前言中华人民共和国国家标准
绿色办公建筑评价标准 Evaluation standard for green office building GB/T 50908-2013 2013-09-06 发布
2014-05-01 实施 中华人民共和国住房和城乡建设部 中华人民共和国国家质量监督检验检疫总局 中华人民共和国住房和城乡建设部公告 第146号 住房城乡建设部关于发布国家标准《绿色办公建筑评价标准》的公告 现批准《绿色办公建筑评价标准》为国家标准,编号为GB/T 50908-2013,自2014年5月1日起实施。 中华人民共和国住房和城乡建设部 本标准是根据住房和城乡建设部《关于印发〈2009年工程建设标准规范制订、修订计划〉的通知》(建标[2009]88号)的要求,由住房和城乡建设部科技发展促进中心会同有关单位编制完成的。 本规范编制过程中进行了深入调查研究,认真总结了实践经验,参考了有关国际标准和国外先进标准,并广泛征求了有关方面的意见,经审查定稿。 本标准共分为9章2个附录,主要技术内容包括:1 总则;2 术语;3 基本规定;4 节地与室外环境;5 节能与能源利用;6 节水与水资源利用;7 节材与材料资源利用;8 室内环境质量;9 运营管理。 本标准由住房和城乡建设部负责管理,由住房和城乡建设部科技发展促进中心负责具体技术内容的解释。执行过程中如有意见或建议,请寄送住房和城乡建设部科技发展促进中心(地址:北京市海淀区三里河路9号,邮政编码:100835)。 本标准主编单位:住房和城乡建设部科技发展促进中心 本标准参编单位:中国建筑科学研究院 上海市建筑科学研究院(集团)有限公司 清华大学 深圳市建筑科学研究院有限公司 中国城市规划设计研究院 中国建筑设计研究院 北京清华同衡规划设计研究院有限公司 北京首都开发控股集团有限公司 本标准主要起草人:杨榕 宋凌 郞四维 朱颖心 韩继红 曾捷 杨建荣 林波荣 张播 刘勇 赵锂 王昌兴 李晓锋 曾宇 李景广 何晓燕 王占友 马欣伯 李宏军 许荷 冯莹莹 张颖 吕石磊 廖琳 本标准主要审查人:刘燕辉 袁镔 鹿勤 王凤来 郝军 郑克白 詹庆旋 谭华 程大章 条文说明
国家标准《绿色办公建筑评价标准》GB/T 50908-2013经住房和城乡建设部2013年9月6日以第146号公告批准、发布。 本标准是为完善绿色建筑评价标准体系,总结近年来《绿色建筑评价标准》GB/T 50378-2006在评价办公建筑实践过程中遇到的问题和我国绿色建筑方面的研究成果,借鉴国际先进经验制定的国内第一部针对办公建筑的绿色建筑专用评价标准,引导政府办公建筑、商用办公建筑、科研办公建筑、综合办公建筑以及功能相近的办公建筑的绿色设计、建设与运行,规范绿色办公建筑的评价工作。 为便于广大设计、施工、科研、学校等单位有关人员在使用本标准时能正确理解和执行条文规定,《绿色办公建筑评价标准》编制组按章、节、条顺序编制了本标准的条文说明,对条文规定的目的、依据以及执行中需注意的有关事项进行了说明。但是,本条文说明不具备与标准正文同等的法律效力,仅供使用者作为理解和把握标准规定的参考。 1 总则1.0.1 为规范和引导办公建筑开展绿色建筑评价工作,制定本标准。 1.0.2 本标准适用于新建、改建和扩建的各类政府办公建筑、商用办公建筑、科研办公建筑、综合办公建筑以及功能相近的其他办公建筑的设计阶段和运行阶段的绿色评价。 1.0.3 绿色办公建筑的评价应以建筑单体或建筑群为对象。评价应符合下列原则: 1 评价单栋办公建筑时,凡涉及室外环境的指标,以该栋办公建筑所处周边环境的评价结果为准; 2 评价建筑群内的一栋或几栋办公建筑时,凡涉及室外环境的指标,以参评建筑所属用地周边环境的评价结果为准; 3 评价综合办公建筑时,评价对象至少为一栋建筑,凡涉及多功能区的指标,表述为各功能区指标的面积加权值。 1.0.4 评价绿色办公建筑时,应根据因地制宜的原则,结合办公建筑所在地域的气候、资源、自然环境、经济、文化等特点进行评价。 1.0.5 评价绿色办公建筑时,应统筹处理办公建筑全寿命期内节能、节地、节水、节材、室内环境质量、运营管理之间的关系,体现经济效益、社会效益和环境效益的统一。 1.0.6 评价绿色办公建筑时,应鼓励采用被动技术、适宜技术和综合效益显著的技术。 1.0.7 绿色办公建筑的评价除应符合本标准外,尚应符合国家现行有关标准的规定。 2 术语2.0.1 绿色办公建筑 green office building 在办公建筑的全寿命期内,最大限度地节约资源(节能、节地、节水、节材)、保护环境和减少污染,为办公人员提供健康、适用和高效的使用空间,与自然和谐共生的建筑。 2.0.2 综合办公建筑 comprehensive office building 办公建筑面积比例70%以上,且与商场、住宅、酒店等功能混合的综合建筑。 2.0.3 建筑环境质量 building environmental quality 建筑项目所界定范围内,影响使用者的环境品质,包括室内环境、室外环境以及建筑系统本身对使用者生活和工作在身心健康、舒适、工作效率、便利等方面的影响,简称Q。 2.0.4 建筑环境负荷 building environmental load 建筑项目对外部环境造成的影响或冲击,包括能源、材料、水等各种资源的消耗,污染物排放、噪声、日照、风害、交通流量增加等,简称L。 2.0.5 建筑环境负荷的减少 building environmental load reduction 建筑项目对外部环境造成影响或冲击的减少程度,简称LR。 2.0.6 围护结构节能率 energy-saving rate of building envelope performance 与参照建筑对比,设计建筑通过优化建筑围护结构(不包含自然通风、天然采光和其他被动式节能设计)而使采暖和空气调节负荷降低的比例。 2.0.7 空气调节和采暖通风系统节能率 energy-saving rate of HVAC systems 与参照建筑对比,设计建筑通过优化空气调节和采暖通风系统节能的比例。 2.0.8 可再生能源替代率 utilization rate of renewable energy 设计建筑所利用的可再生能源替代常规能源的比例。 2.0.9 雨水回用率 rate of rainwater harvest 指实际收集、回用的雨水量占可收集雨水量的比率。 3 基本规定3.1 评价指标与权重系数设置 3.1 评价指标与权重系数设置3.1.1 绿色办公建筑评价指标及其权重系数应分下列三级: 1 一级指标是节地与室外环境、节能与能源利用、节水与水资源利用、节材与材料资源利用、室内环境质量、运营管理; 2 二级指标是指第一级指标下设的指标; 3 三级指标为标准第4章~第9章条文。 3.1.2 绿色办公建筑评价指标按属性分为建筑环境质量Q指标和建筑环境负荷的减少LR指标。 3.1.3 三级指标分为控制项和可选项两类。控制项不设权重系数。可选项中每级相同属性指标(Q指标或LR指标)的权重系数之和为1;当存在两种得分途径时,每种得分途径的指标权重系数之和为1。各级评价指标权重系数应按本标准附录A的规定确定,三级评价指标分值设置应按本标准附录B的规定确定。 3.1.4 绿色办公建筑评价指标应在设计阶段与运行阶段分别设置权重系数。 条文说明
3.1.1 绿色办公建筑评价指标共分三级:一级指标为第4~9章的标题,包括节地与室外环境、节能与能源利用、节水与水资源利用、节材与材料资源利用、室内环境质量、运营管理,共六部分;二级指标为第4~9章下各节的标题,如一级指标“节地与室外环境”的二级指标为4.1选址、4.2土地利用、4.3室外环境、4.4交通和4.5场地生态;三级指标为标准第4~9章条文的具体要求,如二级指标“4.1选址”的三级指标为第4.1.1条和第4.1.2条。绿色办公建筑评价指标的Q指标和LR指标分布在节地与室外环境、节能与能源利用、节水与水资源利用、节材与材料资源利用、室内环境质量和运营管理六部分。其中,“节地与室外环境”、“节水与水资源利用”和“运营管理”部分既有Q指标,也有LR指标;“节能与能源利用”和“节材与材料资源利用”部分均为LR指标;“室内环境品质”部分均为Q指标。 3.1.2 权重系数与评价指标相对应,同样分为三级。其中,一级指标权重系数反映了节地与室外环境、节能与能源利用、节水与水资源利用、节材与材料资源利用、室内环境质量和运营管理六类一级指标之间的权重关系;二级指标权重系数反映了二级指标之间的权重关系;三级指标权重系数反映了三级指标之间的权重关系。 控制项不设权重系数。可选项中每级相同属性指标(Q指标或LR指标)的权重系数之和为1;但当存在两种得分途径时,每种得分途径的指标权重系数之和为1。如表1所示,一级Q指标1、5、6的权重之和为1。二级LR指标中有两种得分途径,其中1.3和1.4为一种得分途径,其权重之和为1;1.3、1.5和1.6为另一种得分途径,其权重之和也为1。三级Q指标1.1.1、1.1.2和1.1.3的权重之和为1。
3.2 评价方法3.2.1 设计阶段与运行阶段的评价应分别按各自的权重系数进行评分。绿色办公建筑应满足所有控制项的要求,控制项全部达标后,Q指标和LR指标各获得基础分50分。可选项的Q指标和LR指标分别计算得分。当存在两种得分途径时,建设项目可根据自身情况采用其中一种得分途径评分。 3.2.2 评价时应逐级计算指标得分,并应符合下列规定: 2 二级指标得分应按下式进行计算:
3 一级指标得分应按下式进行计算:
4 Q指标和L指标的得分应按下式进行计算:
5 各级计算过程中应保留小数点后两位;项目的Q指标和L指标的得分应保留小数点后一位。 3.2.3 绿色办公建筑等级应根据可选项Q指标和L指标得分在Q—L图中所处的位置确定,得分在A、B、C三个区域内的项目为绿色办公建筑,由高到低划分为A、B、C三个等级,分别对应★★★、★★和★(图3.2.3)。
图3.2.3 绿色办公建筑Q—L分级图 3.2.4 评价综合办公建筑时,建筑的其他功能部分应按相应评价标准进行评价,并以各功能部分中的最低等级作为整个项目的最终等级。 条文说明
3.2.1 本条阐述评价的打分原则。设计阶段评价时参照设计阶段的权重系数进行打分;运行阶段评价时参照运行阶段的权重进行打分。 绿色办公建筑应满足所有控制项的要求,根据可选项的得分确定绿色建筑的等级。 本标准中部分指标有两种得分途径。建设项目可根据自身情况采用其中一种得分途径打分,两种途径不能同时得分。 3.2.2 本条阐述逐级计算指标得分的方法。 三级指标得分计算采用递进式或并列式两种5分制逐条打分(如表2和表3所示)。 二级指标得分计算,以表1为例,如果三级Q指标1.1.1~1.1.2的得分分别为4分和3分,且1.1.3不参评,则二级Q指标1.1的得分为
考虑到现行国家标准《绿色建筑评价标准》GB/T 50378-2006将绿色建筑划分为三个等级,为在现阶段与其评价结果一致,故本标准将绿色办公建筑划分为三个等级。当本标准与国家标准《绿色建筑评价标准》GB/T50378在划分绿色建筑等级上存在差异时,应在保证各级绿色办公建筑指标水平基本一致的基础上,明确绿色建筑等级的对应关系。 此外,为进一步细划绿色办公建筑等级,并考虑到其他行业在等级评定中普遍采取五个等级的划分,近年来诸多专家学者建议将绿色建筑的等级划分调整为五个等级,因此为适应未来发展需要,本标准建议采取以下方式将绿色建筑划分为五个等级:将划分三星级的B区域划分为B+和B-两区域,C区域划分为C+和C-两区域,由高到低依次分为A、B+、B-、C+、C-五个等级,分别对应★★★★★、★★★★、★★★、★★、★,根据Q指标和L指标得分在Q-L图中所处的位置确定绿色等级,见图1。 建设项目也可应用基于上述评价方法开发的《绿色办公建筑参评项目自评软件iCODES》进行评价。
4 节地与室外环境4.1 选址 4.1 选址控制项 4.1.1 建筑选址应符合城乡规划,符合各类保护区的建设要求。 4.1.2 建筑场地应无洪涝灾害、泥石流及含氡土壤的威胁,无危险源及重大污染源的影响。 条文说明
4.1.1 城乡规划包括依法审批的城镇体系规划、城市规划、镇规划、乡规划和村庄规划。各类保护区包括自然保护区、基本农田保护区、历史文化保护区等受到国家法律法规保护的地区,以及风景名胜区、文物古迹周边保护范围等有明确范围及建设要求的地区。本条的评价方法为查看相关城乡规划文件。 4.1.2 本条主要关注建筑场地安全。建筑场地选址必须符合国家相关的安全规定,确保场地无洪涝灾害、泥石流及含氡土壤的威胁,与周边可能存在的各种危险源及重大污染源保持足够的安全距离,或采取其他可靠的安全措施。 场地防洪设计须满足现行国家标准《防洪标准》GB 50201及行业标准《城市防洪工程设计规范》CJJ50的要求。土壤中氡浓度检测及控制措施应满足现行国家标准《民用建筑工程室内环境污染控制规范》GB50325的要求。电磁辐射应满足现行国家标准《电磁辐射防护规定》GB8702和《电磁辐射暴露限值和测量方法》GJB5313的要求。 本条设计阶段的评价方法为审核相关场地选址文件、安全措施的合理性分析及相关检测报告。运行阶段的评价方法为现场审核安全措施的有效性及相关检测报告。 4.2 土地利用可选项 4.2.1 在满足当地城乡规划和室外环境质量的前提下,场地规划宜确定合理的容积率。 4.2.2 建筑场地宜合理选用废弃场地进行建设。 4.2.3 地下空间宜合理开发利用。 4.2.4 场地规划与建筑设计宜提高空间利用效率,提倡建筑空间与设施的共享,设置对外共享的公共开放空间。 条文说明
4.2.1 为促进土地资源的节约和集约利用,提高场地的利用效率,本条鼓励适当提高容积率。针对目前出现的一些土地资源浪费现象,如有些办公建筑的附属广场面积过大,本条提出应避免设计面积过大的广场。容积率计算方法补充说明: 1 用地面积可不计代征绿地和代征道路; 2 规划待建的建筑可计入总建筑面积和用地面积; 3 含办公的综合体可整体计算容积率;也可不计用地内的公寓、旅馆、大型商业、大型餐饮娱乐、大型影剧院等,只计算办公部分相应的用地面积和建筑面积; 4 受文物保护、环保、安全、景观等环境因素影响的区域可不参评,需提供相关证明文件;规划限高在12m以内的项目可不参评。 本条设计阶段的评价方法为根据图纸审核建设项目容积率或此条不参评的说明文件。运行阶段的评价方法为核实建设项目容积率。 4.2.2 城市的废弃地包括不可建设用地(各种原因未能使用或尚不能使用的土地,如盐碱地、裸岩、石砾地、陡坡地、塌陷地、沙荒地、废窑坑等),长期弃置的仓库与工厂等建设用地,选用这些用地是节地的首选措施,但应根据场地及周边地区环境影响评估和全寿命期成本评价,对废弃地采取改造或土壤改良的措施;对原有的工业用地、垃圾填埋场等已被污染的场地,可能存在健康安全隐患,应进行土壤化学污染检测与再利用评估,并提供检测和评估报告;改良或治理后的场地符合国家相关标准的要求方可使用。 本条设计阶段的评价方法为审核相关场址检测报告及改良措施的可行性。运行阶段的评价方法为核实废弃场地利用情况、场地改造措施以及场地改造后是否达到相关标准。 4.2.3 充分开发利用地下空间,是节约土地资源的重要措施之一。地下与地上建筑及城市空间应紧密结合,统一规划。地下空间可以作为车库、机房、公共设施、超市、储藏等空间,应科学协调好与地上空间的关系。人员活动频繁的地下空间应满足空间使用的安全、便利、舒适及健康等方面的要求,做好引导和无障碍设施。人防空间应尽量做好平战结合设计。 地下建筑容积率为地下建筑面积与总用地面积之比,该指标反映了地下空间的开发利用强度。 为地下空间引人天然采光和自然通风,如将地下室设计为可自然采光通风的半地下室,或设置采光井、采光天窗、通风井、窗井、下沉庭院、反光板、散光板、集光导光设备等,能使地下空间更加健康、舒适,并能节约通风和照明能耗,提高地下空间环境品质,有利于地下空间的充分利用。 考虑到地下空间的开发利用与诸多因素有关,因此对于无法利用地下空间的项目应提供相关说明,经过论证确实不适宜建设地下室的项目,例如项目所在地地质条件不好等情况,本条可不参评。 本条设计阶段的评价方法为审核相关地下空间设计文件或此条不参评的说明文件。运行阶段的评价方法为核实设计阶段的各项措施落实情况。 4.2.4 在建筑中设计可共享的休息空间、交往空间、会议设施、健身设施等,可以有效提高空间的利用效率,节约用地,节省建设成本,减少对资源的消耗。 对于建筑中较难使用的空间,宜进行充分利用以提高空间利用效率。如坡屋顶空间可以用作储存空间,也可作为自然通风间层,在夏季遮挡阳光直射并引导通风降温,冬季作为温室加强屋顶保温。 有条件的建筑应开放一些空间供社会公众享用,增加公众的活动与交流空间,使建筑服务于更多人群,提高建筑的利用效率,节约社会资源,节约土地,为人们提供更多沟通和休闲的机会。可利用连廊、架空层、上人屋面等设置公共步行通道、公共活动空间、公共开放空间,并设置完善的无障碍设施,且尽量考虑全天候的使用需求。 建筑中设置过多的交通辅助空间,过于高大的大厅,过高的建筑层高,过大的房间面积,形成一些很难使用或使用效率低的空间等会增加建筑能耗,浪费土地和空间资源。所谓层高过大,通常指标准层层高大于5m;所谓过多的交通辅助空间,通常指走廊过宽;所谓很难使用或使用效率低的空间,通常指有较多锐角空间;所谓过于高大的室内空间通常指大厅面积超过建筑标准层面积,大厅高度大于20m。 本条设计阶段的评价方法为审核建筑设计图纸。运行阶段的评价方法为核实设计落实情况。 4.3 室外环境控制项 4.3.1 建筑场地内不应存在排放超标的污染源。 4.3.2 建筑物不应影响周边建筑及场地的日照要求。 可选项 4.3.3 环境噪声宜符合现行国家标准《声环境质量标准》GB 3096的有关规定。 4.3.4 室外日平均热岛强度不宜高于1.5℃。 4.3.5 建筑物周围人行区距地1.5米高处风速不宜高于5m/s,冬季建筑物前后压差不宜大于5Pa,夏季保证建筑物前后适宜压差,避免出现旋涡和死角。 4.3.6 室外公共活动区域和绿地冬季宜有日照。 4.3.7 建筑不宜对周边建筑物、道路及天空造成光污染。 条文说明
4.3.1 建筑场地存在污染源会影响建筑场地内及周边的环境,影响人们的室内外工作生活。因此根据现场踏勘及规划情况,应考虑建筑场地内的空气质量、水质等各项环境指标。污染源对项目所在区域的影响。建筑场地内不应存在大气污染物或污水排放超标的污染源,包括未达标排放的厨房、车库,超标排放的燃煤锅炉房、垃圾站等。本条设计阶段的评价方法为审核环评报告和设计中应对措施的合理性。运行阶段的评价方法为审核各项污染物排放的检测报告。 4.3.2 新建及改建建筑应避免过多遮挡周边建筑及影响周边场地的日照,以保证其满足日照标准的要求。 本条设计阶段的评价方法为审核日照分析报告。运行阶段的评价方法为现场核查建筑物高度、间距等。 4.3.3 环境噪声是评价建筑室外环境的重要指标,与室内声环境共同保证建筑的整体声环境符合绿色建筑的要求。应对场地周边的噪声现状进行检测,并对工程实施后的环境噪声进行预测,必要时采取有效措施改善环境噪声状况,使之符合现行国家标准《声环境质量标准》GB3096中对于不同声环境功能区噪声标准的规定。当拟建噪声敏感建筑不能避免临近交通干线,或不能远离固定的设备噪声源时,需要采取措施降低噪声干扰。 本条设计阶段的评价方法为审核环境噪声影响评估报告以及现场测试报告,达到评价要求或采取适当的隔离或降噪措施后达到评价要求同样得分。运行阶段的评价方法为审核场地噪声检测报告、现场核查降噪措施。 4.3.4 热岛效应是指一个地区(主要指城市内)的气温高于周边郊区的现象,可以用两个代表性测点的气温差值(城市中某地温度与郊区气象测点温度的差值)即热岛强度表示。“热岛”现象在夏季出现,不仅会使人们高温中暑的几率增大,同时还会形成光化学烟雾污染,增加建筑的空调能耗,给人们的工作生活带来严重的负面影响。 ΔT0采用建筑当地过去20年的夏季平均热岛强度值,规划设计阶段,要求对夏季典型日的室外热岛强度ΔThi进行模拟计算,以夏季典型时刻的郊区气候条件(风向、风速、气温、湿度等)为例,模拟建筑室外1.5m高处的典型时刻的温度分布情况。 除应采用计算机模拟手段优化室外建筑规划设计外,还可采取相应措施改善室外热环境,降低热岛效应。例如:可选择高效美观的绿化形式,包括屋顶绿化、墙壁垂直绿化及水景设置等;营造绿色通风系统,把市外新鲜空气引进市内,以改善小气候;除建筑物、硬路面和林木之外,其他地表尽量为草坪所覆盖;建筑物淡色化以增加热量的反射;控制使用空调设备,提高建筑物隔热材料的质量,以减少人工热量的排放;改善道路的保水性能,用透水性强的新型材料铺设路面,以储存雨水,降低路面温度;建筑物和室外道路的下垫层宜使用热容量较小的材料等措施。 本条设计阶段的评价方法为审核热岛模拟预测分析报告或审核设计中采取相应措施的合理性分析说明文件。运行阶段的评价方法为核对实施情况与设计要求是否相符。 4.3.5 高层建筑的出现使得再生风和二次风环境问题凸现出来。在鳞次栉比的建筑群中,由于建筑单体设计和群体布局不当,有可能导致局部风速过大,行人举步维艰或强风卷刮物体伤人等事故。 夏季、过渡季自然通风对于建筑节能十分重要,通风不畅还会严重地阻碍风的流动,在某些区域形成无风区和涡旋区,不利于室外散热和污染物消散。大型室外场所的夏季室外热环境恶劣,不仅会影响人的舒适程度,当环境的热舒适度超过极限值时,长时间停留还会引发一定比例人群的生理不适直至中暑。 本条设计阶段的评价方法为审核规划设计中的风环境模拟预测报告。运行阶段的评价方法为审核实际情况与设计要求是否相符以及测试报告。 4.3.6 室外公共活动区域(如供人们室外活动的集中铺地和绿地)冬季宜有日照,以保证冬季公共活动区域的舒适性。 本条设计阶段的评价方法为审核日照分析报告。运行阶段的评价方法为现场核查建筑物高度、间距等。 4.3.7 建筑的本体和照明设施应避免对周围环境造成光污染;建筑的布局、体形及外围护结构材料、装饰构件等也应避免引起对周围环境的光污染。 建筑立面如采用镜面式铝合金装饰外墙或玻璃幕墙,当直射日光和天空光照射其上时,会产生反射光及眩光,进而可能造成道路安全隐患,而不合理的夜景照明易造成光侵扰及过亮的天空辉光,应加以避免。 本条设计阶段的评价方法为审核环评报告、光污染分析报告。运行阶段的评价方法为审核相关竣工图纸或文件,并现场核实。 4.4 交通可选项 4.4.1 建筑场地与公共交通宜具有便捷的联系。 4.4.2 建筑场地宜合理设置自行车停放设施及专门的人行道。 4.4.3 机动车停车的数量和设施宜满足最基本的需要,宜采用多种停车方式节约用地。 条文说明
4.4.1 优先发展公共交通是解决城市交通问题的重要对策,办公建筑是人流比较集中的建筑类型,与公共交通的联系尤为重要。为便于办公建筑的使用者选择公共交通工具出行,在选址与场地规划中应重视办公建筑与公共交通站点的有机联系,需设置便捷的通道,如办公建筑外的平台直接通过天桥与公交站点相连,或地下空间与地铁站点直接相连等。本条设计阶段的评价方法为审核相关规划设计图纸。运行阶段的评价方法为现场核查公交站点、距离、人行通道等。 4.4.2 自行车是绿色环保的交通工具,在绿色建筑中对其作出细致周到的考虑,有利于自行车的推广使用。自行车丢失是影响其使用率的主要障碍之一,若通过专人看管或设置具备摄像监控的自行车停车设施,可以减少自行车被盗的可能,让自行车的使用更加安全。 本条设计阶段的评价方法为审核相关设计图纸。运行阶段的评价方法为审核相关竣工图纸,并现场核实。 4.4.3 绿色建筑不鼓励机动车的使用,以减少因交通产生的大气污染、能源消耗和噪声,因此停车位数量符合城市规划规定的下限指标即可,不应盲目增加停车位数量。通过对地面停车比例的控制,以及采取机械停车或建设停车楼等措施,有利于更好地利用空间、节约用地。 考虑到城市停车设施紧张,停车供需矛盾日益突出,为了最大限度地发挥资源的社会效益,鼓励办公建筑机动车停车场在节假日、夜间错时对社会开放。 本条设计阶段的评价方法为审核相关设计图纸。运行阶段的评价方法为审核相关竣工图纸及停车场管理措施,并现场核实。 4.5 场地生态可选项 4.5.1 建筑场地设计与建筑布局宜结合现有地形进行设计,减少对原有地形地貌的破坏。 4.5.2 建筑场地内的表层土宜进行分类收集,采取生态恢复措施,并在施工后充分利用表层土。 4.5.3 场地内的自然河流、水体及湿地宜合理保护。 4.5.4 地表与屋面雨水径流途径宜合理规划,降低地表径流,减少排入市政管道的雨水量。 4.5.5 建筑场地的绿地率宜高于规划设计要求,并合理采用屋顶绿化、垂直绿化等立体绿化方式。 4.5.6 绿化设计中宜选择适宜当地气候和土壤条件的乡土植物,采用包含乔、灌木的复层绿化,且种植区域有足够的覆土深度和良好的排水性。 4.5.7 设有水景的项目,宜结合雨水收集等节水措施合理设计生态水景。 条文说明
4.5.1 设计过程中应充分考虑地形地貌现状,尽可能维持原有场地的地形地貌,减少土石方量。在施工过程中确需改造场地地形、地貌等条件时,应采取生态恢复措施,减少对原有场地环境的改变。本条设计阶段的评价方法为审核相关设计图纸及生态恢复计划。运行阶段的评价方法为审核施工过程中及施工后的生态恢复措施,并现场核实。 4.5.2 表层土主要是指自然形成的土壤表面一定厚度的土层。其中含有丰富的有机质、植物生长需要的矿物质和微量元素,适合植物和微生物生长,有利于生态环境的恢复。表层土需要很长时间的自然演变才能形成,是十分珍贵的资源。因此,对表层土进行分类收集并利用,有利于资源的利用以及环境生态的恢复。需要进行改良的表层土主要包括现状植物生长不良,缺乏营养的表层土。 若原始场地中不存在可利用或者可改良的表层土时,本条不参评。 本条设计阶段的评价方法为审核表层土收集、改良及利用策略等相关图纸或说明文件。运行阶段的评价方法为审核相关竣工图纸或文件,并现场核实。 4.5.3 场地内的自然河流、水体、湿地等不但具有较高的生态价值,而且是传承场地所在区域历史文脉的重要载体,也是该区域重要的景观标志,因此需要对其进行保护。 当原始场地中无水体时,本条不参评。 本条设计阶段的评价方法为审核水体保护策略等相关图纸或说明文件。运行阶段的评价方法为审核相关竣工图纸或文件,并现场核实。 4.5.4 增强地面透水能力,有利于降低城市热岛,调节小气候,增加场地雨水与地下水涵养,减轻排水系统负荷,改善场地排水状况。 室外透水地面包括自然裸露地面、公共绿地、绿化地面和镂空面积大于40%的铺地。 透水性铺装包括透水性硬化路面及铺地,内部构造是由一系列与外部空气相连通的多孔结构形成骨架,同时又能满足交通使用强度和耐久性要求的地面铺装,通常包括透水性沥青铺装、透水性混凝土铺装及透水性地砖等。透水砖物理性能应满足建材行业标准《透水砖》JC/T945的相关要求。 本条采用措施评价与性能评价两种评价方法,两种评价方式不能同时得分。 本条设计阶段的评价方法为审核相关设计图纸及文件。运行阶段的评价方法为审核相关竣工图纸,并现场核实。 4.5.5 绿地率是衡量环境质量的重要标志之一,提高绿地率有助于提高室外环境质量,因此应鼓励在满足规划条件的情况下,适当提高绿地率。 屋顶绿化、垂直绿化有利于增加绿化面积,改善生态环境,因此应鼓励结合办公建筑屋顶、墙面采取屋顶绿化和垂直绿化等绿化方式,尤其是对建筑西、南外墙采取垂直绿化措施,有利于辅助建筑节能。 本条设计阶段的评价方法为审核相关设计图纸。运行阶段的 评价方法为审核相关竣工图纸,并现场核实。 4.5.6 植物的选择应体现地域性特点,宜选择适合当地条件和 小气候特点的乡土植物。 乡土植物包括:在本地自然生长的野生植物种及其衍生品种;归化种(非本地原生,但已逸生)及其衍生品种;驯化种(非本地原生,但在本地正常生长,并且完成其生活史的植物种类)及其衍生品种。 根据生态和景观的需要,合理配置乔木、灌木、草本,形成复层绿化,提升绿地的生态效益。同时种植区域的覆土深度应满足乔、灌木生长的需要。通常深根乔木种植土厚度应大于1.5m;浅根乔木种植土厚度应大于0.9m;大灌木种植土厚度应大于0.6m。 本条设计阶段的评价方法为审核相关园林种植设计图纸及苗木表。运行阶段的评价方法为审核相关竣工图纸,并现场核实。 4.5.7 为了减少水景所消耗的水资源及其他能源,不鼓励在办公建筑周边设置水景,对于没有设置水景的项目,本条不参评。 对于设置水景的项目,在进行水景设计前,需结合当地气候、水资源、给排水工程等客观环境条件,制定水系统规划方案,鼓励结合雨水收集等节水措施采用生态化的手段处理水景,如生态水池、小型湿地等,以达到美化环境、调节小气候、降低城市热岛的作用。 本条设计阶段的评价方法为审核水景相关设计图纸。运行阶段的评价方法为审核相关竣工图纸,并现场核实。 5 节能与能源利用5.1 围护结构热工性能优化 5.1 围护结构热工性能优化控制项 5.1.1 围护结构热工性能指标应符合国家批准或备案的现行公共建筑节能标准的规定。 可选项 5.1.2 围护结构热工性能指标宜高于现行国家或地方节能标准的规定。 5.1.3 外窗或透明幕墙宜采用外遮阳设计。 5.1.4 围护结构非透明部分宜采用因地制宜的保温隔热改善措施。 条文说明
5.1.1 建筑围护结构热工性能指标达到国家和地方节能设计标准的规定,是保证建筑节能的关键,在绿色建筑中更应该严格执行。我国由于地域气候差异较大,经济发展水平也很不平衡,在符合国家建筑节能设计标准的基础上,各地也制定了相应的地方建筑节能设计标准,因此体形系数、窗墙面积比、外围护结构热工性能、屋顶透明部分面积比的规定限值应符合国家和当地要求。本条评价方法为采用现行国家标准《公共建筑节能设计标准》GB 50189中的围护结构热工性能权衡判断法进行评判,不对单个部件进行强制性规定。如果地方公共建筑节能标准的相关条款要求高于国家标准《公共建筑节能设计标准》GB 50189中的节能要求,则应以地方标准对建筑物围护结构热工性能进行评判。 本条设计阶段的评价方法为审核项目的建筑施工图设计说明、图纸、施工图节能审查备案登记表和节能计算书。运行阶段的评价方法为审核项目的建筑竣工图,围护结构热工性能检测报告等。 5.1.2 鼓励绿色建筑的围护结构做得比国家和地方的节能标准更高,降低空调采暖负荷,同时提高非空调采暖季节的室内热环境质量,在设计时应利用计算机软件模拟分析的方法计算其本体节能率。考虑到地域性差异,对于以采暖负荷为主的严寒地区,以及兼顾供冷采暖的寒冷地区、夏热冬冷地区和夏热冬暖地区,应执行不同的评分办法。 围护结构节能率旨在评价设计建筑相比于参照建筑,由于围护结构优化设计(建筑体形、窗墙比、围护结构热工性能等)对于降低空调采暖负荷的贡献率,评价时设计建筑和参照建筑的系统能效完全一致,因此可以折算为节能率。 参照建筑和设计建筑的能耗模拟设定方式,应依照现行国家和地方公共建筑节能设计标准的相关规定。 围护结构节能率计算公式如下:
QENV——设计建筑的采暖、空调负荷需求,kW·h; QENV.ref——参照建筑的采暖、空调负荷需求,kW·h; φENV——围护结构节能率。 本条设计阶段的评价方法为审核设计单位提供的建筑施工图设计说明、围护结构做法详图、施工图节能审查备案登记表以及建筑节能评估报告。运行阶段的评价方法为审核建筑竣工图说明、围护结构做法详图,建设监理单位及相关管理部门提供的检验记录和性能检测报告等。如竣工资料中关于围护结构构件的热工性能指标未能达到设计要求,则需要根据实际值重新计算围护结构节能率,并出具相应的建筑节能评估报告。 5.1.3 建筑外窗对室内热环境和空调负荷影响很大,应通过各种形式的遮阳设计减少主要功能空间的太阳辐射热量。建筑形体设计时,可利用建筑自身的形体变化形成自遮阳;立面设计时,可把普通构件和遮阳构件进行整合,形成与建筑统一协调的遮阳形式;天窗、东西向外窗宜设置活动外遮阳。 夏热冬暖、夏热冬冷地区的办公建筑应在建筑设计中优先考虑自遮阳,并通过软件模拟进行分析优化。当采用外遮阳设施进行阳光入射控制时,应综合比较遮阳效果、天然采光和视觉影响等因素,采用可调节遮阳或固定遮阳。 严寒地区本条不参评。 本条设计阶段的评价方法为审核建筑设计说明、立面图纸、遮阳系统大样图和控制原理图等,以及设计院或第三方提供的建筑遮阳模拟评估报告。运行阶段的评价方法为审核相关建筑竣工图纸,并进行现场核实。 5.1.4 严寒、寒冷地区、夏热冬冷和夏热冬暖地区,分别采取适宜的外墙和屋顶保温隔热措施,如反射隔热涂料、种植屋面等,以改善外墙和屋顶的热工性能。反射隔热涂料的性能,应满足现行行业标准《建筑反射隔热涂料》JG/T 235中关于产品隔热性能的相关规定。 本条的评价方法为根据设计资料和竣工资料分别计算采用因地制宜保温隔热措施的屋面部分面积比例和外墙部分面积比例,并根据项目所在热工分区,判定相应得分。设计阶段评价时审核建筑设计说明、屋面和立面图及构造详图等,以及采用特殊保温隔热处理的外围护结构面积比例计算书。运行阶段评价时审核相关建筑竣工图纸,并进行现场核实。如竣工资料或现场核实结果表明与设计资料不符,则需要根据实际值重新计算本条文得分。 5.2 自然通风与天然采光利用可选项 5.2.1 建筑主朝向宜选择本地区最佳朝向或接近最佳朝向。 条文说明
5.2.1 建筑朝向的选择涉及当地气候条件、地理环境、建筑用地情况等因素,必须全面考虑。建筑总平面设计的原则是冬季能避开主导风向,夏季和过渡季则能利用自然通风。各地区建议的建筑朝向表可参照现行国家标准《公共建筑节能设计标准》GB50189以及地方相关节能标准的相关规定。本条评价方法为判断参评建筑的主朝向是否属于该城市所推荐的最佳、适宜的建筑朝向,并且主要功能房间是否迎向夏季主导风向。设计阶段评价时审核建筑总平面图、设计说明、各层平面图等。运行阶段评价时审核相关建筑竣工图纸,并进行现场核实。 5.2.2 为有效利用自然通风,使室内达到良好的热舒适性并减少空调运行时间,主要功能房间,如办公室、会议室、报告厅、餐厅等,应具备一定的通风开口面积比。在通风开口面积比无法达到要求的情况下,可采用多种补偿措施改善自然通风效果,也可采用室内气流模拟设计的方法综合比较不同建筑设计及构造设计方案,确定最优的自然通风系统方案。例如,可采用导风墙、捕风窗、拔风井、太阳能拔风道等诱导气流的措施,并对设有中庭的建筑在适宜季节利用烟囱效应引导热压通风。对于地下空间,通过设计可直接通风的半地下室,或在地下室局部设置下沉式庭院改善自然通风效果。 本条的得分由基础分和附加分两部分构成,基础分满分3分,附加分2分,共计满分5分。基础分要求夏热冬暖、温和、夏热冬冷、寒冷地区办公建筑主要功能房间的通风开口面积比不应小于3%,严寒地区则不应小于2%,根据气候区的差异设置不同的得分方式。附加分要求对于建筑采用了导风墙、捕风窗、拔风井、太阳能拔风道等诱导气流的措施,或设计可直接通风的半地下室和下沉式庭院,或采用室内气流模拟设计的方法综合比较不同建筑设计及构造设计方案,确定最优的自然通风系统方案,在此情况下可在本条基础得分的基础上增加2分。 本条设计阶段的评价方法为审核建筑设计说明、立面图纸、门窗表及大样图、通风开口面积与地上部分建筑面积比例计算书,以及设计院或第三方提供的建筑自然通风模拟报告。运行阶段的评价方法为审核相关建筑竣工图纸以及相应的通风开口面积与地上部分建筑面积比例计算书,并进行现场核实。 5.2.3 国家标准《建筑采光设计标准》GB/T 50033对不同功能空间的采光系数作出了规定,本条根据项目主要功能空间的采光系数达标面积比例进行评价。 建筑可通过合理的采光设计及各种被动和主动式的采光技术措施改善天然采光效果,并通过采用模拟软件进行定量分析,提交计算报告,但报告中应明确主要计算参数。 本条的评价方法为计算建筑室内主要功能区域(包括地下层主要功能房间)的采光系数达标面积比例,判定相应得分。采光系数达标面积比例可按下式计算:
F——采光系数达标面积,㎡; Fall——被评建筑室内主要功能空间总面积,㎡。 本条设计阶段的评价方法为审核建筑平立面立面图纸、门窗表,以及说明天然采光设计的相关图纸和资料,并查阅设计院或第三方提供的建筑天然采光模拟报告。运行阶段的评价方法为审核相关建筑竣工图纸,并进行现场核实。 5.3 采暖、通风和空气调节系统控制项 5.3.1 空气调节与采暖系统的冷热源设计应符合现行国家和地方公共建筑节能标准及相关节能设计标准中强制性条文的规定。 可选项 5.3.2 采暖、通风和空气调节系统宜合理选择系统形式,提高设备及系统效率,优化控制策略,降低系统能耗。 5.3.3 空气调节与采暖系统的冷热源机组能效比宜高于现行国家标准《公共建筑节能设计标准》GB 50189及相关标准的有关规定。 5.3.4 采暖、通风和空气调节系统的输配系统效率宜高于现行国家标准《公共建筑节能设计标准》GB 50189的有关规定。 5.3.5 建筑物处于部分冷热负荷时和仅部分空间使用时,宜采取有效措施节约采暖、通风和空气调节系统能耗。 条文说明
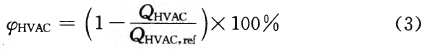
5.3.1 冷热源的能耗是办公建筑空调系统能耗的主体,冷热源机组能效比对节能至关重要。同时,高品位的电能直接转换为低品位的热能进行采暖或空调,热效率低,运行费用高,属于“高质低用”的能源转换利用方式,应避免采用。本条重点考查建筑的冷热源形式、冷源的性能系数和锅炉的热效率,均应满足国家和地方公共建筑节能标准及相关节能标准的要求。空气调节与采暖系统的冷热源设计应符合现行国家标准《公共建筑节能设计标准》GB 50189第5.4.2、5.4.3、5.4.5、5.4.8及5.4.9条对冷热源机组能效比的规定。此外冷热源机组的能效比还应符合现行国家标准《冷水机组能效限定值及能源效率等级》GB19577、《单元式空气调节机能效限定值及能源效率等级》GB 19576、《多联式空调(热泵)机组能效限定值及能源效率等级》GB 21454等相关节能标准的规定。 本条设计阶段的评价方法为审核暖通施工图设计说明、系统图、设备清单。运行阶段的评价方法为审核暖通竣工图、相关设备的型式检验报告或证明符合能效要求的检测报告,以及建设监理单位的进场验收记录。 5.3.2 本条对设计建筑采暖、通风和空气调节系统节能率进行评价,旨在鼓励通过选用高效节能设备,优化空调采暖系统,提高系统用能效率,提高节能效果。 本条以建筑采暖空调系统节能率φHVAC为评价指标,按下式计算:
QHVAC——被评建筑设计空调采暖系统全年能耗,GJ; QHVAC,ref——被评建筑参照空调采暖系统全年能耗,GJ。 参照系统优先选用风机盘管加新风系统,对于不宜采用风机盘管的空间,选用全空气定风量系统。确定参考系统时,应综合考虑建筑内外分区、高大空间气流组织设计等方面因素。参照系统的设计新风量、冷热源、输配系统设备能效比等均应严格按照节能标准选取,不应盲目提高新风量设计标准,不考虑风机、水泵变频、新风热回收、冷却塔免费供冷等节能措施。 对于集中式空调采暖系统,计算采暖、通风和空气调节系统能耗时,应考虑部分负荷下的设备效率。计算采暖、通风与空气调节系统能耗时,除冷热源能耗外,还应计入输配系统、末端等的能耗。如,采用水冷式制冷机组作为冷源的系统,应计入冷却侧的水泵和风机的能耗,即冷却泵及冷却塔风机电耗;水源热泵、土壤源热泵系统应同时计算地下水取水及回灌用水泵电耗;利用电热的末端再热或加湿装置的电耗应计入此项;利用冷却塔自由冷却的风机电耗应计入此项;水环路热泵系统各热泵分别计算并累加后统一计算。 对于有多种能源形式的采暖、通风和空气调节系统,其能耗应折算为一次能源进行计算。 本条设计阶段的评价方法为审核暖通设计说明和相关图纸,以及设计院或第三方提供的采暖、通风和空气调节系统节能率计算书。运行阶段的评价方法为审核相关建筑竣工图纸,采暖、通风和空气调节系统运行能耗记录,并进行现场核实。 当建筑主要空间设计新风量高于现行国家标准《公共建筑节能设计标准》GB 50189中表3.0.2的相关规定时,本条必须参评,第5.3.3条和第5.3.4条不参评。 5.3.3 在公共建筑节能标准要求的基础上,通过提升冷热源机组的性能系数,进一步挖掘办公建筑中的节能潜力。《公共建筑节能设计标准》GB 50189第5.4.2、5.4.3、5.4.5、5.4.8及5.4.9条对冷热源形式和机组的性能已有明确规定要求。此外,冷热源机组性能还应符合需满足《冷水机组能效限定值及能源效率等级》GB19577、《单元式空气调节机能效限定值及能源效率等级》GB19576、《多联式空调(热泵)机组能效限定值及能源效率等级》GB21454等相关节能标准的规定要求。 根据选用的冷热源性能比等级,计算提升百分比。本条以冷热源能效比提升比例φCOP为评价指标,可按下式进行计算:
COP——被评建筑实际空调采暖系统冷热源能效比; COPref——被评建筑参照空调采暖系统冷热源能效比。 当采用多种冷热源形式时,应按照承担负荷比例,折算到一次能源进行计算。 本条设计阶段的评价方法为审核项目的暖通施工图设计说明、系统图、设备清单。运行阶段的评价方法为审核暖通竣工图,相关设备的型式检验报告或证明符合能效要求的检测报告。 当建筑主要空间设计新风量高于现行国家标准《公共建筑节能设计标准》GB50189中表3.0.2和《采暖通风与空气调节设计规范》GB50019的相关规定时,本条不参评,但第5.3.2条必须参评。 5.3.4 办公建筑,尤其是高层和超高层办公建筑中,采暖空调的输配系统能耗在建筑总能耗中占有相当大的比例,因此必须严格根据现行国家标准《公共建筑节能设计标准》GB 50189的相关规定进行设备性能控制。 采暖系统耗电输热比、通风空调系统风机的单位风量耗功率和冷热水系统的输送能效比应符合现行国家标准《公共建筑节能设计标准》GB50189第5.3.26、5.3.27条的相关规定。 本条以耗电输热比(EHR)、单位风量耗功率(Ws)和输送能效比(ER)为评价指标。若采用多套输配系统,则按照各系统全年能耗,按照比例折算到一次能源进行计算。本条最终得分根据各指标得分及各系统输送能量比例确定。 本条设计阶段的评价方法为审核暖通施工图设计说明、设备清单(说明风机的单位风量耗功率和冷热水系统的输送能效比)。运行阶段的评价方法为审核暖通竣工图、第三方检测机构提供的耗电输热比、单位风量耗功率和输送能效比的测试报告等。 当建筑主要空间设计新风量高于现行国家标准《公共建筑节能设计标准》GB50189中表3.0.2的相关规定时,本条不参评,但第5.3.2条必须参评。 5.3.5 针对部分负荷、部分空间使用的情况,如何采取有效的措施节约能源,显得至关重要。系统设计中应考虑采取合理措施提高系统在部分冷热负荷时和部分空间使用时的系统效率,如合理的系统分区、提高机组IPLV、变总风量、变新风量、变水量等节能措施,保证在建筑物处于部分冷热负荷时和仅部分空间使用时,能根据实际需要提供恰当的能源供给,同时不降低能源转换效率,并能够指导系统在实际运行中实现节能高效运行。 本条设计阶段的评价方法为审核暖通施工图设计说明、系统图和空调平面图。运行阶段的评价方法为审核暖通竣工图,物业及技术支持单位提供的系统运行记录。
5.4 照明系统控制项 5.4.1 各房间或场所照明功率密度值不应高于现行国家标准《建筑照明设计标准》GB 50034有关强制性条文的规定。 可选项 5.4.2 照明灯具及其附属装置宜合理采用高效光源、高效灯具和低损耗的灯用附件,降低建筑照明能耗。 5.4.3 照明系统宜合理设计控制方式,降低建筑照明能耗。 条文说明
5.4.1 本条的目的是有效控制照明功率密度,降低运行中的照明能耗。参照现行国家标准《建筑照明设计标准》GB 50034第6.1.2~6.1.4条的相关规定,采用房间或场所一般照明的照明功率密度(LPD)作为照明节能的评价指标,要求公共场所和部位照明设计功率密度值不高于现行值要求。 本条设计阶段的评价方法为审核照明施工图设计说明、各层照明平面图。运行阶段的评价方法为审核照明竣工图设计说明、各层照明平面图,照明产品型式检验报告,第三方检测机构提供的照明功率密度检测报告。 5.4.2 照明能耗在办公建筑运行能耗中占有相当大的比例,在设计阶段严格采取措施降低照明能耗,对控制建筑的整体能耗具有重要意义。 本条采用照明系统用能效率(LEE)进行评价。照明系统用能效率是指在满足同样的照度要求下,各功能区域的照明功率密度(LPD)均满足节能要求时整幢建筑的照明总功率与设计方案实际照明系统总功率的比值,可按下式进行计算:
E'l——各功能区域的照明功率密度均满足节能要求时整幢建筑照明系统总功率,kW; El——实际照明系统,整幢建筑的照明系统总功率,kW。 本条设计阶段的评价方法为审核照明施工图设计说明、各层照明平面图,照明系统用能效率设计计算书。运行阶段的评价方法为审核照明竣工图、照明产品型式检验报告、第三方检测机构提供的照明功率密度检测报告、运行阶段照明系统用能效率计算书。 5.4.3 除在保证照明质量的前提下尽量减小照明功率密度(LPD)外,采用合理的照明控制系统也能够有效地降低照明能耗,如:随室外天然光的变化自动调节人工照明照度;采用人体感应或动静感应等方式自动开关灯;门厅、电梯厅、大堂和走廊等场所采用夜间定时降低照度的自动调光装置;中大型建筑按具体条件采用集中或集散的、多功能或单一功能的照明自动控制系统等。 本条采用照明自控面积比例φBAS,L进行评价,可按下式进行计算:
对于小型建筑,合理设计照明回路,采用就地控制方式可得3分。 本条设计阶段的评价方法为审核照明施工图设计说明、照明自控系统图纸。运行阶段的评价方法为审核照明竣工图设计说明、照明自控系统竣工图。 5.5 其他用能系统可选项 5.5.1 电梯系统宜合理选用高效节能电梯和合理的控制方法,以降低建筑电梯运行能耗。 5.5.2 给排水输配系统宜选用高效节能设备,并合理设计给排水系统,降低给排水系统输配能耗。 5.5.3 生活热水系统宜采用高效能源利用系统,降低生活热水能耗。 5.5.4 输配电和变配电系统宜合理选用高效节能设备和合理的控制方法,降低建筑输配电和变配电系统损耗。 条文说明
5.5.1 在办公建筑中,尤其随着高层超高层写字楼的兴起,电梯能耗也在快速增加,通过选用高效节能电梯和合理的控制方法,可降低高层、超高层建筑中的电梯运行能耗。本条设计阶段的评价方法为审核建筑施工设计说明、电气智能化设计说明、设备控制系统图。运行阶段的评价方法为审核建筑设计竣工图、电气智能化竣工图,电梯设备的型式检验报告、物业提供的运行记录。 5.5.2 给排水系统能耗在办公建筑,尤其是高层、超高层建筑能耗中,是一个不可忽略的环节。本条文要求建筑的给水系统根据市政、气候条件及建筑用水特点进行优化设计,合理采用各类节能措施,提高供水系统节能率。如:变频供水、叠压供水(利用市政余压)系统等;高层建筑给水系统分区合理;供水系统采用高效设备等。 本条设计阶段的评价方法为审核给排水施工图设计说明、设备材料表等。运行阶段的评价方法为审核给排水竣工图,给排水设备产品型式检验报告。 5.5.3 办公建筑中生活热水的能耗也占较大比例,尤其分布式电热水器往往处于长时间开启状态。因此,鼓励采用高效的能源利用系统提供生活热水,选用满足国家标准《储水式电热水器能效限定值及能效等级》GB 21519等相关标准的节能产品,提高管道、热水贮水槽的保温性能,对热水供应设备采用合理的控制方法,如控制出水温度等,从而降低办公建筑中的生活热水能耗。 本条设计阶段的评价方法为审核给排水施工图设计说明、系统图、生活热水系统设计方案。运行阶段的评价方法为审核给排水竣工图、生活热水设备的型式检验报告等。 5.5.4 合理选用高效节能设备及合理的控制方法,有利于降低建筑输配电和变配电系统损耗。例如,采用必要的补偿方式提高系统的功率因数,并对谐波采取预防和治理措施;合理地计算、选择变压器容量,并选择低损耗、低噪声的节能高效变压器等,均可以达到提高电能质量和节能的目的。 本条设计阶段的评价方法为审核电气专业施工图。运行阶段的评价方法为审核电气专业竣工图及物业提供的运行记录。 5.6 可再生能源利用
可选项 5.6.1 可再生能源宜根据当地气候和自然资源条件合理利用。 条文说明
5.6.1 《中华人民共和国可再生能源法》中指出,可再生能源,是指风能、太阳能、水能、生物质能、地热能、海洋能等非化石能源。鼓励在技术经济分析合理的前提下,选用高效设备系统,采用可再生能源替代部分常规能源使用。 对于采用太阳能光伏发电技术的项目,根据等效太阳能光电板面积占建筑基底面积的比例φA进行评价,并且要求选用设备的实际运行效率不低于市场主流产品的平均水平。φA可按下式计算:
φA——等效太阳能光电板面积占建筑基底面积的比例; E——太阳能光伏发电系统年发电量,MWh; e——按照水平面上最佳铺设方式的太阳能光电板单位面积年发电量,MWh/㎡; A——建筑基底面积,㎡。 对于采用地源热泵技术的项目,根据其承担的负荷比例φB进行评价,并且要求系统(含热泵机组和输配系统)实际运行的一次能源效率高于国家节能标准的燃气锅炉与水冷式离心机组系统。 对于采用其他可再生能源技术的项目,利用建筑总能耗可再生能源替代率φREN进行评价,替代率的计算考虑了可再生能源系统必需的能源消耗,可按下式进行计算:
前述评价中已得分的措施,在本条评价中不再重复得分。 对于采用多种可再生能源利用方式的项目,根据其利用情况分别进行打分,得分之和为本条得分,但最高不超过5分。 本条设计阶段的评价方法为审核可再生能源系统设计说明及图纸、可再生能源利用比例计算书等。运行阶段的评价方法为审核可再生能源系统竣工图纸、主要产品型式检验报告、运行记录以及第三方检测报告等。 5.7 用能设备计量、监测与控制可选项 5.7.1 能耗计量与用能设备监控系统宜进行合理设置。 条文说明
5.7.1 公共建筑的能源消耗情况较复杂,以空调系统为例,其组成包括冷水机组、冷冻水泵、冷却水泵、冷却塔、空调箱、风机盘管等多个环节。对新建或重大改建的办公建筑,要求在系统设计时必须考虑,按照国家和地方能耗监测系统建设相关规范的要求,使建筑内各能耗子项如冷热源、输配系统、照明、办公设备和热水能耗等都能实现独立分项计量,有助于分析公共建筑各项能耗水平和能耗结构是否合理,发现问题并提出改进措施,从而有效地实施建筑节能。用能设备监控系统应对建筑内各类用能设备系统进行全面、有效的监控和管理,使各系统设备始终处于有条不紊、协同一致和高效、有序的状态下运行,尽量节省能耗和日常管理的各项费用。如采暖、通风和空气调节系统,应对冷热源、风机、水泵、冷却塔等设备进行有效监测,对关键数据进行实时采集并记录,对上述设备系统按照设计要求进行可靠的自动化控制。 本条设计阶段的评价方法为审核建筑能耗分项计量系统图、各用能系统施工图纸、配电系统图、智能化系统施工图等。运行阶段的评价方法为审核建筑能耗分项计量系统竣工图纸、各用能系统竣工图纸、配电系统图、智能化系统竣工图,物业及技术支持单位提供的分项计量运行记录,以及用能监控系统运行记录等。 6 节水与水资源利用6.1 水系统 6.1 水系统控制项 6.1.1 方案规划阶段应制定水资源规划方案,统筹、综合利用各种水资源。 条文说明
6.1.1 在进行绿色建筑设计前,应充分了解项目所在区域的市政给排水条件、水资源状况、气候特点等客观情况,通过全面的分析研究,制定水资源规划方案,提高水资源循环利用率,减少市政供水量和污水排放量。水资源规划方案应包含下列内容:1 根据当地政府规定的节水要求、地区水资源状况、气象资料、地质条件及市政设施情况等,选择可利用的水资源。 2 当项目除办公建筑之外还有其他性质建筑,如商场、餐饮、会展、旅馆等建筑时,可统筹考虑项目内水资源的情况,确定综合利用方案。 3 确定用水定额、编制用水量估算(水量计算表)及水量平衡表。办公建筑用水定额的确定应符合现行国家标准《民用建筑节水设计标准》GB50555的规定。 4 采用雨水和建筑中水作为景观用水补水时,水景规模应根据设计可收集利用的雨水或中水量来确定,需要进行水量平衡分析计算,进而确定适宜的水景规模。 6.1.2 给排水系统设置及热水系统选择应符合下列要求: 1 建筑给排水系统的规划设计应符合国家标准规范的相关规定。 2 给水水压稳定、可靠,优先采用高效节能的给水系统。高层建筑生活给水系统合理分区,低区充分利用市政压力。合理采用减压限流的节水措施。 3 根据用水要求的不同,给水水质应达到国家、地方或行业规定的相应标准。 4 管材、管道附件及设备等供水设施的选取和运行不应对供水造成二次污染。有直饮水时,直饮水应采用独立的循环管网供水,并设置安全报警装置。 5 各给水系统应保证以足够的水量和水压向所有用户不间断地供应符合卫生要求的用水。 6 应设有完善的污水排放设施,利用中水但无市政中水的建筑还需设有完善的污水收集和处理设施。 7 对已有雨水排水系统的城市,室外排水系统应实行雨污分流,避免雨污混流。雨污水收集、处理及排放系统不应对周围人群和环境产生负面影响。 8 为避免办公服务用房内的重要物资和设备受潮引起的损失,在设计中应采取措施避免管道、阀门和设备的漏水或结露。 9 选择热水供应系统时,热水用水量较小且用水点分散时,宜采用局部热水供应系统;热水用水量较大、用水点比较集中时,应采用集中热水供应系统,并应设置完善的热水循环系统,保证用水点开启后10秒钟内热水出水温度达到45℃。由于办公热水用水时间短,采用局部加热有利于节能和计量;酒店式办公用水有一定持续性,采用集中热水系统可节约一次性投资;公寓式办公应根据具体情况采用局部或集中热水系统。 10 设集中生活热水系统时,应确保冷热水系统压力平衡,或设置混水器、恒温阀、压差控制装置等。 本条评价方法为审核施工图纸、设计说明并进行现场核实。 6.2 节水措施可选项 6.2.1 管网漏损宜采取有效措施避免。 条文说明
6.2.1 管网漏失水量包括:管网阀门漏水量、室内卫生器具漏水量、屋顶水箱漏水量和漏计量水量等。避免管网漏损的有效措施包括:1 给水系统的设计、施工和验收应符合现行国家和行业的相关标准,避免供水压力持续高压或压力骤变。 2 使用的管材、管件、阀门等应符合现行国家标准及产品行业标准的要求。选用密闭性能好的阀门、设备,使用耐腐蚀、耐久性能好的管材、管件;热水系统所使用的管材、管件的设计温度不低于80℃;管材与管件连接的密封材料卫生、严密、防腐、耐压、耐久。 3 合理设置检修阀门位置及数量,降低检修时泄水量。 4 水池、水箱溢流报警和进水阀门自动联动关闭。 5 做好室外管道基础处理和覆土,控制管道埋深,加强管道工程施工监督。 6 根据水平衡测试标准的要求安装分级计量水表,计量水表安装率达100%。 本条设计阶段的评价方法为查阅相关防止管网漏损措施的设计文件等。运行阶段的评价方法为现场查阅用水量计量情况报告、水量平衡测试报告,报告包括建筑内用水计量实测记录、管道漏损率和原因分析。 6.2.2 超压出流是指卫生器具流量大于额定流量的现象。超压出流量并不产生正常的使用效益,是浪费的水量。由于这部分水量是在使用过程中流失的,不易被人们察觉和认识,属“隐形”水量浪费。 建筑给水系统超压出流的现象是普遍存在而且比较严重的。建筑给水系统超压出流的防治对策应从给水系统的设计、合理进行压力分区、采取减压措施等多方面采取对策。如合理进行压力分区,每区供水压力不大于0.45MPa;采用减压限流措施,用水点处供水压力不大于0.20MPa;采用自带减压装置的用水器具等。设3档进行评分。 本条设计阶段的评价方法为审核施工图纸、设计说明书,采用自带减压装置的用水器具时,在设计文件中要注明用水器具自带减压装置的相应参数。运行阶段的评价方法为查阅竣工图纸、设计说明书、产品说明并进行现场核查。 6.2.3 按照使用用途、分区域(分户、缴费单元)和水平衡测试要求设置水表。 对不同使用用途和不同计费单位分区域、分用途设水表统计用水量,并据此施行计量收费,以实现“用者付费”,达到鼓励行为节水的目的,同时还可统计各种用途的用水量和分析渗漏水量,达到持续改进的目的。 为保证计量收费、水量平衡测试以及合理用水分析工作的正常开展,至少在以下位置应安装水表: 1 给水系统总引入管(市政接口)。 2 每栋建筑的引入管。 3 高层建筑的如下位置: 1)直接从外网供水的低区引入管; 2)高区二次供水的水池前引入管; 3)对于二次供水方式为水池一水泵一水箱的高层建筑,有条件时,可在水箱出水管上设置水表,以防止水箱进水浮球阀和水位报警失灵,溢流造成水的浪费。 4 冷却塔补充水管。 5 公共建筑内需单独计量收费的支管起端。 6 满足水量平衡测试及合理用水分析要求的管道其他部位。 本条的评价方法为查阅施工图纸并现场核实。 6.2.4 绿色建筑鼓励选用高节水性能的节水器具,目前我国已对部分用水器具的用水效率制定了相关标准,如:现行国家标准《水嘴用水效率限定值及用水效率等级》GB 25501和《坐便器用水效率限定值及用水效率等级》GB25502,今后还将陆续出台其他用水器具的标准。 现行国家标准《水嘴用水效率限定值及用水效率等级》GB25501规定了水嘴用水效率等级,在(0.10±0.01)MPa动压下,依据表4的水嘴流量(带附件)判定水嘴的用水效率等级。水嘴的节水评价值为用水效率等级的2级。
现行国家标准《坐便器用水效率限定值及用水效率等级》GB25502规定了坐便器用水效率等级(见表5),坐便器的节水评价值为用水效率等级的2级。
用水效率等级达到节水评价值的卫生器具具有更优的节水性能,因此按达到的用水效率等级分档评分。今后其他用水器具如出台了相应标准,也按同样的原则进行要求。 本条设计阶段的评价方法为查阅施工图纸、设计说明书,在设计文件中要注明对卫生器具的节水要求和相应的参数。运行阶段的评价方法为查阅竣工图纸、设计说明书、产品说明并进行现场核查。 6.2.5 用水设备的节水性能应满足现行国家、行业、企业相关标准的要求。 绿化灌溉采用喷灌、微灌、滴灌等节水灌溉方式具有显著的节水效果。传统的浇灌多采用直接浇灌(漫灌)方式,不但会浪费大量的水,还会出现跑水现象,使水流到人行道、街道或车行道上,影响周边环境。传统灌溉过程中的水量浪费还可能由以下四个方面导致: 1 由于高水压导致的雾化。其解决方法是保持稳定的最佳水压,进而防止高压导致的雾化和蒸发,每降低0.035MPa,即可节水6%~8%。 2 由于土壤密实、坡度和过量灌溉所导致的径流损失。其解决方法是对植物根部区域或周围提供精准的灌水量,以达到最高效率,通过直接对根系供给水分,使水的利用率更高。 3 由于天气和季节变化导致的过量灌溉。其解决方法是采用自动监测关闭系统和降雨延迟控制。 4 由于不同植物种类和环境条件所导致的过量灌溉。其解决方法是采用多个并行独立系统分区灌溉,或采用植物根部直接灌溉。 采用节水灌溉方式和设备,如喷灌、滴灌以及干旱地区使用的更加高效的微灌,都是行之有效的高效节水灌溉技术。 目前普遍采用的绿化节水灌溉方式喷灌,比地面漫灌要省水30%~50%。喷灌要在风力小时进行。当采用再生水灌溉时,因水中微生物在空气中极易传播,应避免采用喷灌方式。 微灌包括滴灌、微喷灌、涌流灌和地下渗灌,它是通过低压管道和滴头或其他灌水器,以持续、均匀和受控的方式向植物根系输送所需水分,比地面漫灌省水50%~70%,比喷灌省水15%~20%。微灌的灌水器孔径很小,易堵塞。微灌的用水一般都应进行净化处理,先经过沉淀除去大颗粒泥沙,再进行过滤,除去细小颗粒的杂质等,特殊情况还需进行化学处理。 绿化不需要灌溉或仅在种植初期需要临时灌溉的项目(如采用耐旱植物或本地植物作为绿化植物的项目),节水灌溉项可不参评,但采用临时灌溉的项目必须在竣工一年后拆除临时灌溉设施。 本条的评价方法为查阅施工图纸、设计说明书、产品说明并进行现场核查。 6.2.6 冷却水系统宜采用循环冷却塔、闭式冷却塔等节水型冷却塔设备或其他冷却水节水措施。 1 采用循环冷却塔。 2 采用冷却水节水措施。开式循环冷却水系统设置水处理措施和(或)加药措施,以减少排污的水量损失;采取加大积水盘、设置平衡管或平衡水箱的方式,避免冷却水泵停泵时冷却水溢出。 3 采用闭式冷却塔。 本条设计阶段的评价方法为查阅施工图纸、设计说明书、产品说明及现场核查。运行阶段的评价方法为查冷却水补水的用水计量表。
6.3 非传统水源利用控制项 6.3.1 使用非传统水源时,应采取用水安全保障措施,不应对人体健康与周围环境产生不良影响。 6.3.2 景观用水不应采用市政供水和自备地下水井供水。 6.3.3 项目周边有市政再生水利用条件时,非传统水源利用率不宜低于40%;项目周边无市政再生水利用条件时,非传统水源利用率不宜低于15%。 6.3.4 项目周边有市政再生水利用条件时,再生水利用率不宜低于30%;项目周边无市政再生水利用条件时,再生水利用率不宜低于10%。 6.3.5 雨水回用率不宜低于40%。 条文说明
6.3.1 用水安全保障措施评价范围包括:水质安全保障、水量安全保障、卫生安全保障;在处理、储存、输配等环节中必须采取安全防护和监(检)测控制措施。应符合下列要求:1 非传统水源水质应符合现行国家相关标准要求,应按使用用途要求达到相应的水质标准,采用中水用于冲厕、道路清扫、绿化灌溉、车辆冲洗等杂用时,其水质应符合现行国家标准《城市污水再生利用 城市杂用水水质标准》GB/T 18920的规定;用于景观环境用水时,其水质应符合现行国家标准《城市污水再生利用 景观环境用水水质标准》GB/T18921的规定。利用雨水时,如用于上述用途,应符合现行国家标准《建筑与小区雨水利用工程技术规范》GB50400的规定。根据使用用途考虑消毒、杀菌措施。 2 雨水或再生水等非传统水源在储存、输配等过程中应有足够的消毒杀菌能力,保证水质不会被污染,水质应符合国家或地方相应标准的规定。 3 雨水或再生水等非传统水源在处理、储存、输配等过程中应符合现行国家标准《污水再生利用工程设计规范》GB 50335、《建筑中水设计规范》GB50336及《建筑与小区雨水利用工程技术规范》GB50400等的相关要求。 4 雨水或再生水等非传统水源的供水管道及各种设备应有明显的永久性标识,给水栓口、取水口应设带锁装置,以保证与生活用水管道严格区分,防止误接、误用。 5 供水系统根据需要设有备用水源、溢流装置及相关切换设施等,以保障水量安全。 6 当采用自来水补水时,应采取防污染措施。 7 景观水体采用雨水或再生水时,在水景规划及设计阶段应将水景设计和水质安全保障措施结合起来考虑。 本条设计阶段的评价方法为查阅设计图纸、说明书。运行阶段的评价方法为现场核查并查阅全年运行数据报告,包括年用水量、水质检测记录和报告。 6.3.2 景观用水不应采用市政供水和自备地下水井供水,并应同时满足下列要求: 1 景观用水只能采用雨水、建筑中水、市政再生水等非传统水源。 2 根据所在地区水资源状况、地形地貌及气候特点,合理规划水景面积比例,水景的补水量应与回收利用的雨水、建筑中水水量达到平衡。 3 当采用雨水和建筑中水作为景观用水补水时,水景规模应根据设计可收集利用的雨水或中水量来确定,需要进行水量平衡分析计算,即研究水景的补水量(蒸发量、漏损水量等)与水景面积的关系,进而确定合适的水景规模。 4 水景的年损耗水量必须与非传统水源年供应量相平衡,一年中的各月间允许水景水位高度在常水位上下能够接受的范围内波动。 5 采取景观用水水质保障措施,设置循环水处理设施,景观用水循环使用。 本条设计阶段的评价方法为查阅竣工图纸、设计说明书。运行阶段的评价方法为现场核查,查阅用水量报告和系统运行报告。 6.3.3 普通办公建筑用水类型单一,对于不设集中空调的办公建筑,其用水主要为冲厕(60%~66%)和盥洗(40%~34%),冲厕用水比例较高。 对于包含商业、餐饮、旅馆、办公的综合性建筑,办公区域和附属办公服务区域应按办公建筑参评,其他区域应按相应建筑类型参评。可按用水量的权重(生活用水量部分)和面积的权重(绿化灌溉、道路浇洒、管网漏损和未预见水量部分)调整计算非传统水源利用率的要求。 非传统水源利用率按下式计算:
Ru——非传统水源利用率,%; Wu——非传统水源设计使用量(规划设计阶段)或实际使用量(运行阶段),m³/a; WR——再生水设计利用量(设计阶段)或实际利用量(运行阶段),m³/a; Wr——雨水设计利用量(设计阶段)或实际利用量(运行阶段),m³/a; Ws——海水设计利用量(设计阶段)或实际利用量(运行阶段),m³/a; Wo——其他非传统水源利用量(设计阶段)或实际利用量(运行阶段),m³/a; Wt——设计用水总量(设计阶段)或实际用水总量(运行阶段),m³/a。 按年用水量计算,设计取值应符合现行国家标准《民用建筑节水设计标准》GB50555的规定。 本条设计阶段的评价方法为查阅设计说明书和非传统水源利用报告等。运行阶段的评价方法为查阅全年运行数据报告(年用水量记录报告)等。 当项目所在地区年降雨量低于400mm、周边无市政再生水利用条件,且项目建筑面积小于5万㎡或可回用水量小于100m³/d时(如地方标准中有更高要求,应按地方标准实施),本条可不参评。 6.3.4 在规划设计阶段应考虑利用周边市政再生水的可行性,再生水可代替市政自来水用作室内冲厕用水以及室外绿化、景观、道路浇洒、洗车等非饮用用水。再生水包括市政再生水(以城市污水处理厂出水或城市污水为水源)、建筑中水(以建筑生活排水、杂排水、优质杂排水为水源)。 再生水水源的选择应结合项目的用水情况、周边建筑用水状况、城市中水设施建设管理办法、水量平衡等,从经济、技术和水源水质、水量稳定性等各方面综合考虑。项目周边有市政再生水利用条件时,应优先利用市政再生水。 公寓式办公建筑和酒店式办公建筑废水量较大,自建中水设施在经济上较合理。常规办公建筑废水量较小,投资自建中水设施所带来的节水效益可能不明显,只有当建筑面积大于5万㎡且可回用水量(包括项目范围周边其他可利用的再生水水源,见下段)大于100m³/d时,才考虑设置中水处理设施。 当项目除办公建筑之外还有其他性质建筑(如旅馆、洗浴健身等)功能时,可统筹考虑回收、处理此类建筑的优质杂排水,回用作办公冲厕等。 当条件允许时,在取得相关政府部门和产权单位允许的前提下,通过技术经济比较,可以选择利用除参评项目以外的其他建筑的再生水水源,包括参评范围外附近其他建筑的废水。选择其他再生水水源时,应注意以下几点: 1 必须在参评建筑本身再生水水源已得到充分利用的前提下,才可考虑选择其他再生水水源。 2 选择其他再生水水源时,必须做好水量平衡分析,保证供水的水量安全和减少不必要的浪费,不得影响周边建筑自身的非传统水源利用。 再生水利用率可按下式进行计算:
RR——再生水利用率,%; WR——再生水设计利用量(设计阶段)或实际利用量(运行阶段),m³/a; Wt-设计用水总量(设计阶段)或实际用水总量(运行阶段),m³/a。 用水量按年用水量计算,设计取值应符合现行国家标准《民用建筑节水设计标准》GB 50555的规定。 本条设计阶段的评价方法为查阅竣工图纸、设计说明书、非传统水源利用方案(非传统水源利用方案中,必须包含非传统水源利用的水量平衡表)、相关政府部门和产权单位出具的许可证明等。运行阶段的评价方法为现场勘查和查阅系统设备运行记录和用水量计量记录。 当项目周边无市政再生水利用条件,且建筑面积小于5万㎡或可回用水量小于100m³/d时(如地方标准中有更高要求,应按地方标准实施),本条可不参评。 6.3.5 通过技术经济比较,合理确定雨水集入渗、调蓄及利用方案。结合当地气候条件和建筑所在地地形、地貌等特点,除采取措施增加雨水渗透量外,还可以建立完善的雨水收集、处理、储存、利用等配套设施,对屋顶雨水和其他地表径流雨水进行有效的收集、调蓄、回用。可收集雨水量是指整个场地形成径流的雨水量,包括屋面及地表径流。 1 对于屋顶面积较大的办公建筑,雨水收集利用宜优先收集屋面雨水。 2 可收集雨水量应扣除入渗而没有形成径流的雨水和初期弃流雨水等。 3 当参评建筑本身可收集雨水已得到充分收集利用,尚无法满足雨水利用需求时,可以考虑收集利用参评范围外附近其他建筑和住宅小区的雨水。但必须做好水量平衡分析,不得影响周边建筑或住宅小区自身的雨水利用和雨水入渗。 4 参评项目周边有调蓄功能良好的地表天然或人工水体(如天然河道、湖泊、人工水渠等)时,在取得相关政府主管部门许可的前提下,也可用于雨水的调蓄,项目可从水体取水使用,但必须采取措施收集场地内的雨水,保证注入的雨水量不小于取水量,不得破坏水体的水量平衡,且必须采取有效措施防止排放水体的雨水造成的面源污染。 雨水回用率为实际收集回用的雨水量占可收集雨水量的比率,设计阶段和运行阶段的雨水回用率可按下式进行计算:
本条设计阶段的评价方法为查阅设计说明书和非传统水源利用报告等。运行阶段的评价方法为查阅运行数据报告(用水量记录报告)等。 年降雨量低于400mm的地区不宜设置雨水回用设施,当项目位于此类地区时,本条可不参评。但项目可加强雨水入渗,评价要求见第4.5.4条。
7 节材与材料资源利用7.1 材料资源利用 7.1 材料资源利用控制项 7.1.1 禁用国家和地方建设主管部门禁止和限制使用的建筑材料及制品。 可选项 7.1.2 场址范围内的已有建筑物、构筑物宜合理利用。 条文说明
7.1.1 随着科技的进步和使用过程中不断暴露的新问题,一些建筑材料及制品的技术性能已经被证明不适宜继续在建筑工程中应用,或者不适宜在某些地区或某些类型的建筑中使用。因此,在绿色办公建筑中严禁使用国家及当地建设主管部门向社会公布限制、禁止使用的建筑材料及制品,例如《建设事业十一五推广应用和限制禁止使用技术公告》、《北京市推广、限制和禁止使用建材目录》中限制、禁止使用的建筑材料及制品等。本条设计阶段的评价方法为对照国家和当地建设主管部门向社会公布的限制、禁止使用的建材及制品目录,查阅设计说明和概预算材料清单,对设计选用的建筑材料进行核查。运行阶段的评价方法为对照国家和当地建设主管部门向社会公布的限制、禁止使用的建材及制品目录,查阅工程材料决算材料清单,对实际选用的建筑材料进行核查。 7.1.2 已有建筑物、构筑物“利用率”的计算公式为:
有些项目因场地等原因,保留旧建筑会带来材料消耗的大幅度增加。对于此类项目,本着“合理”的原则,允许不利用已有的建筑物、构筑物,但应专门对此进行详细解析。当以安全因素为理由对已有建筑物、构筑物进行拆除时,应由具有资质的鉴定单位出具鉴定报告,理由充分者,本条可不参评,否则应判定本条不达标。 本条设计阶段的评价方法为查阅建筑施工图纸及已有建筑物、构筑物利用面积和利用率计算书。运行阶段的评价方法为查阅建筑竣工图纸、施工方案及已有建筑物、构筑物利用面积和利用率计算书。 7.1.3 在保证安全的前提下,本条旨在鼓励提高建筑的工业化率,采用工厂化生产的建筑构、配件,如预制楼板、预制阳台、预制楼梯、预制隔墙板、预制外墙板、幕墙等,既能减少材料浪费,又能减少施工对环境的影响,同时也为将来建筑拆除后构、配件的再利用创造了条件。装配式或装配整体式结构是目前预制化水平较高的两种结构体系,鼓励合理使用。 目前本条仅考察楼面板、屋面板、阳台、楼梯、隔墙板、外墙板、幕墙的工厂化程度。为了鼓励采用钢、木、钢木组合结构,本条将钢、木、钢木组合构件视作工业化方式生产的构件。“工业化率”可按下式进行计算:
G——全部楼面板、屋面板、阳台、楼梯、隔墙板、外墙板、幕墙的总质量与钢构件、木构件、钢木组合结构构件总质量之和; P——采用工业化方式生产的楼面板、屋面板、阳台、楼梯、隔墙板、外墙板、幕墙的总质量与钢构件、木构件、钢木组合结构构件总质量之和。 本条设计阶段的评价方法为查阅建筑、结构施工图纸及工业化率计算书。运行阶段的评价方法为查阅建筑、结构竣工图纸,工业化率计算书,并进行现场核实。对抗震设防地区的办公建筑,本条可不参评。 7.1.4 本条的设置旨在整体考量建筑材料的循环利用对于节材与材料资源利用的贡献,评价范围是永久性安装在工程中的建筑材料,不包括电梯等设备。 本条中的“可再利用建筑材料”是指不改变所回收材料的物质形态可直接再利用的,或经过简单组合、修复后可直接再利用的建筑材料,如场地范围内拆除的或从其他地方获取的旧砖、门窗及木材等。合理使用可再利用建筑材料,可充分发挥旧建筑材料的再利用价值,延长仍具有使用价值的建筑材料的使用周期,降低材料生产的资源、能源消耗和材料运输对环境造成的影响。 本条中的“可再循环建筑材料”是指通过改变材料的物质形态,可实现多次循环利用的建筑材料,如金属材料、木材、玻璃、石膏制品等。充分使用可再循环利用的建筑材料可以减少生产加工新材料带来的资源、能源消耗和环境污染,对于建筑的可持续性具有非常重要的意义,具有良好的经济和社会效益。 本条中的“以废弃物为原料生产的建筑材料”是指在满足安全和使用性能的前提下,使用废弃物等作为原材料生产出的建筑材料,其中废弃物主要包括建筑废弃物、工业废弃物和生活废弃物。在满足使用性能的前提下,鼓励利用建筑废弃混凝土生产出的再生骨料制作成的混凝土砌块、水泥制品和配制的再生混凝土;鼓励使用和利用工业废弃物、农作物秸秆、建筑垃圾、淤泥为原料制作的水泥、混凝土、墙体材料、保温材料等建筑材料。鼓励以工业副产品石膏制作的石膏制品。鼓励使用生活废弃物经处理后制成的建筑材料。为保证废弃物使用量达到一定要求,本条要求以废弃物为原料生产的建筑材料用量占同类建筑材料的比例需超过30%,且其中废弃物的掺量要求至少达到20%,此类建筑材料应满足相应的国家或行业检测标准的要求方能使用。 本条设计阶段的评价方法为查阅申报单位提交的工程概预算材料清单和相关材料使用比例计算书,核查可再利用建筑材料、可再循环建筑材料以及以废弃物为原材料生产的建筑材料的使用情况。运行阶段的评价方法为查阅申报单位提交的工程决算材料清单和相应的产品检测报告,核查可再利用建筑材料、可再循环建筑材料以及以废弃物为原材料生产的建筑材料的使用情况。 7.1.5 在办公建筑中装饰装修材料是工程建筑材料的重要组成部分,过度装修造成的材料的浪费和装修成本的增加,应予以控制。尤其是针对政府类办公建筑,提倡选用经济适用的装饰装修材料,进行简易装修,不片面追求美观,减少材料资源的消耗。 本条设计阶段的评价方法为查阅申报单位提交的工程概预算材料清单(含装修部分)和装饰装修材料设计情况专项说明,该说明需从装饰装修材料设计用量、单位面积装修造价等角度对申报项目的装饰装修材料的经济适用性进行介绍,由专家判断装饰装修材料的设计情况。运行阶段的评价方法为查阅申报单位提交的工程决算材料清单(含装修部分)和装饰装修材料实际使用情况专项说明,该说明需从装饰装修材料实际用量、单位面积装修价格等角度对申报项目的装饰装修材料的经济适用性进行介绍,由专家进行评价。 7.1.6 考虑到建材业的飞速发展,为绿色建筑所适用的新型建材不断出现,为鼓励创新性,特设置本条。鼓励项目根据当地的资源条件和发展水平合理使用新型材料及产品,新型材料及产品应占到同类产品用量的一半以上,且经国家和省市建设主管部门推荐使用或第三方权威机构认证。 本条设计阶段的评价方法为查阅工程概预算材料清单和其他说明文件,核查是否使用新材料及新产品。运行阶段的评价方法为查阅工程决算材料清单和其他说明文件,核查项目是否实际使用了新材料及新产品。 7.2 建筑设计优化可选项 7.2.1 建筑造型要素宜简约,无大量装饰性构件。 条文说明
7.2.1 以较大的资源消耗为代价,追求美观,不符合绿色建筑的理念,故本条鼓励建筑构件功能化,减少纯装饰性构件的应用。本条的工程总造价系指所有建筑安装工程造价的总和。本条所指的“纯装饰性构件”是指只有装饰作用的构件,主要针对下列构件: 1 不具备遮阳、导光、导风、载物、辅助绿化等作用的飘板、格栅和构架等; 2 单纯为追求标志性效果的塔、球、曲面等; 3 女儿墙中高度超出安全防护最低要求的部分; 4 双层外墙中无益于节能的外层墙(含幕墙)。 本条设计阶段的评价方法为查阅建筑、结构施工图纸,建筑效果图,工程预算书及装饰性构件造价比例计算书。运行阶段的评价方法为查阅建筑、结构竣工图纸,工程决算书及装饰性构件造价比例计算书,并进行现场核实。 有的项目为了追求美观,对某些功能性构件进行了尺寸上的过分夸张,当情节严重时,也应判定本条不达标。 7.2.2 绿色建筑的成本通常高于普通建筑,但可通过优化建筑设计,适当降低绿色建筑的增量成本,更可减少资源消耗和碳排放。 在确保满足规范规定安全度的前提下,节约用材是减少碳排放最有效的措施之一,因此材料用量应作为重要的评价指标,使用较多材料资源的建筑不应被评为绿色建筑。 影响材料消耗水平的因素包括建筑方案优劣、结构布置优劣、材料选择和构造合理性、设计精细化程度等诸多方面,材料用量是上述诸多因素的综合反映。 本条的“同类建筑”是指结构类型相同的建筑;“层数(高度)相近”是指与参评建筑层数和高度相差均不超过15%。“主要结构材料”是指如钢筋混凝土结构中的混凝土和钢筋,钢结构中的钢材和混凝土,木结构中的木材,砌体结构中的砌块、钢筋、混凝土(当采用木楼板时为木材)等。 衡量申报项目建筑结构材料用量的多少,应与当地层数(高度)相近且结构类型相同的建筑进行比较。考虑到目前积累的资料有限,且短期内难以统计出权威的材料用量平均值数据,故本条仅要求比较单位建筑面积的主要结构材料的用量,并提供了简化的统计方法。当样本积累到一定数量时,应按统计学的方法进行统计,以便形成一组科学、合理、权威的统计数据。 本条要求各申报项目的设计单位应配合建设单位收集项目所在地区已建的层数(高度)相近的同类建筑单位建筑面积的主要结构材料用量,统计出“平均值”,并将其作为证明材料上报评价机构。评价机构经审核确定是否可将该数据作为本申报项目材料用量的比较基准。 鉴于目前现状,主要结构材料用量“平均值”的统计工作应满足如下要求: 对于有地下室的建筑,应将地上、地下(含基础)部分分开分别统计;对于无地下室的建筑,应将地上部分与基础部分合并统计;一般不计入桩、地基处理部分的材料用量,可以仅计算一次结构的材料用量。 此外,对于带裙房的建筑,应注意参与统计建筑的裙房与主楼的建筑面积之比应与参评建筑的面积比相似。 本条在设计阶段评价时应以预算资料为准,可不计损耗。运行阶段评价时应以决算资料为准,应计入损耗。预算、决算等不同阶段的材料用量统计资料允许相互折算,以求对比口径上的一致。 评价钢与混凝土组合(混合)结构建筑时,可将其中的钢材用量累加到钢筋用量中,按钢筋混凝土结构进行评价。 对于缺乏统计资料的地区,可将风荷载和抗震设防烈度均相同的地区的资料视作当地的资料;当风荷载控制时,也可将风荷载相同地区的资料视作当地的资料;当地震荷载控制时,也可将抗震设防烈度相同地区的资料视作当地的资料。此外,还可将结构或预算方面专家根据经验估计的数据视作符合要求的样本,每位专家提供的经过签名确认的书面数据可作为一个样本。 各样本的极差不得超过平均值的30%,否则应分析原因,并补充样本。此外,符合上述条件的统计样本数不得少于5个,且应尽量选取2002年以后设计的建筑作为样本。 本条设计阶段的评价方法为查阅建筑、结构施工图纸及用材量报告(含预算书)。运行阶段的评价方法为查阅建筑、结构竣工图纸及用材量报告(含决算书)。 本条与第7.2.3、7.2.4、7.2.5、7.2.6、7.2.7条不重复参评。 7.2.3 建筑的材料用量与建筑方案的规则性关系密切。在抗震设防地区,采用不规则的建筑方案需按规范采取加强措施;采用特别不规则的建筑方案需进行专门研究和论证,采取特别的加强措施。在非抗震设防地区,采用不规则的建筑方案也会带来材料用量的增加。因此,建筑及其抗侧力结构的平面布置宜规则、对称,并应具有良好的整体性;建筑的立面和竖向剖面宜规则,结构的侧向刚度宜均匀变化,竖向抗侧力构件的截面尺寸和材料强度宜自下而上逐渐减小,避免抗侧力结构的侧向刚度和承载力突变。 现行国家标准《建筑抗震设计规范》GB50011禁止在抗震设防区采用严重不规则的建筑方案。对于不规则、特别不规则、严重不规则建筑方案的判断,可参考《建筑抗震设计规范》GB 50011和住房和城乡建设部《超限高层建筑工程抗震设防专项审查技术要点》(建质[2010]109号),也可以参考施工图设计文件审查机构的施工图审查意见书。 对于城市建设需要的不规则或特别不规则的建筑方案,应提供当地建设行政主管部门的证明材料。对于不需进行抗震设计的建筑,应参照上述办法进行判断。 本条设计阶段的评价方法为查阅建筑、结构施工图纸,建筑效果图,施工图审查意见书。运行阶段的评价方法为查阅建筑、结构竣工图纸,施工图审查意见书,并进行现场核实。 7.2.4 实践证明,结构体系相同而结构布置不同的建筑,用材量水平会有很大差异,资源消耗水平、对环境的冲击也会明显不同。因此,除了关注结构体系外,还应关注结构布置的优劣。办公建筑中超过一半的材料用于结构构件,因此在设计过程中对结构体系和结构构件进行合理优化,能够有效地节约材料用量。 本条的主要目的在于强调精细化设计,增强设计单位和建设单位的优化意识。因此,作为申报方之一的设计单位应对参评项目的上部结构和基础方案分别进行比选论证,提交结构优化论证报告,在报告中充分反映结构构件布置的优化过程及其合理性。 本条的评价方法为查阅结构优化论证报告及相关图纸,并结合参评项目的具体情况,酌情判断优化结果的合理性。 7.2.5 混凝土是用途最广、用量最大的建筑材料之一,减少混凝土用量,是节材的重要措施。 一般情况下,提高竖向承重构件混凝土的强度等级可以明显减小竖向承重构件的截面尺寸,减少混凝土用量,并增加使用面积;提高水平承重构件混凝土的强度等级也可以减小水平承重构件的截面尺寸,减少混凝土用量,并增加室内净空。 我国将C50作为高强混凝土的起点强度等级。在合理的前提下,竖向承重构件应优先采用高强混凝土,水平承重构件宜根据论证结论采用适当强度等级的混凝土。由于某些建筑结构的竖向承重构件采用高强混凝土是不合理的,因此,本条允许在合理的前提下,竖向承重构件采用低于C50的混凝土,但需针对所有结构构件进行详细论证,并提交论证报告。 砌体结构(含配筋砌体结构)和钢结构中的混凝土用量较钢筋混凝土结构要少很多,因此对于上述两类结构,本条可不参评。 本条设计阶段的评价方法为查阅结构施工图纸,工程预算材料清单,竖向承重结构中高强混凝土的使用比例计算书,相关论证报告。运行阶段的评价方法为查阅结构竣工图纸,工程决算材料清单,竖向承重结构中高强混凝土的使用比例计算书,相关论证报告,混凝土检验报告,必要时进行现场核实。 7.2.6 钢(钢筋和钢材)是用途最广、用量最大的建筑材料之一,减少钢的用量,是节材的重要措施。 一般情况下,在钢筋混凝土结构中,选用高强度钢筋作为受力钢筋,节材效果显著。据测算,用HRB400 钢筋代替HRB335钢筋,可节省约10%的钢筋。 与钢筋混凝土结构相比,钢结构本身具备自重轻、强度高、抗震性能好、施工快、建造和拆除时环境污染少、容易回收再利用等独特优点,应鼓励采用。一般情况下,高层、超高层、大跨度钢结构建筑采用高强钢非常理想。 符合规范的抗拉强度设计值不低于360MPa的钢筋(如HRB400、RRB400级钢筋、冷拉钢筋、冷轧扭钢筋及高强预应力钢丝(索)等)均可视作满足本条要求的高强度钢。当采用抗拉强度设计值高于360MPa的钢筋(丝、索)时,可按等强(抗拉能力设计值相等)的原则,将上述更高强度的钢筋(丝、索)折算成HRB400级钢筋。 符合规范的Q345GJ、Q345GJZ级钢材和抗拉强度设计值不低于295MPa的钢材(如厚度不大于35mm的Q345级钢材),均可视作满足本条要求的高强度钢。 评价钢与混凝土组合(混合)结构建筑时,可将其中的高强钢材用量与高强钢筋用量之和作为高强钢的用量,全部钢材和钢筋用量之和作为钢的总用量。 在合理的前提下,应优先采用高强钢。由于某些承重构件采用高强钢是不合理的,因此,本条允许在合理的前提下,采用较低强度的钢,但需进行详细论证,并提交论证报告。 砌体结构(含配筋砌体结构)中的用钢量较钢筋混凝土结构和钢结构少很多,因此对于上述结构,本条可不参评。 本条设计阶段评价方法为查阅结构施工图纸,工程预算材料清单,高强钢的使用率计算书,相关论证报告。运行阶段评价方法为查阅结构竣工图纸,工程决算材料清单,高强钢的使用率计算书,相关论证报告,钢筋、钢材检验报告,必要时现场核实。 7.2.7 减轻建筑自重对节材有重要意义,是重要的节材途径。本条仅评价楼地面现浇面层和墙面抹灰的自重,其主要原因如下: 1 楼地面现浇面层和墙面抹灰的密度较大,用量多,对结构材料用量影响大; 2 建筑拆除时,楼地面现浇面层和墙面抹灰均是难以处理的建筑垃圾,对环境影响大; 3 目前仅关注楼地面现浇面层和墙面抹灰,更具可操作性。 计算楼地面现浇面层自重时,对于以瓷砖和石材为面板的楼地面,应包括结构板以上所有做法的重量;对于以木板为面板的楼地面,可不包括木地板层,但至少应包括其下的找平层、找坡层、水泥砂浆或混凝土填充层等。 计算墙面抹灰量时,可不包括墙面腻子,但至少应包括湿挂、湿贴的瓷砖和石材面层,且应包括外围护墙、内隔墙(断)、结构墙的抹灰及其外部的贴面。 尽管减小结构构件的截面也是减轻建筑自重的重要途径,但其节材效果已在第7.2.4~7.2.6条中有所考虑,故本条不再对该措施进行评价。 本条设计阶段评价的评价方法为查阅建筑施工图纸及室内地面现浇面层平均自重计算书、墙面抹灰体积计算书。运行阶段的评价方法为查阅建筑竣工图纸、室内地面现浇面层平均自重计算书、墙面抹灰体积计算书,并进行现场核实。此外,当采取本标准未涉及的其他措施减轻建筑自重时,尚应查阅相关说明和证明资料。 7.2.8 办公类建筑中的可变换功能空间应在保证室内工作环境不受影响的前提下,尽量多采用可循环利用隔断(墙),以减少室内空间重新布置时对建筑构件的破坏,节约材料。 除设计使用年限内位置比较固定的走廊、楼梯、电梯井、卫生间、设备机房、公共管井以外的地上室内空间均应视为“可变换功能的室内空间”。此外,对于重新分隔概率较高的地下空间,如作为商业娱乐、办公等用途的地下空间,也应视为“可变换功能的室内空间”,其他地下空间面积在计算时可剔除。 可循环利用隔断(墙)是指使用可再利用材料或可再循环利用材料组装的隔断(墙),其在拆除过程中应基本不影响与之相接的其他隔断(墙),如:大开间敞开式办公空间内的矮隔断(墙)、玻璃隔断(墙)、预制板隔断(墙)、特殊设计的可分段拆除的轻钢龙骨水泥压力板或石膏板隔断(墙)和木隔断(墙)等。采用砂浆砌筑的砌体隔断(墙)不应算作可循环利用隔断(墙)。 在可变换功能的室内空间内,将作为房间整面的可循环利用隔断(墙)全部去掉后,留下的墙体与门围合出若干封闭区域,其中面积小于100㎡的办公区域以及面积小于500㎡的其他功能区域应视作“不可循环利用隔断(墙)围合的房间”。 对于砌体结构、剪力墙结构等结构墙较密的办公类建筑,本条可不参评。 本条设计阶段的评价方法为查阅建筑、结构施工图纸及可变换功能的室内空间内不可循环利用隔断(墙)围合的房间总面积占可变换功能的室内空间总面积的比例计算书。运行阶段的评价方法为查阅建筑、结构竣工图纸及可变换功能的室内空间内不可循环利用隔断(墙)围合的房间总面积占可变换功能的室内空间总面积的比例计算书,并进行现场核实。 7.2.9 本条排斥三边工程,除非采取充分措施,能够避免破坏和拆除已有的建筑结构构件及设施。 一般情况下,应针对参评项目的全部建筑面积进行评价,仅部分建筑面积满足时不能得分。粗装修销售或出租的项目多为商业建筑,该类项目一般只能做到建筑主要入口、楼电梯厅、卫生间等公共区域的“土建与装修一体化设计”,故本条要求此类项目应至少提供一套完整的装修方案,并完成预留预埋设计。 本条设计阶段的评价方法为查阅土建、装修各专业施工图纸、订货合同及其他证明材料,评审时尚未开始土建施工的项目,应以申报时的实际状况为准。运行阶段的评价方法为查阅各专业竣工图纸、订货合同及其他证明材料并现场核实。 7.3 施工过程控制可选项 7.3.1 施工现场500km以内生产的建筑材料质量应占建筑材料总质量的60%以上。 7.3.2 现浇混凝土应使用预拌混凝土,建筑砂浆宜使用预拌砂浆。 7.3.3 建筑土建与装修宜一体化施工。 7.3.4 施工组织设计中宜制定节材方案,并在施工过程中得到落实。 7.3.5 对旧建筑拆除、场地清理和建筑施工时产生的固体废弃物宜进行分类处理和回收利用。 7.3.6 施工过程中主要材料的损耗率应比定额损耗率降低30%。 7.3.7 现场施工中宜提高围挡、模板等设施的重复使用率。 条文说明 7.3.1 建材本地化是减少运输过程资源和能源消耗、降低环境污染的重要手段之一,提高本地化材料的利用率还可促进当地经济发展。本条旨在鼓励使用当地生产的建筑材料,提高就地取材制成的建材产品所占的比例。选用的建筑材料应由距离施工现场500km范围内的厂家生产,以生产地为准,如在当地或邻近地区建材商处采购的建材,但其生产厂家距离施工现场500km以上,则不符合本条要求。地基(桩)处理中产生的回填土不计入其中。 考虑到地域性差异,各地可根据当地情况对指标进行适当调整。 本条在设计阶段不参评。在运行阶段评价时,要求申报单位提供500km以内建筑材料使用比例计算书,计算书要求以建筑材料的生产厂家地址为准,对距施工现场500km以内的建筑材料的质量之和与项目建筑材料的总质量的比例进行统计计算,专家根据该计算书和材料决算清单进行评价。当使用较多规定范围外工厂生产的建筑材料时,若能说明此类建筑材料不可变更的原因,则由专家根据说明材料酌情判断。 7.3.2 相比于现场搅拌混凝土生产方式,预拌混凝土性能稳定性比现场搅拌好得多,对于保证混凝土工程质量十分重要。与现场搅拌混凝土相比,使用预拌混凝土还能够减少施工现场噪声和粉尘污染,并节约能源、资源,减少材料损耗。我国预拌混凝土的应用技术已较为成熟,国家有关部门发布了一系列关于限期禁止在城市城区现场搅拌混凝土的文件,明确规定“北京等124个城市城区从2003年12月31日起禁止现场搅拌混凝土,其他省(自治区)辖市从2005年12月31日起禁止现场搅拌混凝土。”相比于现场搅拌砂浆,使用预拌砂浆可明显减少砂浆用量。据测算,对于多层砌筑结构,使用预拌砂浆比使用现场搅拌砂浆可节约30%的砂浆量;对于高层建筑,使用预拌砂浆比使用现场搅拌砂浆可节约抹灰砂浆用量50%。使用预拌砂浆不仅可节省材料,而且预拌砂浆的性能也比现场搅拌砂浆更稳定,质量更好,更有利于保证建筑工程质量。商务部、公安部、建设部等六部委于2007年6月6日联合发布了《关于在部分城市限期禁止现场搅拌砂浆工作的通知》,要求北京、天津、上海等10个城市从2007年9月1日起禁止在施工现场使用水泥搅拌砂浆,重庆等33个城市从2008年7月1日起禁止在施工现场使用水泥搅拌砂浆,长春等84个城市从2009年7月1日起禁止在施工现场使用水泥搅拌砂浆。 由于预拌混凝土和预拌砂浆技术已经较为成熟,技术经济性优势较为明显,实际工程中并不难实现。根据国家的相关政策,应予以推广。绿色办公建筑中的现浇混凝土应全部使用预拌混凝土。鼓励在绿色办公建筑中使用包括干粉砂浆、湿拌砂浆在内的预拌砂浆。 本条在设计阶段不参评。运行阶段的评价方法为查阅预拌混凝土和预拌砂浆的购销合同、供货单、材料决算清单等证明文件,根据现浇混凝土和预拌砂浆的实际使用比例进行评价。如某些特殊地区无法实现本条,需撰写专项说明,由专家酌情判断。 7.3.3 本条在第7.2.9条的基础上,重点考察施工过程中土建与装修一体化的情况。 本条在设计阶段可不参评。运行阶段的评价方法为查阅土建和装修各工种的施工方案和施工组织设计文件。 7.3.4 鼓励施工单位编制绿色施工方案,在保证工程安全与质量的前提下,制定节材措施,如:进行施工方案的节材优化,建筑垃圾减量化,尽量利用可循环材料等。该方案应在施工组织设计中独立成章,并按有关规定进行审批。 本条在设计阶段不参评。运行阶段的评价方法为查阅施工组织方案及相关资料,考核是否制订了施工中的节材方案与措施。 7.3.5 施工过程中,应最大限度利用建设用地内拆除的旧建筑材料,以及建筑施工和场地清理时产生的废弃物等,如合理使用建筑余料、科学利用板材、块材等下脚料和撒落混凝土及砂浆等,达到节约原材料,减少废物,减少由于更新所需材料的生产及运输对环境造成的影响。 旧建筑拆除、场地清理和建筑施工过程中所产生的垃圾、废弃物,应在现场进行分类处理,这是回收利用废弃物的关键和前提。可再利用材料在建筑中重新利用,可再循环材料通过再生利用企业进行回收、加工,最大限度地避免废弃物随意遗弃、造成污染。施工单位需设计专门的建筑施工废物管理规划,包括寻找市场销路;制定废品回收计划和方法,包括废物统计、提供废物回收、折价处理和再利用的费用等内容。废弃物管理规划中需确认的回收物包括纸板、金属、现场垃圾、塑料、玻璃、石膏板、木制品等。 本条在设计阶段不参评。运行阶段的评价方法为查阅建筑施工废弃物管理规划、施工现场废弃物分类处理记录、可再循环利用材料回收记录。 7.3.6 施工单位在图纸会审时,应审核节材与材料资源利用的相关内容,施工过程中控制主要材料的损耗率至少应比其定额损耗率降低30%。 本条在设计阶段不参评。运行阶段评价时,要求施工单位对于施工过程中的材料损耗率进行申报,根据申报材料与定额损耗率进行对比后进行评价。 7.3.7 利用已有围墙,或采用装配式可重复使用的围挡,可大大减少施工过程中的围挡材料用量。对于施工中使用的临时围挡材料,重复使用可节约施工用材,要求至少达到70%以上。鼓励采用工具式模板和新型模板材料,如铝合金、塑料、玻璃钢和其他可再生材质的大模板和钢框镶边模板,对于木模板,要求周转次数达到5次以上,对于其他模板,要求周转次数达到10次以上。 本条在设计阶段不参评。运行阶段的评价方法为审核施工单位提供的资料,确认围挡、脚手架、模板的重复使用率。 8 室内环境质量8.1 光环境 8.1 光环境控制项 8.1.1 主要功能空间室内照度、照度均匀度、眩光控制、光的颜色质量等指标应满足现行国家标准《建筑照明设计标准》GB 50034的有关规定。 可选项 8.1.2 主要功能房间的采光系数宜达到现行国家标准《建筑采光设计标准》GB/T 50033的有关规定。 条文说明
8.1.1 室内照明质量是影响室内环境质量的重要因素之一,良好的照明不但有利于提升人们的工作和学习效率,更有利于人们的身心健康,减少各种职业疾病。良好、舒适的照明首先要求在参考平面(见《建筑照明设计标准》GB50034)上具有适当的照度水平,不但要满足视觉工作要求而且要在整个建筑空间创造出舒适、健康的光环境气氛;强烈的眩光会使室内光线不和谐,使人感到不舒适,容易增加人体疲劳,严重时会觉得昏眩,甚至短暂失明。室内照明质量的另一个重要因素是光源的显色性,人工光源对物体真实颜色的呈现程度称为光源的显色性,为了对光源的显色性进行定量的评价,引入显色指数的概念,以标准光源为准,将其显色指数定为100,其余光源的显色指数均低于100。人工光和天然光的光谱组成不同,因而显色效果也有差别。如果灯光的光色和空间色调不配合,就会造成很不相宜的环境气氛;而室内外光源的显色性相差过大也会引起人眼的不舒适、疲劳等,甚至会造成物体颜色判断失误等。办公建筑的室内照度、统一眩光值、一般显色指数应满足现行国家标准《建筑照明设计标准》GB50034的有关规定,如表6所示。
8.1.2 天然光环境是人们长期习惯和喜爱的工作环境。各种光源的视觉试验结果表明,在同样照度的条件下,天然光的辨认能力优于人工光,从而有利于人们工作、生活、保护视力和提高劳动生产率。公共建筑天然采光的意义不仅在于照明节能,而且为室内的视觉作业提供舒适、健康的光环境,是良好的室内环境质量不可缺少的重要组成部分。办公建筑的采光系数应达到表7的要求。
本条参考了现行国家行业标准《办公建筑设计规范》JGJ 67第6.3.1~6.3.2条的相关规定。 本条设计阶段的评价方法为审核设计图纸和相关的天然采光分析、计算报告。运行阶段的评价方法为检查典型房间采光检测报告,并现场检查是否落实设计图纸要求。 8.1.3 为了改善地上空间的天然采光质量,除可以在建筑设计手法上采取反光板、棱镜玻璃窗等简单措施,还可以采用导光管、光纤等先进的天然采光技术将室外的天然光引入室内的进深处,极大地改善室内照明质量和天然光利用效果。 地下空间的天然采光不仅有利于照明节能,而且充足的天然光还有利于改善地下空间卫生环境。由于地下空间的封闭性,天然采光可以增加室内外的自然信息交流,减少人们的压抑心理等;同时,天然采光也可以作为日间地下空间应急照明的可靠光源。地下空间的天然采光方法很多,可以是简单的天窗、采光通道等,也可以是棱镜玻璃窗、导光管、导光光纤等技术成熟、容易维护的先进措施。 本条参考了现行国家行业标准《办公建筑设计规范》JGJ 67第6.3.3条的相关规定。 本条设计阶段的评价方法为审核设计图纸和相关的天然采光分析、计算报告。运行阶段的评价方法为检查典型房间采光检测报告,并现场检查相关增强采光措施的实际效果,以及是否落实设计图纸要求。 8.1.4 强烈的眩光会使室内光线不和谐,使人感到不舒适,容易增加人体疲劳,严重时会觉得昏眩,甚至短暂失明。采用避免眩光的灯具或防眩光措施,可有效改善室内照明质量。另外,在设计中应充分考虑照度的可控性和用户操作的方便性,使用户能够自主灵活控制室内照度,以便带来更好的用户体验。对于可以利用天然光的区域以及仅在一定时段内使用的室内功能区域,在区域照明设计中可结合天然采光效果和室内功能效果进行分区域分时段控制,以增强调控的便利性。 本条设计阶段的评价方法为审核照明设计说明、照明计算书和图纸。运行阶段的评价方法为检查实际典型房间的照明检测报告,并现场审查是否落实设计图纸要求。 8.2 声环境控制项 8.2.1 室内噪声级应满足现行国家标准《民用建筑隔声设计规范》GB 50118室内允许噪声级的低限要求。 条文说明
8.2.1 室内背景噪声水平是影响室内环境质量的重要因素之一。过量的噪声不仅影响思考和交谈、降低工作效率,而且容易使人心情烦躁和感觉疲劳,产生消极情绪,甚至引发疾病。因此,办公建筑应按照相关国家标准要求控制室内噪声,保护员工的身心健康,并努力创造出能最大限度提高员工工作效率的声环境。影响室内噪声的因素包括室内噪声源和室外环境影响。室内噪声主要来自室内设备、电器等,而室外环境对室内噪声的影响时间更长,影响程度更大,主要是交通噪声、建筑施工噪声、商业噪声、工业噪声、邻居噪声等。 为控制室内噪声,可采用隔声、增加室内吸声材料、控制空调末端噪声等措施。另外玻璃幕墙、外窗等隔声相对薄弱,在外环境噪声较大的情况下应注意控制。 现行国家标准《民用建筑隔声设计规范》GB 50118中对办公类建筑室内允许噪声级的有关规定见表9。
8.2.2 现行国家标准《民用建筑隔声设计规范》GB50118对办公类建筑主要功能房间(如办公室、会议室)的外墙、隔墙、楼板、门窗的空气声隔声标准以及楼板的撞击声隔声性能提出了要求,应按其相关规定进行设计。 本条设计阶段的评价方法为审核设计图纸(主要是围护结构的构造说明、图纸以及相关的检测报告);运行阶段的评价方法为检查典型房间现场隔声检测报告,结合现场检查设计要求落实情况进行达标评价。 8.2.3 本条对于办公建筑室内的单人或高级办公室、重要会议室等的室内噪声水平提出了更高要求,要求满足现行国家标准《民用建筑隔声设计规范》GB50118办公类建筑室内允许噪声级的高要求标准。但是,针对目前较普遍的大空间开放式办公室(也称开敞式办公室),由于在该空间除了考虑不被过高背景噪声干扰外,语言私密性也很重要,适当的背景噪声可起掩蔽作用,所以开放式办公室噪声并非越低越好,因此这里不做要求。 本条设计阶段的评价方法为检查建筑设计平面图纸,基于环评报告室外噪声要求对室内的背景噪声影响(也包括室内噪声源影响)的分析报告以及图纸上的落实情况,及可能的声环境专项设计报告。运行阶段的评价方法为审核典型时间、主要空间的现场室内声环境检测报告。 8.2.4 从建筑平面设计和空间功能安排上考虑防噪声的合理布局,是避免办公空间受噪声干扰的最经济有效的措施。这就要求在建筑设计、建造和设备系统设计、安装的过程中全程考虑建筑平面和空间功能的合理安排。 本条设计阶段的评价方法为审核设计图纸。运行阶段的评价方法为现场检查是否按照设计要求落实空间平面布置,是否存在变更且影响室内声环境效果。 8.2.5 在设备系统设计、安装时就考虑其引起的噪声与振动控制手段和措施,从建筑设计上将对噪声敏感的房间远离噪声源、从噪声源开始实施控制,往往是最有效和经济的方法。具体的措施包括但不限于:采用低噪声型送风口与回风口,对风口位置、风井、风速等进行优化以避免送风口与回风口产生的噪声,或使用低噪声空调室内机、风机盘管、排气扇等;给有转动部件的室内暖通空调和给排水设备,如风机、水泵、冷水机组、风机盘管、空调机组等设置有效的隔振措施;采用消声器、消声弯头、消声软管,或优化管道位置等措施,消除通过风道传播的噪声;采用隔振吊架、隔振支撑、软接头、连接部位的隔振施工等措施,防止通过风道和水管传播的固体噪声;对空调机房采取吸声与隔声措施,安装设备隔声罩,优化设备位置以降低空调机房内的噪声水平;采用遮蔽物、隔振支撑、调整位置等措施,防止冷却塔发出的噪声;为空调室外机设置隔振橡胶、隔振垫,或采用低噪声空调室外机;采用消声管道,或优化管道位置(包括采用同层排水设计),对PVC下水管进行隔声包覆等,防止厕所、浴室等的给排水噪声;合理控制上水管水压,使用隔振橡胶等弹性方式固定,采用防水锤设施等,防止给排水系统出现水锤噪声等等。 本条设计阶段的评价方法为审核设计图纸、设备供应商提供的噪声检测报告。运行阶段的评价方法为检查设备机房及邻近房间的室内噪声级的检测报告,进行现场评价,并现场检查设计落实情况。 8.3 热环境控制项 8.3.1 采用集中空调的建筑,房间内的温度、湿度等参数应符合现行国家标准《公共建筑节能设计标准》GB 50189的有关规定。 可选项 8.3.2 建筑围护结构内部和表面宜无结露、发霉现象;减少围护结构带来室内环境的不舒适性。 条文说明
8.3.1 室内热环境是指影响人体冷热感觉的环境因素。“热舒适”是指人体对热环境的主观热反应,是人们对周围热环境感到满意的一种主观感觉,它是多种因素综合作用的结果。舒适的室内环境有助于人的身心健康,进而提高学习、工作效率;而当人处于过冷、过热环境中,则会引起疾病,影响健康乃至危及生命。一般而言,室内温度、湿度和气流速度对人体热舒适感产生的影响最为显著,也最容易被人体所感知和认识;而环境辐射对人体的冷热感产生的影响很容易被人们所忽视。本标准引用室内温度、室内湿度两个参数评判办公空间室内环境的人体热舒适性。根据现行国家标准《公共建筑节能设计标准》GB50189中的相关规定,上述参数在冬夏季应分别控制在相应区间内。此外高大空间或特殊功能空间的风速或气流组织也应满足有关标准的规定。 本条设计阶段的评价方法为查阅暖通空调设计说明,检查房间温湿度、风速是否符合要求。运行阶段的评价方法为审核建筑典型房间内温度、湿度、风速的检测报告。 8.3.2 由于围护结构中窗过梁、圈梁、钢筋混凝土抗震柱、钢筋混凝土剪力墙、梁、柱等部位的传热系数远大于主体部位的传热系数,形成热流密集通道,即为热桥。本条规定的目的主要是防止冬季采暖期间热桥内外表面温差小,内表面温度容易低于室内空气露点温度,造成围护结构热桥部位内表面产生结露;同时也避免夏季空调期间这些部位传热过大增加空调能耗。内表面结露,会造成围护结构内表面材料受潮,在通风不畅的情况下易产生霉菌,影响室内人员的身体健康。因此,应采取合理的保温、隔热措施,减少围护结构热桥部位的传热损失,防止外墙和外窗等外围护结构内表面温度过低。此处提到的结露问题,只强调在冬季采暖对应的室内外标准设计温湿度条件下确保无结露,不考虑春季等返潮问题。另外在室内使用辐射型空调末端时,需密切注意水温的控制,避免表面结露。 除此之外,围护结构冷、热辐射也会对室内空气温度产生直接的影响,可结合建筑的外立面造型采取合理的外遮阳措施,形成整体有效的外遮阳系统,夏季可以有效地减少建筑因太阳辐射和室外空气温度通过建筑围护结构的传导得热以及通过窗户的辐射得热,控制房间内表面最高温度,对于改善夏季室内热舒适性具有重要作用;冬季采取了控制房间内表面最低温度、改善室内冷辐射不舒适性的措施。 本条设计阶段的评价方法为查阅暖通空调设计说明,此外审查遮阳设施在图纸上的落实情况,检查是否存在大面积玻璃幕墙等情况。运行阶段的评价方法为现场考察遮阳、大面积玻璃幕墙等。 8.3.3 自然通风是在风压或热压推动下的空气流动。自然通风是实现节能和改善室内空气品质的重要手段,提高室内热舒适的重要途径。因此,在建筑设计和构造设计中鼓励采取诱导气流、促进自然通风的主动措施,如导风墙、拔风井等等,以促进室内自然通风的效率。 在计算外窗、幕墙可开启面积时,注意应按有效开启面积计算。 本条设计阶段的评价方法为审核设计图纸,检查外窗、幕墙可开启面积及比例,核查通风模拟报告。运行阶段的评价方法为核查开窗面积是否落实设计要求,并按照实际的开窗面积进行评分。 8.3.4 建筑应能为室内的个人或多人用户提供可调控的高水平热舒适系统,通过各种被动和主动措施加强室内热环境的可控性,以促进建筑用户的生产力、舒适和健康。 热环境可控性指的是室内人员可以通过方便、灵活的空调器开关、温度、风速调节开关,对个人工作区域的热环境状况进行调节,也包括能否利用窗帘、可开启外窗等方式进行调节。 本条设计阶段的评价方法为审核暖通空调和电气设计图纸;运行阶段应进行现场检查。 8.4 室内空气质量控制项 8.4.1 建筑材料中有害物质含量应符合现行国家标准《室内装饰装修材料人造板及其制品中甲醛释放限量》GB 18580、《室内装饰装修材料溶剂型木器涂料中有害物质限量》GB 18581、《室内装饰装修材料内墙涂料中有害物质限量》GB 18582、《室内装饰装修材料胶粘剂中有害物质限量》GB 18583、《室内装饰装修材料木家具中有害物质限量》GB 18584、《室内装饰装修材料壁纸中有害物质限量》GB 18585、《室内装饰装修材料聚氯乙烯卷材地板中有害物质限量》GB 18586、《室内装饰装修材料地毯、地毯衬垫及地毯胶粘剂中有害物质释放限量》GB 18587、《混凝土外加剂中释放氨的限量》GB 18588的有关规定,放射性核素的限量应符合现行国家标准《建筑材料放射性核素限量》GB 6566的有关规定。 8.4.2 建筑中游离甲醛、苯、氨、氡和TVOC等空气污染物浓度应符合现行国家标准《民用建筑工程室内环境污染控制规范》GB 50325的有关规定,建筑在运行阶段的室内空气质量应符合现行国家标准《室内空气质量标准》GB/T 18883的有关规定。 8.4.3 采用集中空调的建筑,新风量应符合现行国家标准《公共建筑节能设计标准》GB 50189的有关规定。 8.4.4 新风采气口位置应合理设计,保证新风质量及避免二次污染的发生。 可选项 8.4.5 在建筑中宜采取禁烟措施,或采取措施尽量避免室内用户以及送回风系统直接暴露在吸烟环境中。 8.4.6 在装饰装修设计中,宜采用合理的预评估方法,对室内空气质量进行源头控制或采取其他保障措施。 8.4.7 报告厅、会议室、公共区域等人员变化大的区域宜有针对空气品质的实时监测或人工监测措施。 8.4.8 地下停车场宜有针对一氧化碳浓度监控措施。 条文说明
8.4.1 选用有害物质限量达标、环保效果好的建筑材料,可以防止由于选材不当造成室内空气污染。本条在设计阶段可不参评。运行阶段的评价方法为查阅由国家认证认可监督管理委员会授权的具有资质的第三方检测机构出具的建材产品检验报告,需要核查的建材产品包括:(1)室内装饰装修材料:人造板、溶剂型木器涂料、内墙涂料、胶粘剂、木家具、壁纸、聚氯乙烯卷材地板、地毯、地毯衬垫等;(2)混凝土外加剂;(3)室内使用的石材、瓷砖、卫浴洁具;(4)掺加了工业废渣的建筑主体材料,如粉煤灰砌块等。 由于过度装修以及劣质材料有可能造成室内污染,装修阶段应选用有害物质含量达标的装饰装修材料,防止由于选材不当造成室内空气污染。选用的建筑材料中的有害物质含量必须符合下列国家标准: 《室内装饰装修材料人造板及其制品中甲醛释放限量》GB 18580 《室内装饰装修材料溶剂型木器涂料中有害物质限量》GB 18581 《室内装饰装修材料内墙涂料中有害物质限量》GB 18582 《室内装饰装修材料胶粘剂中有害物质限量》GB 18583 《室内装饰装修材料木家具中有害物质限量》GB 18584 《室内装饰装修材料壁纸中有害物质限量》GB 18585 《室内装饰装修材料聚氯乙烯卷材地板中有害物质限量》GB 18586 《室内装饰装修材料地毯、地毯衬垫及地毯胶粘剂中有害物质释放限量》GB 18587 《混凝土外加剂中释放氨的限量》GB 18588 《建筑材料放射性核素限量》GB 6566 8.4.2 室内空气污染造成的健康和不舒适问题近年来得到广泛关注。轻微的反应包括眼睛、鼻子及呼吸道刺激和头疼、头昏眼花及身体疲乏;严重的有可能导致呼吸器官疾病,甚至心脏疾病及癌症等。 为此,应根据现行国家标准《民用建筑工程室内环境污染控制规范》GB50325和《室内空气质量标准》GB/T18883有关规定,严格控制室内的污染物浓度,从而保证人们的舒适和健康。建筑中游离甲醛、苯、氨、氡和TVOC等空气污染物浓度应符合现行国家标准《民用建筑工程室内环境污染控制规范》GB50325中的有关规定,运行建筑室内空气质量应符合现行国家标准《室内空气质量标准》GB/T18883有关规定。 本条在设计阶段可不参评。运行阶段的评价方法为审查相关室内空气质量检测报告,并进行现场调查、评价。 8.4.3 办公建筑所需要的最小新风量应根据室内空气的卫生要求、人员的活动和工作性质,以及在室内停留时间等因素确定。卫生要求的最小新风量,办公建筑主要是对CO2的浓度要求(可吸入颗粒物的要求可通过过滤等措施达到)。 表10所示的办公建筑主要房间人员所需的最小新风量是根据现行国家标准《旅游旅馆建筑热工与空气调节节能设计标准》GB 50189、《公共场所卫生标准》GB 9663~GB 9673、《饭馆(餐厅)卫生标准》GB 16153、《室内空气质量标准》GB/T18883的相关规定得到的,其中对于有分级要求的,室内新风量实测值达到最低一级数值即可满足本标准的该条要求。
8.4.4 为确保引入室内的为室外新鲜空气,新风采气口的上风向不能有污染源;提倡新风直接入室,缩短新风风管的长度,减少途径污染。 本条的评价方法为审核环评报告和空调系统施工图纸。 8.4.5 由于吸烟危害健康并会对室内空气带来污染,因此应在建筑中采取禁烟措施,或采取措施尽量避免室内用户以及送回风系统直接暴露在吸烟环境中,具体措施包括设计负压吸烟室,或者整座大楼禁止吸烟等(即只能到室外吸烟)。 本条的评价方法为现场核查是否设有专门吸烟室或其他禁烟措施。 8.4.6 为保护人体健康,预防和控制室内空气污染,可在人群密集或重要环境进行环境质量预评估。室内空气质量预评估是根据工程项目设计方案的内容,运用科学的评价方法,依据国家法律、法规及行业标准,分析、预测该工程项目建成后存在的危害室内环境质量因素的种类和危害程度,提出科学、合理和可行的技术对策措施,作为该工程项目改善设计方案和项目建筑材料遴选的主要依据,供进行绿色健康监理时参考。室内空气质量预评估是保证建筑装修装饰工程建成后具有良好的室内环境质量的一个重要步骤,一般是在室内装修施工之前,针对建筑装饰装修设计方案和选择的建材部品,综合考虑污染源位置和散发特性、通风和气流组织情况、净化设施的净化性能等对室内空气质量的影响,通过合理的累加计算或模拟分析计算,对建成后的室内空气质量进行估算,并与现行国家标准《室内空气质量标准》GB/T18883等的相关要求进行比较,给出室内空气质量的综合评价结论即预评估结论和改进建议等。在装饰装修设计中,采用合理的预评估方法,从源头实现室内污染控制,或采取其他保障措施。 本条的评价方法为审核是否有室内空气质量的预评估报告,评价其合理性。 8.4.7、8.4.8 为保护人体健康,预防和控制室内空气污染,可在人群密集或重要的功能房间设计和安装室内污染物监控系统,利用传感器对室内主要位置的温湿度、二氧化碳、空气污染物浓度等进行数据采集和分析;也可同时检测进、排风设备的工作状态,并与室内空气污染监控系统关联,实现自动通风调节,保证室内始终处于健康的空气环境。室内污染监控系统应能够将所采集的有关信息传输至计算机或监控平台,实现对公共场所空气质量的采集、数据存储、实时报警,历史数据的分析、统计,处理和调节控制等功能,保障场所良好的空气质量。 上述两条设计阶段的评价方法为查阅暖通空调及电气设计说明,并查阅设计图纸。运行阶段的评价方法为审查主要房间新风检测报告,以及地下车库的一氧化碳检测报告,并检查新风、自控是否落实设计意图。 8.5 其他要求可选项 8.5.1 建筑入口和主要活动空间宜设有无障碍设施。 条文说明
第8.5.1~8.5.3条主要评价建筑的功能性,包括建筑设计和设施是否能为建筑用户(包括特殊群体)提供便捷舒适的使用空间,以提高工作效率及保证用户的健康等。8.5.1 为了不断提高建筑的质量和功能性,保证残疾人、老年人和儿童进出的方便,体现建筑整体环境的人性化,鼓励在建筑入口、电梯、卫生间等主要活动空间设置无障碍设施。 本条设计阶段的评价方法为查阅设计图纸。运行阶段应进行现场核查。 8.5.2 办公工作较为紧张,信息化的发展使得注目于电脑屏幕的工作几率增加,故从人文关怀的角度,有必要在办公环境中营造相对闲适的氛围,建立室内与室外的联系,缓解使用者紧张情绪,进而提高工作效率。鼓励主要功能房间的设计合理考虑室外景观的可欣赏性,设有能让使用者观看室外景观的大小适中的窗户。但考虑到对节能的影响,建议合理设置观景窗大小,不鼓励设置大面积的飘窗、落地窗等。 具体计算方法:在平面视图里从视野窗户画出的视线所包含的面积,视线可以穿越透明的隔墙或内窗;对于独立单人办公室,如果75%达标可认为所有面积达标;地下如果有可以看到室外视野的,计算面积百分比的时候其面积仅仅计入分子同时可以乘以1.5的权重系数,分母不加。 本条设计阶段的评价方法为查阅设计图纸和相关的分析、计算报告。运行阶段应进行现场核查。 8.5.3 为缓解使用者紧张的工作情绪,同时为人员交流提供更加休闲、舒适的空间,鼓励在公共场所设置专门的休憩空间和绿化空间,提高公共空间的人文关怀和亲切感。 本条设计阶段的评价方法为查阅设计图纸。运行阶段应进行现场核查。 9 运营管理9.1 管理制度 9.1 管理制度控制项 9.1.1 物业管理组织架构设置合理,人员及专业应配备齐全,岗位职责明确。 可选项 9.1.3 物业管理单位宜通过ISO 9001质量管理体系及ISO 14001环境管理体系认证。 条文说明
9.1.1 建筑的物业管理,涉及建设、安全、供水、排水、供热、燃气、电力、电信等诸多行业及专业的综合管理。绿色办公建筑的物业管理除应有传统物业管理服务内容外,还应具有节能、节水、节材、保护环境以及智能化系统的管理维护、功能应用等绿色物业管理的主要内容。合理的物业管理组织架构及完整的管理体系,是建筑物业管理的重要基础,是保障绿色建筑运行效能,实现节能、节水、节材与保护环境的重要环节。本条的评价主要应了解物业管理组织机构设置是否清晰合理,岗位职责是否明确,管理人员配备和操作技术证书是否齐全,应具有节能、节水、节材、保护环境、智能化系统管理维护及功能应用等绿色建筑物业管理主要内容。 本条在设计阶段不参评。运行阶段的评价方法为查看相关体系文件、管理文档、管理人员配备情况和操作技术证书,并进行现场核实。 9.1.2 物业管理公司应提交节能、节水、节材与绿化管理制度,并说明实施效果。节能管理制度主要包括节能管理模式、收费模式等;节水管理制度主要包括梯级用水原则和节水方案;耗材管理制度主要包括建筑、设备、系统的维护制度和耗材管理制度等;绿化管理制度主要包括绿化用水的使用及计量,各种杀虫剂、除草剂、化肥、农药等化学药品的规范使用等;垃圾管理制度主要包括垃圾的分类收集、垃圾处理等管理制度。 本条在设计阶段不参评。运行阶段的评价方法为查看相关体系文件、管理文档及日常管理记录等,并进行现场核实。 9.1.3 ISO 9001质量体系认证是一种具有科学性的质量管理和质量保证方法和手段,可以提高内部管理水平。目前多数物业公司基本通过该体系认证。 ISO 14001环境管理标准,主要针对企业在生产和服务的过程中通过环境因素的分析,针对重要环境因素制定环境目标和环境管理方案,定期对环境运行情况监控,将最终的环境影响降到最低。物业管理符合ISO14001环境管理标准保证了建筑的绿色和可持续发展理念。 本条在设计阶段不参评。运行阶段的评价方法为查看相关证书。 9.1.4 采用合同能源管理、绩效考核等方式,使物业的管理业绩与建筑用能效率、耗水量等情况挂钩,是实现管理节能的重要手段。在保证建筑的使用性能要求的前提下,激励物业的经济效益与建筑用能系统的耗能状况、用水量、耗材等情况直接挂钩。 本条在设计阶段不参评。运行阶段的评价方法为审核物业部门提交的资源能源管理制度、与业主之间的具有资源节约激励机制内容的合同、日常管理记录等。 9.1.5 绿色办公建筑所要求的节能、节水、节材与环境保护,其最后效果如何,在很大程度上仍取决于人们的主观认识及行为模式。物业管理部门应与业主共同制定相关行为规范,通过各种培训与宣传活动,并加强跟踪与检查,使资源节约与环境保护最终成为人们的自觉行为。 本条在设计阶段不参评。运行阶段的评价方法为审核物业部门提交的资源节约与环境保护相关行为规范、宣传与培训记录、日常管理与检查记录等,并现场核实。 9.1.6 绿色办公建筑的运行管理应以人为本。绿色建筑最终是为人服务的,为使用者提供高效、舒适、节能环保的办公环境。在评价绿色办公建筑的各项指标中应有对建筑中各使用人群的满意度调查,关注使用者的直接感受。发现不足并通过持续改进,完善绿色办公建筑的各项管理。 本条在设计阶段不参评。运行阶段的评价方法为审核相关满意度调查记录、物业部门提供的改进措施与记录,并现场核实。
9.2 资源管理与运行维护控制项 9.2.1 建筑能耗和水耗应实行分类、分项计量与分用户计量收费,有完整的记录、分析与管理。 可选项 9.2.2 物业管理宜采用信息化手段,并建立有完善的建筑工程、设施、设备、部品等的档案及记录。 条文说明
9.2.1 建筑物中的分类能耗包括:电量、水耗量、燃气量、集中供热耗热量、集中供冷耗冷量和其他能源应用量(如集中热水供应量及煤、油、可再生能源等)。用电分项计量分为动力用电、空调用电、照明及插座用电、特殊用电四大项。实行分类、分项计量对于了解绿色办公建筑的能耗构成,找出耗能重点环节,实行精细化的用能管理具有重要意义。在办公建筑中按用户实行计量收费,使用户的耗能与经济利益直接挂钩,对于规范人的节能行为模式、促进节能管理具有直接的作用。物业管理应有对能耗、水耗等数据逐月的完整记录与对比分析,持续改进运行模式与节能管理。 本条在设计阶段不参评。运行阶段的评价方法为现场核查分类、分项计量装置的设置情况,审核物业管理措施及管理记录、能耗与水耗的数据统计分析报告等,并抽查物业管理合同。 9.2.2 信息化管理是实现绿色建筑物业管理定量化、精细化的重要手段,对保障建筑的安全、舒适、高效及节能环保的运行效果,提高物业管理水平和效率,具有重要作用。 通过对部分办公建筑运营管理现状的调研分析,发现不同程度均存在工程图纸资料、设备、设施、配件等档案资料不全的情况,对运营管理、维修、改造等带来不便。部分设备、设施、配件需要更换时,往往由于找不到原有型号规格、生产厂家等资料,只能采用替代产品,就会带来由于不适配而需要另外改造的问题。采用信息化手段建立完善的建筑工程及设备、配件档案及维修记录是完全必要的。 本条在设计阶段不参评。运行阶段的评价方法为现场核查物业管理的信息化应用情况,建筑工程图纸资料、设备、设施、配件等档案资料的管理情况,设备、设施的维修记录管理情况等。 9.2.3 本条参照国家标准《智能建筑设计标准》GB/T 50314。建筑智能化系统主要包括信息设施、信息化应用、建筑设备管理、公共安全及智能化集成等子系统。绿色办公建筑的智能化系统定位应合理,采用的技术先进、实用、可靠,宜符合现行国家标准《智能建筑设计标准》GB/T50314的附录A中对办公建筑智能化系统配置的基本要求,信息设施系统、安全防范系统、设备管理系统等功能完善。此外,建筑智能化系统的设计应同时满足建筑使用功能的需求,为建筑运行发挥实际作用。 本条在设计阶段需参评,评价方法为审查智能化系统方案、系统功能的详细说明及设计图纸,关注智能化系统的设计和配置情况。运行阶段的评价方法为核查建筑智能化系统第三方检测报告、竣工验收资料、物业管理部门提供的智能化系统运行数据的记录及分析,并现场核实和抽样检查。 9.2.4 建筑设备监控系统是保障通风、空调、照明等重点耗能机电设备节能运行的重要措施。在现行国家标准《智能建筑设计标准》GB/T 50314、《公共建筑节能设计标准》GB50189、《建筑节能工程施工质量验收规范》GB50411以及行业标准《公共建筑节能检测标准》JGJ 177、《公共建筑节能改造技术规范》JGJ 176、《供热计量技术规程》JGJ173中都明确提出了公共建筑应实现的基本功能和节能控制功能,其功能应满足设计和规范的要求。目前多数建筑设备监控系统实现了基本的监测及启停控制功能,但节能控制上尚存在很大差距,在实际应用中应大力提倡和推广应用节能控制功能,使建筑设备监控系统的投资产生最大节能和经济效益。 本条在设计阶段不参评。运行阶段的评价方法为核查建筑智能化系统第三方检测报告、竣工验收资料、建筑设备监控系统运行记录及分析,并现场核实和抽样检查设计功能的实现情况。 9.2.5 对于绿色办公建筑中空调、风机、水泵、电梯、照明、变配电及智能化系统等设备,物业部门应根据本建筑中各系统的具体形式建立具体合理的运行、检测、维护保养措施,对突发事件有应急响应处理措施。历史运行数据及处理记录应保存完好。 本条在设计阶段不参评。运行阶段的评价方法为审核物业管理部门提供的设备、设施的维护保养制度与措施,现场核查措施的落实情况,关注运行数据及处理记录的保存情况。 9.2.6 物业管理承担建筑的供水、供电、供气、供热、通信、有线电视等相关管线维护工作,管线敷设应符合相关规范要求,涉及的增加或变更内容应做好记录。物业管理应有对室内外管线的定期巡查。 建筑中设备、管道的使用寿命普遍短于建筑结构的寿命,因此各种设备、管道的布置应方便将来的维修、改造和更换。可通过将管井设置在公共部位等措施,减少对用户的干扰。属公共使用功能的设备、管道应设置在公共部位,以便于日常维修与更换。 本条在设计阶段需参评,评价方法为审查给排水、暖通、电气等专业设计图纸及说明,关注设备、管线等设置的可维护性和合理性。运行阶段的评价方法为现场核查设备、管线等的设置情况,关注机房、设备、管线等是否标识清楚,便于查找和维护。 9.2.7 空调系统开启前,应对系统的过滤器、表冷器、加热器、加湿器、冷凝水盘进行全面检查、清洗或更换,保证空调送风风质符合国家标准《室内空气中细菌总数卫生标准》GB17093的要求。空调系统清洗的具体方法和要求参见国家标准《空调通风系统清洗规范》GB 19210。 各种灯具在使用一段时间后会产生积尘,降低照度,应定期进行清洁。当光源使用时间过长,也会有较大光衰,即使能点亮,但使用起来很不经济。应对室内照度定期检测,当照度值达不到要求时,应及时更换光源。 本条在设计阶段不参评。运行阶段的评价方法为审核物业管理部门提供的对空调通风系统的管理措施和维护记录,对照明灯具的维护措施及照度检测记录等,并进行现场核实。 9.2.8 自行车免费或租赁服务,对改善城市道路环境条件、缓解交通压力、促进节能减排都起到了积极的作用。鼓励单位专用停车场在节假日或夜间向社会开放,可有效利用公共资源,解决停车位紧缺问题。 本条在设计阶段不参评。运行阶段的评价方法为现场核查自行车服务设施的设置及管理情况;审核物业部门对内部停车场对外开放的管理制度与措施,现场核实措施的落实情况及效果。
9.3 环境管理控制项 9.3.1 建筑运营管理过程中噪声检测达标,无不达标废气、废水排放;危险废弃物按规定处置率应达到100%。 9.3.2 建筑中应配置垃圾分类收集设施,垃圾容器设置合理,垃圾处理间应设有风道或排风、冲洗和排水设施,并定期清洗。 可选项 9.3.3 垃圾分类收集率宜达到90%以上。 9.3.4 设有餐厅或厨房的办公建筑,宜对餐厨垃圾进行单独收集,并及时清运。 9.3.5 栽种和移植的树木成活率宜大于90%,且植物生长状态良好。 9.3.6 病虫害防治宜采用无公害防治技术,规范化学药品的使用,避免对土壤和地下水环境的损害。 条文说明
9.3.1 建筑运营过程中会产生噪声、废水和废气,为此需要通过选用先进的设备和材料或其他方式,通过合理技术措施和管理手段,降低噪声对环境的影响,杜绝建筑运营过程中废水和废气的不达标排放;建筑内如有危险废弃物,必须全部严格按相关规定进行处置。本条在设计阶段不参评。运行阶段的评价方法为审查项目的环评报告和排放处理记录,并进行现场核实。 9.3.2 绿色建筑应配备垃圾分类收集设施,并由专人负责垃圾分类收集管理,应采用分类收集垃圾的容器。 垃圾容器设置应人性化,一般设在隐蔽位置,能满足使用要求且不影响建筑内外环境,垃圾容器分为固定式和移动式两种,其规格应符合国家有关标准的规定,并应每天专人清洗干净。重视垃圾站(间)的景观美化及环境卫生问题,用以提升生活环境的品质。垃圾站(间)设冲洗和排水设施,存放垃圾能及时清运,不污染环境,不散发臭味。 本条在设计阶段需参评,评价方法为审查相关设计图纸及详细说明。运行阶段的评价方法为审核物业部门提供的垃圾管理制度及日常管理记录等,并进行现场核实。 9.3.3 垃圾分类收集应在源头将垃圾分类投放,并通过分类的清运和回收使之分类处理,重新变成资源,同时便于处理有毒有害物质,减少垃圾的处理量,减少运输和处理过程中的成本。在许多发达国家,垃圾资源回收产业在产业结构中占有重要的位置,甚至利用法律约束人们必须分类放置垃圾。 现行国家标准《生活垃圾分类标志》GB/T 19095及行业标准《城市生活垃圾分类及其评价标准》CJJ/T102中将生活垃圾分为六大类:可回收物、大件垃圾、可堆肥垃圾、可燃垃圾、有害垃圾、其他垃圾。其中可回收物主要包括纸类、塑料、金属、玻璃、织物等;大件垃圾主要包括废家电和家具等;可堆肥垃圾主要包括易腐食物类餐厨垃圾、可堆沤植物类垃圾等;有害垃圾主要包括废电池、废灯管、废油漆、废日用化学品、过期药品等;可燃垃圾主要包括可以燃烧的植物类垃圾、不适宜回收的废橡胶、废木料等;其他垃圾是指以上分类以外的所有垃圾。 绿色办公建筑的垃圾分类收集,应根据当地城市环境卫生专业规划要求,结合建筑本身运营过程中产生的垃圾的种类、特性等选择适宜的分类方法。 本条要求垃圾分类收集率达90%以上。 本条在设计阶段不参评。运行阶段的评价方法为审查物业管理部门提交的垃圾管理制度、垃圾处理记录等,并进行现场核实。 9.3.4 餐厨垃圾,这里是指除居民日常生活以外的饮食服务、单位供餐等活动中产生的食物残余和废弃食用油脂。为避免餐厨垃圾的管理无序、任意处置问题,对设有餐厅或厨房的办公建筑,餐厨垃圾产生单位应当设置符合标准的容器,用于存放餐厨垃圾,并应当按照环境保护管理的有关规定,设置油水分离器或者隔油池等污染防治设施。禁止将餐厨垃圾直接排入下水道或擅自从事餐厨垃圾收集、运输、处理。餐厨垃圾应由符合要求的专门机构或企业进行处理,并在收集、清运过程中无二次污染。 对于未设置厨房或餐厅的办公建筑,本条可不参评。 本条在设计阶段需参评,评价方法为审查相关设计图纸及详细说明。运行阶段的评价方法为审核物业部门提供的垃圾管理制度及日常管理记录等,并进行现场核实。 9.3.5 对行道树、花灌木、绿篱等应定期修剪,草坪应及时修剪。应做好树木病虫害预测、防治工作,做到树木无暴发性病虫害,保持草坪、地被的完整,保证树木有较高的成活率,老树成活率达98%,新栽树木成活率达85%以上。发现危树、枯死树木及时处理。 本条参照现行国家标准《绿色建筑评价标准》GB/T50378。 本条设计阶段不参评。运行阶段的评价方法为审核物业部门提交的绿化管理制度和绿化养护记录等,并进行现场核实。 9.3.6 本条要求采用无公害的病虫害防治技术,规范杀虫剂、除草剂、化肥、农药等化学药品的使用。 病虫害的发生和蔓延,直接导致树木生长质量下降,破坏生态环境和生物多样性。应加强预测预报,严格控制病虫害的传播和蔓延。要增强病虫害防治工作的科学性,坚持生物防治和化学防治相结合的方法,科学使用化学农药。大力推行生物制剂、仿生制剂等无公害防治技术,提高生物防治和无公害防治比例,保证人畜安全,保护有益生物,防止环境污染,促进生态可持续发展。 本条设计阶段不参评。运行阶段的评价方法为审核物业部门提交的相关管理制度及化学药品的进货清单与使用记录,并进行现场核实。 附录A 绿色办公建筑评价指标权重设置表A.0.1 “节地与室外环境”部分的各级评价指标权重系数应按表A.0.1确定。 表A.0.1 “节地与室外环境”部分的各级评价指标权重系数
续表A.0.1
注:1 控制项不设权重及得分,用“—”表示; 2 当场地内不存在需要保护的水体时,第4.5.3条不参评; 3 当场地内无设计水景时,第4.5.7条不参评。 A.0.2 “节能与能源利用”部分的各级评价指标权重系数应按表A.0.2确定。 表A.0.2 “节能与能源利用”部分的各级评价指标权重系数
续表A.0.2
注:1 控制项不设权重及得分,用“—”表示; 2 第5.3.2条与第5.3.3、5.3.4、5.3.5条不重复参评。 A.0.3 “节水与水资源利用”部分的各级评价指标权重系数应按表A.0.3确定。 表A.0.3 “节水与水资源利用”部分的各级评价指标权重系数
续表A.0.3
注:1 控制项不设权重及其得分,用“—”表示; 2 第6.3.3条与第6.3.4、6.3.5条不重复参评。 A.0.4 “节材与材料资源利用”部分的各级评价指标权重系数应按表A.0.4确定。 表A.0.4 “节材与材料资源利用”部分的各级评价指标权重系数
续表A.0.4
注:1 控制项不设权重及得分,用“—”表示; 2 设计阶段不参评项用“×”表示; 3 第7.1.2、7.1.3、7.1.6条三者不重复参评;第7.2.2条与第7.2.3、7.2.4、7.2.5、7.2.6、7.2.7条不重复参评;第7.3.6条与第7.3.7条不重复参评。 A.0.5 “室内环境质量”部分的各级评价指标权重系数应按表A.0.5确定。 表A.0.5 “室内环境质量”部分的各级评价指标权重系数
续表A.0.5
注:1 控制项不设权重及得分,用“—”表示; 2 设计阶段不参评项用“×”表示; 3 第8.2.3条与第8.2.4、8.2.5条不重复参评。 A.0.6 “运营管理”部分的各级评价指标权重系数应按表A.0.6确定。 表A.0.6 “运营管理”部分的各级评价指标权重系数
续表A.0.6
注:1 控制项不设权重及其得分,用“—”表示; 2 设计阶段不参评项用“×”表示; 3 在设计阶段,当第9.3.4条不参评时,二级Q指标9.2的权重系数调整为1.00; 4 在运行阶段,当第9.3.4条不参评时,三级Q指标第9.3.3,9.3.5,9.3.6条的权重系数分别调整为0.50,0.25,0.25。 附录B 第三级评价指标分值设置表B.0.1 “节地与室外环境”部分第三级评价指标分值应按表B.0.1确定。 表B.0.1 “节地与室外环境”部分第三级评价指标分值设置
续表B.0.1
续表B.0.1
续表B.0.1
续表B.0.1
续表B.0.1
续表B.0.1
续表B.0.1
续表B.0.1
续表B.0.1
B.0.2 “节能与能源利用”部分第三级评价指标分值应按表B.0.2确定。 表B.0.2 “节能与能源利用”部分第三级评价指标分值设置
续表B.0.2
续表B.0.2
续表B.0.2
续表B.0.2
续表B.0.2
续表B.0.2
续表B.0.2
续表B.0.2
续表B.0.2
续表B.0.2
B.0.3 “节水与水资源利用”部分第三级评价指标分值应按表B.0.3确定。 表B.0.3 “节水与水资源利用”部分第三级评价指标分值设置
续表B.0.3
续表B.0.3
续表B.0.3
续表B.0.3
续表B.0.3
B.0.4 “节材与材料资源利用”部分第三级评价指标分值应按表B.0.4确定。 表B.0.4 “节材与材料资源利用”部分第三级评价指标分值设置
续表B.0.4
续表B.0.4
续表B.0.4
续表B.0.4
续表B.0.4
续表B.0.4
续表B.0.4
B.0.5 “室内环境质量”部分第三级评价指标分值应按表B.0.5确定。 表B.0.5 “室内环境质量”部分第三级评价指标分值设置
续表B.0.5
续表B.0.5
续表B.0.5
续表B.0.5
续表B.0.5
续表B.0.5
续表B.0.5
续表B.0.5
续表B.0.5
B.0.6 “运营管理”部分第三级评价指标分值应按表B.0.6确定。 表B.0.6 “运营管理”部分第三级评价指标分值设置
续表B.0.6
续表B.0.6
续表B.0.6
续表B.0.6
续表B.0.6
本标准用词说明1 为了便于执行本标准条文时区别对待,对要求严格程度不同的用词说明如下: 1)表示很严格,非这样做不可的用词: 正面词采用“必须”,反面词采用“严禁”; 2)表示严格,在正常情况下均应这样做的用词: 正面词采用“应”,反面词采用“不应”或“不得”; 3)表示允许稍有选择,在条件允许时首先应这样做的用词: 正面词采用“宜”,反面词采用“不宜”; 4)表示有选择,在一定条件下可以这样做的用词,采用“可”。 2 本标准中指明应按其他有关标准执行的写法为:“应符合……的规定”或“应按……执行”。 引用标准名录1 《建筑采光设计标准》GB/T 50033 2 《建筑照明设计标准》GB 50034 3 《民用建筑隔声设计规范》GB 50118 4 《公共建筑节能设计标准》GB 50189 5 《智能建筑设计标准》GB/T 50314 6 《民用建筑工程室内环境污染控制规范》GB 50325 7 《绿色建筑评价标准》GB/T 50378 8 《声环境质量标准》GB 3096 9 《建筑材料放射性核素限量》GB 6566 10 《室内装饰装修材料 人造板及其制品中甲醛释放限量》GB 18580 11 《室内装饰装修材料溶剂型木器涂料中有害物质限量》GB 18581 12 《室内装饰装修材料内墙涂料中有害物质限量》GB 18582 13 《室内装饰装修材料胶粘剂中有害物质限量》GB 18583 14 《室内装饰装修材料木家具中有害物质限量》GB 18584 15 《室内装饰装修材料壁纸中有害物质限量》GB 18585 16 《室内装饰装修材料聚氯乙烯卷材地板中有害物质限量》GB 18586 17 《室内装饰装修材料地毯、地毯衬垫及地毯胶粘剂中有害物质释放限量》GB 18587 18 《混凝土外加剂中释放氨的限量》GB 18588 19 《室内空气质量标准》GB/T 18883 20 《空调通风系统清洗规范》GB 19210 21 《城市夜景照明设计规范》JGJ/T 163 22 《玻璃幕墙光学性能》GB/T 18091 23 《民用建筑热工设计规范》GB 50176
|
2. 盗版,破解有损他人权益和违法作为,请各位站长支持正版!

国家标准(推荐)