外界道路相连通的出入口。 条文说明
17.2.1 根据轻轨车辆检修模式,本条规定了车场按修车场、停车场两类进行功能定位和任务划分。17.2.2 目前国内的轻轨车辆类型较多、标准不一、差异较大;车辆是车场设计和主要设备选型的重要依据,在车辆选型未稳定,车辆的主要技术条件和技术参数尚未落实之前设计(特别是施工图设计)和施工,将可能造成工程设计大量返工,甚至造成浪费。因此本条文强调修车场与停车场的设计要以车辆的技术条件和参数为依据。 17.2.4 轻轨车辆日常维修和定期检修周期的确定,主要取决于车辆的结构性能和质量、运行线路的技术条件,车辆的使用环境条件、检修人员的技术素质和经验等方面。车辆检修周期的各项指标仅用于工程设计时作为确定车场规模的依据,随着科学技术的发展和管理水平的不断提高,检修制度还会逐步完善,参数可能会发生变化,运营单位根据运营实际情况还可以适当调整。 表中检修周期有两种指标,即走行公里数和时间间隔。在设计阶段计算车场规模时采用走行公里数指标,在预可行性研究或可行性研究阶段,因行车资料不全,采用时间间隔指标作为计算依据。 17.2.10 车辆的全轴距指轻轨车辆相邻两个转向架的两外侧轴之间的距离。 17.3 车辆运用整备设施17.3.1 车场运用整备设施应根据生产需要配备停车库(棚)、列检库(棚)、月检库和列车清洗洗刷、吹扫清洁设备。17.3.2 运用库的规模应按近期需要确定,并应预留远期发展的条件,其中月检库远期扩建困难时可按远期规模一次建成。 17.3.3 停车列检库(棚)设计的总列位数,应按本场配属列车数扣除在修车列数和月检列位数计算确定;列检列位数设计不宜大于停车列检库总列位数的30%。 17.3.4 运用库各库每线的列位数应符合下列规定: 1 库型为尽端式布置时,应符合下列规定: 1)停车、列检线应按不大于6列位设计; 2)月检线应按2列位设计,困难时可按4列位设计; 3)股道末端应设置简易车挡。 2 库型为贯通式布置时,应符合下列规定: 1)停车、列检线应按不大于8列位设计; 2)月检线应按4列位设计,困难时可按6列位设计。 17.3.5 运用库库线应符合下列规定: 1 当车辆采用架空接触网供电时,月检线应设架空接触网。 2 列检和月检库线架空接触网在库前应设置隔离开关或分段器,并应设有送电时的信号显示或音响。 17.3.6 列检列位应设检查坑,并应符合下列规定: 1 坑深不应小于1.6m; 2 检查坑两端应设阶梯踏步,坑内应有良好的排水设施; 3 列检检查坑的长度不应小于下式的计算值:
L——列车长度(m); 4——附加长度(m),包括停车误差1m和检查坑两端阶梯踏步各1.5m。 17.3.7 月检线路应设柱式检查坑,并根据作业要求,设车顶作业平台和中间作业平台。月检线设计应符合下列规定: 1 柱式检查坑深度,股道外宜为0.9m~1.2m,股道内宜为1.4m~1.6m,坑内应有安全照明和排水设施。 2 车顶作业平台和中间作业平台的结构尺寸,应根据车辆结构和作业要求确定。作业平台两侧应有安全防护设施。 3 当采用架空接触网供电时,上车顶作业平台门的开关应与架空接触网隔离开关联锁,兼作两线作业的车顶作业平台中间应设隔离栅栏。 4 月检线宜有1~2 列位设置外接调试电源设备。 17.3.8 修车场应设机械洗车设施,配属车超过24列的停车场可设置机械洗车设施。机械洗车设施应包括洗车机、洗车线路和生产房屋。 17.3.9 修车场、停车场各种车库有关部位的最小尺寸应符合表17.3.9的规定。 表17.3.9 各车库有关部位最小尺寸表(m)
2 H为车辆高度(受电弓电动车辆按受电弓落弓高度计算);车库大门净高未考虑受电弓升弓进库状态下的高度; 3 静调库各部分尺寸可按定修库设计。 17.3.10 在列检库检查坑内两侧应设动力及安全照明插座。检查坑内固定照明灯具不应影响作业。 17.3.11 车场在合适位置宜配置储砂及上砂设施,并宜采用自然干砂。 条文说明
17.3.3 减少列检列位数的占比可以有效地降低车场占地与设施投资,轻轨车辆转弯半径小,场地布置灵活,通过合理的布局可以实现利用不超过30%的列检列位满足全部车辆列检的需求。17.3.5 轻轨车辆长度较短,每股道停放列车最高可以达8列,此处不要求每列位之间设置隔离开关,仅需要在库前设置隔离开关或分段器。 17.3.6 当采用高地板铰接型车时,因检查设备较高,检查坑深度可以略浅,一般为1.4m;采用低地板铰接型车时,检查坑深一般为1.6m。 17.3.7 第2款“安全防护设施”指防止检修工作人员掉下平台的护栏等设施。 第3款 此款为保证平台作业人员安全的基本要求,如兼作两线作业的车顶平台宽度太窄,没有条件设置中间隔离栅栏,则需将平台两侧门与架空接触网联锁。 17.3.8 轻轨机械洗车设施有两种模式:一种是车辆移动,洗车机不移动;另一种是车辆不移动,洗车机移动。根据车辆长度、场地条件选择合适的机械洗车设施。 17.3.11 上砂设施的配置与砂型的选择,需根据车辆的具体技术参数确定。 17.4 车辆检修设施17.4.1 车辆检修设施应包括定修库、架修库、大修库、临修库、不落轮镟轮库和辅助生产房屋及设施,并应符合下列规定:1 修车场应设定修库、临修库,并应根据需要设不落轮镟轮库及相应线路和辅助生产房屋。 2 架修、大修车场应根据车辆检修要求设架修、大修架落车库、检修库、静调库和转向架、电机、电器、钩缓、铰接装置、受电弓、空调、制动及蓄电池等部件检修分间。油漆库可根据需要设置。 3 各级修程可根据需要设置检查坑,检查坑深度宜为1.3m~1.5m。 17.4.2 修车库均不应设置固定式架空接触网或接触轨。 17.4.3 定修库、临修库、架修库和大修库均应设电动桥式或梁式起重机和搬运设备。起重机的起重量应满足工艺和检修作业的要求;起重机走行轨的高度应根据车辆高度、架车方式、架车高度、车顶作业要求和起重机的结构尺寸计算确定。 17.4.4 临修库、架修库和大修库均应根据作业要求设架车设备。架修库和大修库应根据作业需要选用地下式固定架车机组或其他形式的架车设备。临修库可选用移动式架车机。 17.4.5 各种检修库的库前股道宜设有一段平直线路,其长度应满足车辆进出库时车辆外侧各部距库门净距不应小于150mm的要求。 17.4.6 车场宜设试车线,并应符合下列规定: 1 试车线的有效长度应根据车辆性能和技术参数,以及试车综合作业规定计算确定。试车线两端应设缓冲滑动式车挡。 2 试车线的其他技术标准与正线标准应一致。 17.4.7 车场应设材料与备品仓库,并宜配备起重和运输设备。 条文说明
17.4.2 车场的定修、架修、大修库是车辆定期检修作业场所,人员较集中,车顶、车下都作业,为保证检修人员的安全,条文规定车场的各级修库均不设置固定式接触网或接触轨,运营有特殊需求的情况下在定修库中可以设置侧移式接触网。17.4.4 定修一般无架车作业要求。 17.5 综合维修中心17.5.1 综合维修中心功能应满足全线路基、轨道、桥涵、房屋建筑和道路等设施的维修、保养,以及供电、通信、信号、机电设备和自动化设备的维修和检修的需要。17.5.2 综合维修中心宜设于修车场的场地内,并可分别在相关的停车场设维修工区或维修组。 17.5.3 综合维修中心的供电、供热和供水设施应利用车场相关设备和设施。 17.5.4 综合维修中心的检修设备和工程车辆应满足各专业的作业内容和工作量的需要。工程车辆宜集中设置存放车库。 条文说明
17.5.4 结合轻轨线路一般以地面线为主的特点,考虑维修中心配置的工程车根据需要具备公铁两用功能。
17.6 救援设施17.6.1 车场内应设救援办公室,并应配备相应的救援设备和设施。救援办公室受轻轨运营调度中心指挥。17.6.2 救援办公室应设置值班室。值班室应设电钟、自动电话和无线通信设备以及直通轻轨运营调度中心的防灾调度电话。 17.6.3 救援用的车辆宜利用车场和维修中心的车辆,并应根据救援需要设置专用地面工程车和指挥车。 条文说明
17.6.3 轻轨线路一般以地面线为主,救援时可以考虑利用公铁两用车,快速到达救援现场来实施救援。
17.7 站场17.7.1 车场内线路的配备应符合本标准第6章的规定。17.7.2 车场内轨道设计应符合本标准第7章的规定。 17.7.3 停车库宜采用贯通形式,且宜在场内形成环形线路布置。在受用地条件限制时,停车库可采用尽端式布置方式。 17.7.4 设置在市政道路上的出入线,应结合市政道路交通组织需求统筹设计。 17.7.5 站场线路路基宽度、路拱形状、路堤、路堑及边坡等设计应符合本标准第8章的规定。 17.7.6 沿海或江河附近地区车场的站场线路路肩设计高程不应小于1/100 潮水位、波浪爬高值和安全高之和。 17.7.7 路基排水系统应符合下列规定: 1 站场路基面应设倾向排水系统的横向坡度,并宜采用2%锯齿形横坡。 2 站场路基排水系统宜采用重力自流排水方式,并应排入城市排水系统。 3 场内排水设备宜采用排水沟、排水管相结合的形式。建筑密集区采用暗管排水,股道间采用盖板排水沟。 4 检查坑和室外电缆沟的排水宜利用地形采用自然排水,困难时应自成体系,应采用机械提升排水方式排入路基排水系统、城市排水管网或附近河沟。 条文说明
17.7.4 轻轨车场通常均设在地面,出入线会与市政道路平交出岔,这对地面交通将产生较大的影响,为此,出入线要设置在地面交通量较小的支路或次干道;如必须在城市主干道设置时,需经过充分的论证分析,对出入线出岔位置的平交路口从地面交通组织角度,分析路口的通过能力,并充分考虑出岔位置的选择对道路交通的影响程度。17.7.7 轻轨车场路基排水的相关规定是基于采用碎石道床的情况;若是采用整体道床,则考虑按照场地排水设计方式进行相关设计。同时,要注意当采用整体道床形式时,需做好道岔排水设计与地面雨水排水设计的衔接工作,做好整个车场排水的一体化设计。 18 安全防护18.1 一般规定18.2 建筑防火 18.3 防火设备 18.4 防风 18.5 防雪 18.6 安防 18.1 一般规定18.1.1 轻轨交通应具有对火灾、水淹、风灾、地震、冰雪和雷击等灾害的预防措施。18.1.2 线路选线设计宜避开需高填、深挖和修建长路堑及高大挡土墙等路基工程的地段,并宜绕避不良地质条件的地段。对受洪水影响大或河流冲刷严重的地段宜予绕避,无法绕避时,应采用桥涵通过或选用其他工程处理措施。 18.1.3 轻轨交通应建立与当地气象、地震部门的信息沟通渠道,并应配备相关的防灾安全监控设施。 18.1.4 轻轨交通安全防范系统的设置,应根据轻轨所在城市主管部门的要求确定。 18.2 建筑防火18.2.1 地面站及站亭的耐火等级以及地面车站附属用房为地面一层时的耐火等级均不应低于二级。各耐火等级建筑物的防火要求应符合现行国家标准《建筑设计防火规范》GB 50016的规定。18.2.2 地面站沿站台一个长边应具备消防车靠近的条件。 18.2.3 消防通道的净宽度和净空高度均不应小于4.0m。 18.2.4 车站装修材料应采用难燃或不燃材料,且不得采用石棉、玻璃纤维、塑料类等制品。 条文说明
18.2.1 地面站及站亭虽为开敞设置,但作为城市轨道交通运输人员的集散地,发生火灾后产生的危害较大,因此耐火等级最低采用二级。18.2.2 地面站发生火灾后产生的危害较小,因此只需一个长边满足消防车靠近的条件即可。长边是指顺着线路方向车站建筑的边。 18.2.4 本条对建筑材料规定的目的是使车站建筑最大限度地避免火灾发生和蔓延。 18.3 防火设备18.3.1 地面站和高架站及高架区间应采用自然排烟。18.3.2 当不具备自然排烟条件时,连续长度大于500m的地下区间隧道和全封闭车道,应设置机械防烟、排烟系统。 18.3.3 当采用自然排烟时,自然排烟口的净面积应符合下列规定: 1 地面和高架站公共区、设备与管理用房、内走道自然排烟口的净面积不应小于排烟区域建筑面积的2%; 2 地下区间隧道和全封闭车道自然排烟口的净面积不应小于顶部投影面积的5%。 18.3.4 地面和高架站消火栓给水系统的设置应符合现行国家标准《建筑设计防火规范》GB 50016和《消防给水及消火栓系统技术规范》GB 50974的规定。 18.3.5 当城市自来水供水量能满足消防用水的要求而供水压力不能满足要求时,应采用消防泵从市政给水管网吸水的直接加压方式。 18.3.6 长度大于500m的独立地下区间应设消火栓给水系统。 18.3.7 当消火栓给水系统设有稳压装置及气压罐时,可不设高位水箱。 18.3.8 寒冷地区的消防水池(箱)、消防给水管道、室外消火栓及水泵接合器应有防冻措施。 18.3.9 当消防用电设备为一级负荷时,应由来自不同配电变压器的两个专用回路提供电源。当主电源断电时,备用电源应自动投入。 18.3.10 消防水泵、排烟风机、消防电梯等消防用电设备的两个供电回路,应在最末一级配电箱处自动转换。 18.3.11 专供消防用电设备用的配电箱、控制箱等主要电气设备宜采用耐热、耐火型,消防配电设备应有明显标志。 18.3.12 应急照明在正常供电电源停电后,其应急电源供电转换时间不应大于5s。 18.3.13 火灾时需继续工作场所的应急照明,其工作面上的照度值不应低于正常照明的照度。车站应急照明设置应符合现行国家标准《地铁设计规范》GB 50157的规定。运营调度中心和车场单体建筑物内的应急照明设置应符合现行国家标准《建筑设计防火规范》GB 50016的规定。 18.3.14 火灾自动报警系统设置要求应符合本标准第14.10节的规定。 18.3.15 公务电话交换机应具有火警时能自动转换到市话网“119”的功能,同时应配备在发生灾害时供救援人员进行地上、地下联络的无线通信设施。 18.3.16 运营调度中心应设置防灾无线调度台,列车司机室设置的无线车载台应能与防灾无线调度台通信,正线调度值班室、车场调度值班室应设置无线通信设备。 18.3.17 运营调度中心应设置防灾广播控制台,正线调度值班室、车场调度值班室应设置防灾广播控制盒。 18.3.18 运营调度中心和正线调度值班室,应设置供防灾调度员监视的视频监控终端。 18.3.19 防灾调度电话系统应在运营调度中心设调度电话总机,在车场和有人值守车站设防灾分机。 条文说明
18.3.2 本条指两端通过洞口与室外连通,且不与车站相连的地下区间隧道和全封闭车道。如长度大于500m又不具备自然排烟条件,一旦发生火灾时,极易造成人员伤害事故。故应设置机械防烟、排烟系统。对于长度小于500m的此类隧道,列车通过的速度快、时间短,在隧道内部发生火灾的概率很低。根据相关研究,此类隧道利用列车活塞作用通过洞口自然通风可以满足正常运行时的通风换气要求;火灾时由于烟气分层,通过洞口自然排烟亦可以满足排烟要求。关于隧道的长度,由于轻轨列车的火灾危险性远小于城市交通中的机动车,因而参考现行国家标准《建筑设计防火规范》GB50016对城市交通隧道的相关规定是安全的。18.3.7 轻轨工程地面或高架车站站台形式简单,其屋顶多采用轻钢结构形式,设置高位水箱较困难。参照现行国家标准《地铁设计规范》GB50157的规定,轻轨工程地面和高架车站消火栓系统设有稳压泵和气压罐时,可以不设高位水箱。轻轨工程稳压泵及气压罐的设置和选型需符合现行国家标准《消防给水及消火栓系统技术规范》GB50974的要求。 18.3.8 在环境温度低于4℃的场所设置的消防水池(箱)、消防给水管道、消火栓及水泵接合器均有冻结风险,因此,需要采取必要的防冻保护措施。室内消火栓系统也可以采用干式系统,但消火栓系统充水时间需满足现行国家标准《消防给水及消火栓系统技术规范》GB50974的要求。 18.3.10 为保证火灾时直接参与消防救援专用设备供配电的可靠性,要求两个供电电源在最末一级配电箱处设置双电源自动切换装置,确保当一个电源故障时,另一个电源自动投入。对于消防应急照明需确保按防火分区设置末端双电源自动切换应急照明配电箱。 18.3.11 消防用电设备专用的配电箱、控制箱,其箱结构及主要电气元器件尽量采用耐火耐热型。当采用普通型配电箱时,其安装位置的选择除了遵循常规安装要求外,要尽可能避开易受火灾影响的场所,并对其安装方式和安装部位的结构做好防火隔热。 18.4 防风18.4.1 地面站和高架站选址宜避开紧邻高层建筑物气流受阻并会形成较大风速区的位置。18.4.2 地面站和高架站的室外雨篷、轻质墙体、栏杆挡板、架空接触网以及标志、标牌等建筑构造均应满足抗风要求。 18.4.3 台风和龙卷风频遇地区的地面站和高架站,不宜采用质量轻、柔性大、阻尼小且对风荷载比较敏感的屋架结构。 18.4.4 地面和高架站及高架区间结构风荷载的标准值和基本风压应按现行国家标准《建筑结构荷载规范》GB 50009的要求进行取值,并应按现行国家标准《混凝土结构设计规范》GB 50010和《钢结构设计规范》GB 50017的要求进行结构设计。 18.4.5 在沿海地区或风力超过8级地区的高架线和地面区间路堤段应设置风速监测仪。 18.5 防雪18.5.1 寒冷地区的地面及高架线应采取防冰雪措施。18.5.2 寒冷地区的高架线道岔、车场咽喉区道岔宜设置道岔自动融雪器或采取其他保证道岔可靠转换的除冰雪措施。 18.5.3 寒冷地区的高架线接触轨或架空接触网,应具有在冬季结冰后不停止供电的措施。 18.6 安防18.6.1 轻轨地上全封闭运行线路的车站和地下车站的安防系统设置,应根据所在城市安全防范要求确定。车站安防系统的设计应符合现行国家标准《城市轨道交通公共安全防范系统工程技术规范》GB 51151的规定。18.6.2 正线安防视频监视子系统应与运营监控系统中的视频监视系统合设,监控点设置应满足运营、公安对安防系统的要求。 18.6.3 车场区域宜设置安防通信系统,安防通信系统应包括视频监控子系统及周界防范子系统。 条文说明
18.6.1 由于目前国内各地城市对轨道交通安全防范系统的设计要求和深度不尽相同,因此轻轨地上全封闭运行线路的车站和地下车站安防系统的具体设计要求、内容及深度需根据当地轨道交通对安全防范系统的具体要求确定。根据各地要求需要在轻轨工程设置的安全防范系统设计需按照现行国家标准《城市轨道交通公共安全防范系统工程技术规范》GB51151的要求执行。
19 环境保护19.1 一般规定19.2 噪声与振动控制 19.3 污水与废水处理 19.1 一般规定19.1.1 轻轨环境保护设计应遵循统一规划、合理布局、综合治理、防治结合的原则。19.1.2 轻轨建设应根据项目环境影响报告书及环境保护主管部门批复文件,落实环境保护目标及其污染防治要求。 19.1.3 污染防治设施应根据工程设计年限,按远期或控制期预测客流量和最大通过能力设计,并应与主体工程同时设计、同时施工、同时投入使用。 19.1.4 车场及变电所选址应避开自然保护区、风景名胜区、水源保护区等敏感区域。 19.2 噪声与振动控制19.2.1 轻轨应从敷设方式、规划布局、路基与轨道形式、车辆选型、行车组织等多方面采取综合环保措施。19.2.2 车辆及设备运行对外部环境的噪声影响应符合现行国家标准《声环境质量标准》GB 3096的规定;车场的厂界噪声应符合现行国家标准《工业企业厂界环境噪声排放标准》GB 12348的规定。 19.2.3 列车运行对外部环境的振动影响应符合现行国家标准《城市区域环境振动标准》GB 10070的规定。 19.2.4 列车运行引起的建筑物振动与二次辐射噪声应符合现行行业标准《城市轨道交通引起建筑物振动与二次辐射噪声限值及其测量方法标准》JGJ/T 170的规定。 19.2.5 声屏障设计应符合下列规定: 1 声屏障设计应满足声学性能、安全性、稳定性及耐候性等要求。 2 声屏障设计目标值应由声环境保护目标处运营时段的列车运行噪声昼间、夜间等效声级预测值与所在环境功能区昼间、夜间噪声限值的差值来确定。 3 声屏障的总长度应覆盖相应的声环境保护目标,并应在两端附加延伸长度。声屏障两端的附加延伸长度应使其对声环境保护目标具有与声屏障设计插入损失相匹配的声衰减,每端的延伸长度宜按下式计算,且不宜小于50m。
d——线路到接收点的距离(m); ΔL——声屏障插入损失(dBA)。 4 声屏障设计应避免由于阳光或灯光照射而造成对周围环境的眩光影响;声屏障的形式、材料、色彩等设计应与沿线城市景观相协调。 条文说明
19.2.2 车场除了厂界噪声需符合现行国家标准《工业企业厂界环境噪声排放标准》GB12348外,其周边的噪声敏感点的声环境质量也需符合现行国家标准《声环境质量标准》GB 3096的要求。19.2.5 第2款 此款为确定声屏障设计目标值的规定。重新修订的现行国家标准《声环境质量标准》GB3096的规定:以昼间、夜间环境噪声源正常工作时段的等效声级作为评价噪声敏感建筑物户外(或室内)环境噪声水平,判断是否符合所处声环境功能区的环境质量要求的依据。因此,对于学校教室、科研办公室等夜间无住宿的声环境敏感点,仅需根据昼间等效声级预测值及昼间标准确定声屏障的设计目标值;对于居民区等夜间有住宿的声环境敏感点,还需根据夜间运营时段等效声级预测值及夜间标准来确定声屏障的设计目标值。 第3款 此款为确定声屏障设置长度的规定。工程实践证明,声屏障长度与其降噪效果密切相关。本标准参考《联邦德国环境保护手册》,根据声屏障插入损失值及与线路的距离计算声屏障两端的附加延伸长度,同时对声屏障最小长度进行规定。 19.3 污水与废水处理19.3.1 当线路沿线设有城市污水排水系统,且有城市污水处理厂时,车站、车场的生活污水应排入市政污水管道。19.3.2 当车场周围无城市污水排水系统时,应对生活污水进行处理,并应达到现行国家标准《污水综合排放标准》GB 8978污水排放标准后排放。 19.3.3 车场含油废水应进行场区内污水处理,并应达到现行国家标准《污水综合排放标准》GB 8978污水排放标准后排放。 19.3.4 车场洗车废水经处理后应做到循环利用,循环利用的冲洗用水应符合现行国家标准《城市污水再生利用 城市杂用水水质》GB/T 18920的规定。 20 景观20.1 一般规定20.2 桥梁 20.3 车站 20.4 架空接触网· 20.5 照明 20.6 绿化 20.1 一般规定20.1.1 景观设计应贯穿轻轨设计的全过程。景观工程应与轻轨工程同时设计、同时施工、同时投入运营。20.1.2 景观设计应符合城市总体规划、分区规划及详细规划的要求,并应通过分析轻轨工程与沿线地形地貌、路网结构、历史文脉、建筑分布、绿地系统等的平面及空间关系,使轻轨景观和城市景观形成有机整体。 20.1.3 景观设计应处理好轻轨交通与城市环境大背景之间的协调,并应在城市环境中形成层次丰富的视线走廊。 20.1.4 在满足功能要求的前提下,景观设计应对线路敷设、车辆和供电等方案的选择具有指导作用。 20.1.5 景观设计应处理好以车站为核心区的节点环境,并应利用车站的建设,改善和塑造城市节点环境。 20.1.6 桥梁设计应通过选择结构方案、确定结构部件比例和完善景观细部等手法,形成具有整体节奏感、韵律感和时代感的城市节点环境。 20.1.7 架空接触网的设计应简洁美观,立柱位置的选择宜与周围环境相协调。 20.1.8 照明应与建(构)筑物等被照对象及周边环境相协调,并应体现被照对象的特征、风格及文化内涵。照明灯具和附属设备应妥善隐蔽安装,且兼顾夜晚照明及白昼观瞻。 20.1.9 绿化应注重乔、灌、草的协调配置及季相变化。 20.1.10 车辆宜具有流畅优美的线条,车体和车窗的设计应兼顾车内外人流的观景需求。车辆材料、内饰、设施等的设计应以人文本,内外协调。 20.1.11 景观设计应重视保护当地文物古迹,并宜利用原有人文环境,发挥其文化和景观价值。 条文说明
20.1.3 景观设计需处理好轻轨交通工程与城市环境之间大背景之间的协调,可从被看和向看的视觉角度考虑。“被看”是指当人处在城市环境中,观赏轻轨工程中的桥梁、车站、架空接触网、绿化以及车辆等时,轻轨工程中的这些节点空间形成相对的中心,而城市环境成为大背景。“向看”是指当人处在轻轨中的车站或车辆中,观赏整个城市环境,城市环境自身形成中心。无论“被看”还是“向看”都有主有次,协调和谐的关系。轻轨工程被看时,它与城市环境大背景形成和谐的图底关系。轻轨工程向外看时,在城市环境中形成层次丰富的视线走廊。20.1.4 确定线路走向后,景观设计对线路沿路中还是路侧敷设,高架、地下还是地面敷设;对供电系统选择有无架空接触网,有架空接触网时立柱立在哪侧;对车辆的造型、装饰等从城市景观的角度提出建议。 20.1.5 车站是乘客候车和乘降的场所,是轻轨工程景观设计的重要节点。在城市中心区利用车站的建设可以改善城市环境,在城市外围区利用车站的建设可以重塑新的城市节点环境。 20.1.7 架空接触网立柱的设置分为:中间立柱、两侧立柱、单侧立柱、与周边建(构)筑物合建等形式,根据不同的景观要求,选择适宜的立柱设置方案。 20.2 桥梁20.2.1 桥涵在满足使用功能的前提下,应根据周围环境、线路位置、景观定位等选择适宜的桥梁结构形式,并应根据不同视角及建筑空间感受,确定墩高、梁高、跨径、矢跨比和高跨比。同时尚应处理好以桥梁结构为载体的细部景观设计,包括夜景灯带、涂装、广告牌、声屏障、装饰花池等。20.2.2 梁式桥应注重整体景观的节奏感和连续性,连接不同梁高和梁宽的相关上部结构和联间墩横、纵断面宜采取过渡措施,不得因结构尺寸突变对桥梁整体建筑造型的破坏。 20.2.3 桥梁跨径与墩高比宜控制在3∶1~5∶1之间,且宜控制梁高。 20.2.4 半径在300m内的曲线桥不宜采用常用跨度的直线梁。 20.2.5 桥下净空宜控制在主梁结构高度的4倍以上。 20.2.6 桥上伸缩缝密封件的选用和布置,应防止雨水渗漏破坏下部结构外观。 条文说明
20.2.3 桥梁跨径与墩高之间的比例影响整个桥梁的美观,因此将该比例控制在一定的范围内。 20.2.5 桥下净空与主梁结构高度之比较小时,会对人产生压抑感,因此推荐控制其之间的最小值。 20.3 车站20.3.1 车站宜结合周围环境、地形地貌、历史文脉等,在细节上体现不同。20.3.2 车站建筑造型宜简洁轻盈、通透美观,体现轻轨建筑特征。选择的材料宜易清洗、防火、防锈蚀,同时不应对周围环境产生光污染。 20.3.3 设置在道路中间的高架站宜采用底层架空的桥式结构。 20.3.4 站亭顶棚的造型、色调以及覆盖长度、宽度,在满足功能的前提下,应兼顾美观要求。 20.3.5 高架站屋面排水宜采用内排水,雨水管宜结合梁柱隐蔽处理。当确有困难时,可设置在非主视面。 20.3.6 车站的信息标志和服务设施宜集成化布置。靠近出入口时,不应妨碍乘客通行,且站内外宜整体统一。 20.3.7 接触网立柱不宜设置在有效站台范围内;当无法移开时,宜靠近站台外侧,且应避开站亭。 20.3.8 站前广场宜结合人行道、市政及休闲广场等统一整体设计,同时宜利用广场内的绿化、铺地、设施、小品和照明等的布置烘托整个车站。 20.3.9 站前广场宜采用绿化植被分隔各类功能空间,在满足功能要求的前提下应适当设置硬质地面。设置非机动车和机动车的停车场时,铺地宜采用嵌草式透水砖。 条文说明
20.3.1 车站采用一线一景,方便乘客识别。周围环境较为特殊的车站,在细节上体现其不同,使车站既具有交通功能的统一性,又具有不同地域的特殊性。20.3.3 位于道路中间的高架站采用底层架空的桥式结构,可以减少其对周围道路以及整个环境造成的压抑感。 20.3.7 地面站站台较窄,且站台上设置有站亭和服务设施,为减少接触网立柱对乘客通行和候车的影响,接触网立柱尽量设置在有效站台范围之外。无法避开时,贴站台外侧且避开站亭设置,将影响降至最小。 20.4 架空接触网20.4.1 架空接触网立柱宜选择与高架桥的声屏障立柱、建筑外墙和道路照明灯柱结合布置的方式。20.4.2 地面线路的上网隔离开关宜安装于牵引变电所内。上网电缆应暗敷于接触网立柱内。 20.4.3 地面线路的架空接触网不宜采用下锚拉线方式。20.4.4 补偿装置应可靠,可采用自动张力补偿装置。 20.4.5 当设置坠砣时,坠砣应设置在坠砣专用网罩内。坠砣网罩应与立柱同色。 条文说明
20.4.2 接触网的上网电缆敷设在立柱内,减少电缆的裸露,使立柱简洁美观。
20.5 照明20.5.1 根据照明性质的不同,照明应分为功能照明和景观照明两大类。功能照明与景观照明两者应统筹兼顾,做到经济合理,并应满足使用功能和保证景观效果。20.5.2 照明应符合生态和环境保护的要求,并应做到效果美观、安全、舒适和避免光污染,同时尚应符合下列规定: 1 照明设施不应对行人和机动车司机产生不舒适眩光; 2 照明室外灯具上射光通比应低于25%; 3 照明设施应避免长时间光照和灯具安装对植物生长产生的影响,以及不宜对古树、珍稀名木进行照明。 20.6 绿化20.6.1 地面线路采用绿化隔离时,道路交叉口司机视距范围内不应植栽高于1m的植物。20.6.2 绿化带内的泥土土面应低于路缘石10cm以上,路缘石外侧应完好整洁。树池周围的土面应低于路缘石,并宜采取草坪、碎石等覆盖,无泥土裸露。 20.6.3 当挡土墙采用嵌草式透水砖时,应在坡面铺设一定厚度的种植土,并宜加入改善土壤保温性能的材料。 20.6.4 停车场内汽车车位间的绿化不宜种植花卉。绿化带宽度宜为1.5m~2.0m。乔木沿绿化带排列时,间距不应小于2.5m。 附录A 接触网供电车辆限界图A.0.1 区间或车站直线地段车辆轮廓线、车辆限界、设备限界(见图A.0.1)的坐标值,应按表A.0.1-1表A.0.1-1表A.0.1-1表A.0.1-1~表A.0.1-7表A.0.1-7表A.0.1-7选取。
图A.0.1 直线段车辆轮廓线、车辆限界及设备限界(接触网供电)
表A.0.1-1 车辆轮廓线坐标值(mm)
表A.0.1-2 车辆限界坐标值(mm)
表A.0.1-3 设备限界坐标值(mm)
表A.0.1-4 接触网工作高度5300mm时受电弓动态包络线坐标(mm)
表A.0.1-5 接触网工作高度4600mm时受电弓动态包络线坐标(mm)
表A.0.1-6 接触网工作高度5300mm时受电弓设备限界坐标(mm)
表A.0.1-7 接触网工作高度4600mm时受电弓设备限界坐标(mm)
附录B 储能式供电车辆限界图B.0.1 区间或车站直线地段车辆轮廓线、车辆限界、设备限界(见图B.0.1)的坐标值,应按表B.0.1-1表B.0.1-1~表B.0.1-3选取。
表B.0.1-1 车辆轮廓线坐标值(mm)
表B.0.1-2 车辆限界坐标值(mm)
表B.0.1-3 设备限界坐标值(mm)
附录C 曲线段设备限界几何加宽量表C 各曲线半径曲线内、外侧限界加宽值
本标准用词说明1 为便于在执行本标准条文时区别对待,对要求严格程度不同的用词说明如下:1)表示很严格,非这样做不可的: 正面词采用“必须”,反面词采用“严禁”; 2)表示严格,在正常情况下均应这样做的: 正面词采用“应”,反面词采用“不应”或“不得”; 3)表示允许稍有选择,在条件许可时首先这样做的: 正面词采用“宜”,反面词采用“不宜”; 4)表示有选择,在一定条件下可以这样做的,采用“可”。 2 条文中指明应按其他有关标准执行的写法为:“应符合……的规定”或“应按……执行”。 引用标准名录1《建筑结构荷载规范》 GB 500092《混凝土结构设计规范》 GB 50010 3《建筑抗震设计规范》 GB 50011 4《建筑设计防火规范》 GB 50016 5《钢结构设计规范》 GB 50017 6《建筑照明设计标准》 GB 50034 7《建筑物防雷设计规范》 GB 50057 8《66kV及以下架空电力线路设计规范》 GB 50061 9《交流电气装置的过电压保护和绝缘配合设计规范》 GB/T 50064 10《交流电气装置的接地设计规范》 GB/T 50065 11《铁路工程抗震设计规范》 GB 50111 12《火灾自动报警系统设计规范》 GB 50116 13《内河通航标准》 GB 50139 14《地铁设计规范》 GB 50157 15《公共建筑节能设计标准》 GB 50189 16《城市工程管线综合规划规范》 GB 50289 17《建筑物电子信息系统防雷技术规范》 GB 50343 18《混凝土结构耐久性设计规范》 GB/T 50476 19《110kV~750kV架空输电线路设计规范》 GB 50545 20《民用建筑节水设计标准》 GB 50555 21《城市道路交叉口规划规范》 GB 50647 22《无障碍设计规范》 GB 50763 23《消防给水及消火栓系统技术规范》 GB 50974 24《城市轨道交通公共安全防范系统工程技术规范》GB 51151 25《标准轨距铁路机车车辆限界》 GB 146.1 26《声环境质量标准》 GB 3096 27《灯具 第1部分:一般要求与试验》 GB 7000.1 28《机动车运行安全技术条件》 GB 7258 29《污水综合排放标准》 GB 8978 30《城市区域环境振动标准》 GB 10070 31《电能质量 供电电压偏差》 GB/T 12325 32《工业企业厂界环境噪声排放标准》 GB 12348 33《电能质量 公用电网谐波》 GB/T 14549 34《城市轨道交通车辆 组装后的检查与试验规则》 GB/T 14894 35《城市轨道交通照明》 GB/T 16275 36《计算机信息系统安全保护等级划分准则》 GB 17859 37《城市污水再生利用 城市杂用水水质》 GB/T 18920 38《城市轻轨交通铰接车辆通用技术条件》 GB/T 23431 39《轨道交通 机车车辆用电力变流器 第1部分:特性和试验方法》 GB/T 25122.1 40《轨道交通 地面装置 第1部分:电气安全和接地相关的安全性措施》 GB/T 28026.1 41《轨道交通 地面装置 第2部分:直流牵引系统杂散电流防护措施》 GB/T 28026.2 42《城镇道路工程施工与质量验收规范》 CJJ 1 43《城市桥梁设计规范》 CJJ 11 44《城市道路工程设计规范》 CJJ 37 45《城市道路路线设计规范》 CJJ 193 46《城市轨道交通引起建筑物振动与二次辐射噪声限值及其测量方法标准》 JGJ/T 170 47《公路桥涵设计通用规范》 JTG D60 48《公路桥梁技术状况评定标准》 JTG/T H21 49《公路桥梁承载能力检测评定规程》 JTG/T J21 50《铁路路基设计规范》 TB 10001 51《铁路桥涵设计基本规范》 TB 10002.1 52《铁路桥梁钢结构设计规范》 TB 10002.2 53《铁路桥涵钢筋混凝土和预应力混凝土结构设计规范》 TB 10002.3 54《铁路桥涵地基和基础设计规范》 TB 10002.5 55《铁路混凝土结构耐久性设计规范》 TB 10005 56《铁路无缝线路设计规范》 TB 10015 57《铁路路基支挡结构设计规范》 TB 10025 58《铁路应用机车车辆电气设备》 TB/T 1333 59《铁路混凝土桥面防水层技术条件》 TB/T 2965 60《铁路机车车辆用电子变流器供电的交流电动机》 TB/T 3001 61《铁道机车车辆电子装置》 TB/T 3021 62 《机车电气设备电磁兼容性试验及其限值》 TB/T 3034
|
1. 本站所有资源来源于用户上传和网络,仅作为演示数据,如有侵权请邮件联系站长!
2. 盗版,破解有损他人权益和违法作为,请各位站长支持正版!
2. 盗版,破解有损他人权益和违法作为,请各位站长支持正版!

国家标准(推荐)