前言中华人民共和国国家标准 建筑碳排放计算标准 Standard for building carbon emission calculation GB/T 51366 - 2019 主编部门:中华人民共和国住房和城乡建设部 批准部门:中华人民共和国住房和城乡建设部 施行日期:2019年12月1日 中华人民共和国住房和城乡建设部公告 2019年第101号 住房和城乡建设部关于发布国家标准《建筑碳排放计算标准》的公告 现批准《建筑碳排放计算标准》为国家标准,编号为GB/T51366-2019,自2019年12月1日起实施。本标准在住房和城乡建设部门户网站(www.mohurd.gov.cn)公开,并由住房和城乡建设部标准定额研究所组织中国建筑工业出版社出版发行。 中华人民共和国住房和城乡建设部 2019年4月9日 前言根据住房和城乡建设部《关于印发〈2014年工程建设标准规范制订、修订计划〉的通知》(建标[2013]169号)的要求,标准编制组经广泛调查研究,认真总结实践经验,参考有关国际标准和国外先进标准,并在广泛征求意见的基础上,编制了本标准。本标准的主要技术内容是:1.总则;2.术语和符号;3.基本规定;4.运行阶段碳排放计算;5.建造及拆除阶段碳排放计算;6.建材生产及运输阶段碳排放计算。 本标准由住房和城乡建设部负责管理,由中国建筑科学研究院有限公司负责具体技术内容的解释。执行过程中如有意见或建议,请寄送中国建筑科学研究院有限公司(地址:北京市北三环东路30号,邮编:100013)。 本标准主编单位:中国建筑科学研究院有限公司 中国建筑标准设计研究院有限公司 本标准参编单位:中国建筑技术集团有限公司 四川大学 北京华通三可咨询有限公司 清华大学 中国建材检验认证集团股份有限公司 中国质量认证中心 中国标准化研究院 深圳市建筑科学研究院股份有限公司 北京建筑技术发展有限责任公司 北京环境交易所有限公司 广州碳排放权交易中心有限公司 北京天正软件股份有限公司 四川华构住宅工业有限公司 中建三局第一建设工程有限责任公司 北京金茂绿建科技有限公司 成都亿科环境科技有限公司 本标准主要起草人员:徐伟 李本强 张时聪 王建军 王洪涛 王侃宏 孙德宇 蒋荃 鲁传一 佟庆 马丽萍 韩建军 陈建华 刘俊跃 罗淑湘 邹毅 保佶 何更新 窦春伦 候键频 车大桥 尹奎 左建波 张莉 本标准主要审查人员:徐宏庆 孟庆林 冯雅 白泉 葛坚 曹永敏 王云新 闫增峰 鲍宇清 1 总则1.0.1为贯彻国家有关应对气候变化和节能减排的方针政策,规范建筑碳排放计算方法,节约资源,保护环境,制定本标准。1.0.2本标准适用于新建、扩建和改建的民用建筑的运行、建造及拆除、建材生产及运输阶段的碳排放计算。 1.0.3建筑碳排放计算除应符合本标准外,尚应符合国家现行有关标准的规定。 条文说明 1.0.1 根据联合国环境规划署计算,建筑行业消耗了全球大约30%~40%的能源,并排放了几乎占全球30%的温室气体,如果不提高建筑能效,降低建筑用能和碳排放,到2050年建筑行业温室气体排放将占总排放量的50%以上。随着我国城镇化进程的不断深入和人民生活水平的日益提高,建筑能耗不断攀升。提升建筑能效,降低建筑能耗,发展清洁能源、可再生能源在建筑中的应用技术是未来建筑领域低碳减排的必要途径,也将是我国实现碳减排目标的重要手段。中国应对气候变化国家自主贡献文件《强化应对气候变化行动——中国国家自主贡献》确定二氧化碳排放2030年左右达到峰值并争取尽早达峰,单位国内生产总值二氧化碳排放比2005年下降60%~65%。 通过本标准相关计算方法和计算因子规范建筑碳排放计算,引导建筑物在设计阶段考虑其全生命期节能减碳,增强建筑及建材企业对碳排放核算、报告、监测、核查的意识,为未来建筑物参与碳排放交易、碳税、碳配额、碳足迹,开展国际比对等工作提供技术支撑。 1.0.2 通过对不同建筑设计方案的全生命期碳排放量进行计算比较,可优选建筑设计方案、能源系统方案和低碳建材,为建筑物低碳建造和运行提供技术依据。 2 术语和符号2.1 术语2.2 符号 2.1 术语2.1.1 建筑碳排放building carbon emission建筑物在与其有关的建材生产及运输、建造及拆除、运行阶段产生的温室气体排放的总和,以二氧化碳当量表示。 2.1.2 计算边界 accounting boundary 与建筑物建材生产及运输、建造及拆除、运行等活动相关的温室气体排放的计算范围。 2.1.3 碳排放因子 carbon emission factor 将能源与材料消耗量与二氧化碳排放相对应的系数,用于量化建筑物不同阶段相关活动的碳排放。 2.1.4 建筑碳汇 carbon sink of buildings 在划定的建筑物项目范围内,绿化、植被从空气中吸收并存储的二氧化碳量。 2.1.5 全球变暖潜值 global warming potential 在固定时间范围内1kg物质与1kg二氧化碳(CO2)的脉冲排放引起的时间累积辐射力的比率。 条文说明 2.1.1 温室气体是指大气层中自然存在的和由于人类活动产生的能够吸收和散发由地球表面、大气层和云层所产生的、波长在红外光谱内的辐射波的气态成分。温室气体包括但不限于二氧化碳(CO2)、甲烷(CH4)、氧化亚氮(N2O)、氢氟碳化物(HFCs)、全氟碳化物(PFCs)和六氟化硫(SF6)。建筑建造、运行、拆除过程中产生的温室气体主要为CO2,其计算结果通常使用kgCO2;建材生产和运输及制冷剂排放的温室气体包括各种温室气体,其碳排放强度通常使用二氧化碳当量(kgCO2e)表示。CO2为人类活动最常产生的温室效应气体,为了统一度量整体温室效应的结果,规定以kgCO2e为度量温室效应的基本单位。二氧化碳当量(kgCO2e)指与一定质量的某种温室气体具有相同温室效应的CO2的质量,是可用于比较不同温室气体对温室效应影响的度量单位。 通常可采用单位面积建筑碳排放量对不同建筑设计方案和不同建筑物之间的碳排放进行比较,单位面积建筑碳排放量由建筑碳排放除以建筑面积得到。 2.1.2 建筑物从建材原料开采到寿命完结,时间周期长,产业链长。为保证在建筑碳排放计算过程中,不出现与建材工业碳排放计算、交通运输碳排放计算等重叠,本标准对建材生产及运输、建造及拆除、建筑物运行三个阶段进行了明确的边界划分。 2.1.3 建筑物类型多样,建材数量众多,建造方式种类多,能源系统多样,有着“非标准化、难以复制重现”的特点,因此本标准选择相对普遍和通用的建材、建造方法,给出其碳排放因子,便于统一计算基准并进行结果比较。 2.1.5 全球变暖潜值为一种温室气体排放相对于等量于二氧化碳(CO2)排放所产生的气候影响的比较指标。时间累积通常可取100年。 2.2 符号2.2.1 几何尺寸A——建筑面积; Ac——太阳集热器面积; Ai——第i个房间照明面积; Ap——光伏系统光伏面板净面积; Aw——风机叶片迎风面积; D——风机叶片直径; Di——第i种建材平均运输距离。 2.2.2 碳排放量 Ccc——建筑拆除阶段单位建筑面积的碳排放量; Cp——建筑绿地碳汇系统年减碳量; CM——建筑运行阶段单位建筑面积碳排放量; Cr——建筑使用制冷剂产生的碳排放量; CJC——建材生产及运输阶段单位建筑面积的碳排放量; CJZ——建筑建造阶段单位建筑面积的碳排放量; Csc——建材生产阶段碳排放; Cys——建材运输过程碳排放。 2.2.3 能源供给、消耗量 Ee——年电梯能耗; Ei——建筑第i类能源年消耗量; Ecc——建筑拆除阶段能源用量; Ecc,i——建筑拆除阶段第i种能源总用量; Ecs——措施项目总能源用量; Ei,j——j类系统的第i类能源消耗量; Ejz——建筑建造阶段总能源用量; Ejz,i——建筑建造阶段第i种能源总用量; Ejj,i——第i个项目中,小型施工机具不列入机械台班消耗量,但其消耗的能源列入材料的部分能源用量; Efx——分部分项工程总能源用量; EFi——第i类能源的碳排放因子; E1——照明系统年能耗; Epv——光伏系统的年发电量; Estandby——电梯待机时能耗; ERi,j——j类系统消耗由可再生能源系统提供的第i类能源量; Ewt——风力发电机组的年发电量; Ew——生活热水系统年能源消耗; I——光伏电池表面的年太阳辐射照度; JT——太阳集热器采光面上的年平均太阳辐照量; Mi——第i种主要建材的消耗量; P——特定能量消耗; Pi,j——第j日第i个房间照明功率密度值; Pp——应急灯照明功率密度; Qcc,i——第i个拆除项目的工程量; Qr——生活热水年耗热量; Qrp——生活热水小时平均耗热量; Qs——太阳能系统提供的生活热水热量; Qs,a——太阳能热水系统的年供能量; Qfx,i——分部分项工程中第i个项目的工程量; Qcs,i——措施项目中第i个项目的工程量; qr——热水用水定额; Rj——第i个项目第j种施工机械单位台班的能源用量; Ti——第i种建材的运输方式下,单位重量运输距离的碳排放因子; Ti,j——第i个项目单位工程量第j种施工机械台班消耗量; TA-i,j——第i个措施项目单位工程量第j种施工机械台班消耗量; TB-i,j——第i个拆除项目单位工程量第j种施工机械台班消耗量。 2.2.4 计算系数 APD——年平均能量密度; CR(z)——依据高度计算的粗糙系数; EPF——根据典型气象年数据中逐时风速计算出的因子; Fi——第i种主要建材的碳排放因子; ffx,i——分部分项工程中第i个项目的能耗系数; fcs,i——措施项目中第i个项目的能耗系数; fcc,i——第i个拆除项目每计量单位的能耗系数; GWPr——制冷剂r的全球变暖潜值; KE——光伏电池的转换效率; KS——光伏系统的损失效率; m——用水计算单位数; KWT ——风力发电机组的转换效率; ηr——生活热水输配效率; ηw——生活热水系统热源年平均效率; ηcd——基于总面积的集热器平均集热效率; ηL——管路和储热装置的热损失率。 2.2.5 风速、温度、密度和时间 mr——制冷剂充注量; ti,j——第j日第i个房间照明时间; T——年生活热水使用小时数; ta——电梯年平均运行小时数; tr——设计热水温度; t1—设计冷水温度; ts——电梯年平均待机小时数; V——电梯速度; V0——年可利用平均风速; Vi——逐时风速; W——电梯额定载重量; y——建筑设计寿命; ye——设备使用寿命; ρ——空气密度; ρr——热水密度。 2.2.6 其他 KR——场地因子; r——制冷剂类型; z0——地表粗糙系数。 3 基本规定3.0.1 建筑物碳排放计算应以单栋建筑或建筑群为计算对象。3.0.2 建筑碳排放计算方法可用于建筑设计阶段对碳排放量进行计算,或在建筑物建造后对碳排放量进行核算。 3.0.3 建筑物碳排放计算应根据不同需求按阶段进行计算,并可将分段计算结果累计为建筑全生命期碳排放。 3.0.4 碳排放计算应包含《IPCC国家温室气体清单指南》中列出的各类温室气体。 3.0.5 建筑运行、建造及拆除阶段中因电力消耗造成的碳排放计算,应采用由国家相关机构公布的区域电网平均碳排放因子。 3.0.6 建筑碳排放量应按本标准提供的方法和数据进行计算,宜采用基于本标准计算方法和数据开发的建筑碳排放计算软件计算。 条文说明 3.0.1 本标准适用于单体建筑和同类相似建筑组成的建筑群的碳排放计算,不包括小区内管道计算。对建筑群,则可通过对各单体建筑碳排放进行合计。碳排放计算就是碳排放量计算。3.0.2 本标准强调通过计算得到建筑物的碳排放量,指对设计图纸、施工方案等技术材料中与碳排放有关的数据进行统计、计算和汇总,使用本标准给出的方法和因子,计算得到建筑碳排放量。建筑物实际碳排放量可在建筑物实际运行阶段通过计量获得。 3.0.3 建筑物在材料开发、生产、运输,施工及拆除,运行及维护等各阶段均产生碳排放,对环境造成影响,因此应进行全生命期碳排放计算,全面了解建筑物对自然界产生的影响。建筑全生命期有多种不同划分方法,本标准将其划分为建筑材料生产及运输、建造及拆除、建筑物运行三个阶段,根据所需计算的建筑全生命期的不同阶段的碳排放量,选择本标准中章节规定的计算边界和方法进行计算。需要说明的是,目前国际上所指建筑碳排放主要指建筑物运行阶段碳排放,本标准考虑建筑全生命期,也将建材生产及建筑物建造阶段纳入。较绿色建筑考虑建筑物从规划设计到施工,再到运行及最终拆除的全寿命期,增加了建材生产及运输环节,因此采用“建筑全生命期”一词。 3.0.4 根据《IPCC国家温室气体清单指南(2006年)》,与建筑碳排放相关的活动过程需要评估的温室气体包括二氧化碳(CO2)、甲烷(CH4)、氧化亚氮(N2O)、氢氟碳化物(HFCs)、全氟化碳(PFCs)和六氟化硫(SF6)等主要温室气体。 3.0.5 计算建筑因电力消耗造成碳排放时,应采用由国家发展和改革委员会(以下简称国家发改委)公布的区域电网平均碳排放因子。中国区域电网平均CO2排放因子应按表1选择,电网边界包括的地理范围按表2确认,不包括西藏自治区、香港特别行政区、澳门特别行政区和台湾省。 表1 2012年中国区域电网平均CO排放因子(kgCO/kWh)
表2 电网边界包括的地理范围
3.0.6 为保证建筑物碳排放量计算的科学性和一致性,应按本标准提供的方法和要求进行计算,为提高计算效率,也可使用基于本标准方法和数据开发的工具进行计算。为保证结果的时效性,可采用更新的数据进行计算。 4 运行阶段碳排放计算4.1 一般规定4.2 暖通空调系统 4.3 生活热水系统 4.4 照明及电梯系统 4.5 可再生能源系统 4.1 一般规定4.1.1 建筑运行阶段碳排放计算范围应包括暖通空调、生活热水、照明及电梯、可再生能源、建筑碳汇系统在建筑运行期间的碳排放量。4.1.2 碳排放计算中采用的建筑设计寿命应与设计文件一致,当设计文件不能提供时,应按50年计算。 4.1.3 建筑物碳排放的计算范围应为建设工程规划许可证范围内能源消耗产生的碳排放量和可再生能源及碳汇系统的减碳量。 4.1.4 建筑运行阶段碳排放量应根据各系统不同类型能源消耗量和不同类型能源的碳排放因子确定,建筑运行阶段单位建筑面积的总碳排放量(CM)应按下列公式计算:
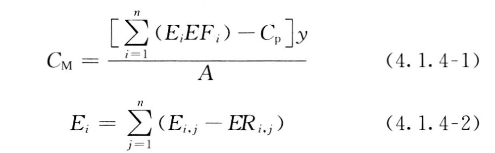
CM——建筑运行阶段单位建筑面积碳排放量(kgCO2/m2); Ei——建筑第i类能源年消耗量(单位/a); EFi——第i类能源的碳排放因子,按本标准附录A取值; Ei,j——j类系统的第i类能源消耗量(单位/a); ERi,j——j类系统消耗由可再生能源系统提供的第i类能源量(单位/a); i——建筑消耗终端能源类型,包括电力、燃气、石油、市政热力等; j——建筑用能系统类型,包括供暖空调、照明、生活热水系统等; Cp——建筑绿地碳汇系统年减碳量(kgCO2/a); y——建筑设计寿命(a); A——建筑面积(m2)。 条文说明 4.1.1 建筑物运行阶段的碳排放量涉及暖通空调、生活热水、照明等系统能源消耗产生的碳排放量及可再生能源系统产能的减碳量、建筑碳汇的减碳量的计算。在建筑碳排放边界将不同的能量消耗换算为建筑物的碳排放量,并进行汇总,最终获得建筑物的碳排放量。建筑碳汇主要来源于建筑红线范围内的绿化植被对二氧化碳的吸收,其减碳效果应该在碳排放计算结果中扣减。绿化植被减碳量受气候、生长环境、绿植种类、维护情况等因素影响,目前农林业已经开发相关的计算方法,例如国家林业局印发的《竹林项目碳汇计量与监测方法学》、《造林项目碳汇计量与监测指南》等,但针对建筑绿化植被碳汇方法学尚无官方方法学发布,可参照上述相关文件计算。 变配电、建筑内家用电器、办公电器、炊事等受使用方式影响较大的建筑碳排放不确定性大,这部分碳排放量在总碳排放量中占比不高,不影响对设计阶段建筑方案碳排放强度优劣的判断,国际上通用做法是建筑碳排放计算不纳入家用电器、办公电器、炊事等的碳排放量。 4.1.2 现行国家标准《民用建筑设计统一标准》GB50352对建筑设计使用年限划分为四类,见表3,其中普通建筑设计寿命为50年。 表3 设计使用年限分类
续表3
受建筑规划、建筑功能的调整及经济的发展等因素的影响,实际建筑的使用寿命存在较大的差异;与此同时,建筑部件(如保温材料、门窗)、建筑设备(如锅炉、冷水机组)的使用寿命一般小于建筑的使用寿命,在建筑的全寿命期内存在更换的可能。表4列出了常用建筑设备使用年限。 表4 常用建筑设备使用年限
4.1.3 计算范围是指输送到位于建设工程规划许可证中建筑红线证边界,为该建筑提供服务的能量转换与输送系统(如各种形式的发电系统、集中供热系统、集中供冷系统等)的燃煤、燃油、燃气、生物质能源、风能、太阳能等能源所产生的碳排放,见图1。
图1 建筑物运行阶段碳排放计算边界及范围的划分 4.1.4 建筑在运行阶段的用能系统消耗电能、燃油、燃煤、燃气等形式的终端能源,建筑总用能根据不同类型的能源进行汇总,再根据不同能源的碳排放因子计算出建筑物用能系统的碳排放量。另外,在建筑全寿命期内,可再生能源替代常规能源的使用,减少建筑物的碳排放量,该部分应在建筑对应用能系统的常规能源消耗量中直接扣除,当可再生系统的供能量大于能源系统的常规能源消耗量并对外输送时,计算结果为负值,可在建筑物的总碳排放量中核减。建筑场地内的绿化碳汇产生减碳量在建筑碳排放量中进行核减。 在计算建筑物运行阶段碳排放量时,计算结果为建筑生命期内单位面积碳排放量。 4.2 暖通空调系统4.2.1 暖通空调系统能耗应包括冷源能耗、热源能耗、输配系统及末端空气处理设备能耗。4.2.2 暖通空调系统能耗计算方法应符合下列规定: 1 应采用月平均方法计算年累计冷负荷和累计热负荷; 2 应分别设置工作日和节假日室内人员数量、照明功率、设备功率、室内设定温度、供暖和空调系统运行时间; 3 应根据负荷计算结果和室内环境参数计算供暖和供冷起止时间; 4 应反映建筑外围护结构热惰性对负荷的影响; 5 负荷计算时应能够计算不少于10个建筑分区; 6 应计算暖通空调系统间歇运行对负荷计算结果的影响; 7 应考虑能源系统形式、效率、部分负荷特性对能耗的影响; 8 计算结果应包括负荷计算结果、按能源类型输出系统能耗计算结果; 9 建筑运行参数可参照本标准附录B的建筑物运行特征确定。 4.2.3 建筑碳排放计算模型中建筑分区应考虑建筑物理分隔、建筑区域功能、为分区提供服务的暖通空调系统、区域内采光(通过外窗或天窗)情况。 4.2.4 年供暖(供冷)负荷应包括围护结构的热损失和处理新风的热(冷)需求;处理新风的热(冷)需求应扣除从排风中回收的热量(冷量)。 4.2.5 建筑碳排放计算中建筑室内环境计算参数应与设计参数一致,并应符合国家现行相关标准的要求。 4.2.6 建筑碳排放计算气象参数的选取应符合现行行业标准《建筑节能气象参数标准》JGJ/T346的规定。 4.2.7 建筑碳排放计算应定义建筑围护结构,围护结构的热工性能及构造做法应与设计文件一致。 4.2.8 建筑碳排放计算中应分别计算建筑累积冷负荷和累积热负荷。 4.2.9 建筑碳排放计算中的累积冷热负荷应根据下列内容确定: 1 通过围护结构传入的热量; 2 透过透明围护结构进入的太阳辐射热量; 3 人体散热量; 4 照明散热量; 5 设备、器具、管道及其他内部热源的散热量; 6 食品或物料的散热量; 7 渗透空气带入的热量; 8 伴随各种散湿过程产生的潜热量。 4.2.10 建筑碳排放计算时应计算气密性、风压和热压的作用、人员密度、新风量、热回收系统效率对通风负荷的影响。 4.2.11 建筑累积冷负荷和热负荷应根据建筑物分区的空调系统计算,同一暖通空调系统服务的建筑物分区的冷负荷和热负荷应分别进行求和计算。 4.2.12 根据建筑年供冷负荷和年供暖负荷计算暖通空调系统终端能耗时应根据下列影响因素分别进行计算: 1 供冷供暖系统类型; 2 冷源和热源的效率; 3 泵与风机的能耗情况; 4 未端类型; 5 系统控制策略; 6 系统运行内部冷热抵消等情况; 7 暖通空调系统能量输送介质的影响; 8 冷热回收措施。 4.2.13 暖通空调系统中由于制冷剂使用而产生的温室气体排放,应按下式计算:
Cr——建筑使用制冷剂产生的碳排放量(tCO2e/a); r——制冷剂类型; mr——设备的制冷剂充注量(kg/台); ye——设备使用寿命(a); GWPr——制冷剂r的全球变暖潜值。 4.2.14 建筑物碳排放计算采用的冷热源及相关用能设备的性能参数应与设计文件一致。 4.2.15 建筑冷热源的能耗计算应计入负载、输送过程和末端的冷热量损失等因素的影响。 4.2.16 输送系统的能耗计算应计入水泵与风机的效率、运行时长、实际工作状态点的负载率、变频等因素的影响。 条文说明 4.2.1 暖通空调系统能耗由冷热源的能耗、输配系统及末端空气处理设备的能耗构成,输配系统包括冷冻水系统、冷却水系统、热水系统和风系统。4.2.2 目前常用的逐时建筑能耗模拟工具都较为复杂、涉及的计算因素也很多,对计算工程师的专业素质要求高,计算工作量大,计算结果一致性不高。运行阶段建筑物碳排放计算方法的核心是简便、一致、易用、准确的建筑能耗的计算方法。国际标准化组织发布的《Energy performance of buildings-Calculation o fenergy use for space heating and cooling》ISO13790-2008提供了简便、准确的月平均负荷计算方法,英国官方提供的建筑能效和碳排放计算软件SBEM、德国的WUFI和PHPP、我国的爱必宜都采用该方法。在工程应用上具有一致性高和计算简便的优势,能够保证评价结果的一致性和权威性。 4.2.3 建筑分区原则:首先应确定计算供暖和供冷能效需求的建筑物的边界条件。同时由于建筑类型众多,室内活动复杂,在计算过程中经常需要对其室内区域进行分区计算。 关于建筑分区需要基于如下考虑: 1 建筑物理分隔; 2 建筑区域的功能; 3 为区域提供服务的暖通空调系统; 4 区域内采光(通过外窗或天窗)情况; 5 对某一特定楼层,其分区程序应如下: 1)按物理分区进行划分,如墙或其他; 2)如同一物理分区内由不同HVAC系统提供服务,按HVAC系统的服务区域进行划分; 3)如果物理分区内有不同的活动类型,按活动类型将物理分区划分,确保每个分区内只有一种活动类型; 4)再将每个分区按其接受日光的程度进行划分; 5)如果分区有窗墙比大于0.2的外墙,且该外墙对应的分区长度大于6m,将距离该外墙6m的空间单独划分为一个分区; 6)如果该分区的宽度小于3m,将其同临近分区进行合并; 7)如果任何分区重叠,将分区分配给临近的分区; 8)将由同一HVAC系统和照明系统提供服务,且活动类型一样的分区进行合并。 每个分区应有独立的对其围护结构的描述,当其围护结构为虚拟时(如通过接受日光的程度进行划分的分区),则无须定义围护结构,当然,此分区和周围分区也无热量传输。 4.2.5 对建筑碳排放进行计算,主要是考虑围护结构不同及暖通系统不同而带来的碳排放不同,所以对不同的建筑室内活动,其室内参数应保持统一,具体如下: 1 室内设计温度 国家标准《民用建筑供暖通风与空气调节设计规范》GB50736-2012规定:“严寒和寒冷地区主要房间应采用18℃~24℃;夏热冬冷地区主要房间宜采用16℃~22℃;设置值班供暖房间不应低于5℃。辐射供暖室内设计温度宜降低2℃;辐射供冷室内设计温度宜提高0.5℃~1.5℃。” 国家标准《民用建筑供暖通风与空气调节设计规范》GB50736-2012对舒适性空调室内设计参数进行了规定:人员长期逗留区域空调室内设计参数见表5。 表5 人员长期逗留区域空调室内设计参数
人员短期逗留区域空调供冷工况室内设计参数宜比长期逗留区域提高1℃~2℃,供暖工况宜降低1℃~2℃。短期逗留区域供冷工况风速不宜大于0.5m/s,供暖工况风速不宜大于0.3m/s。 所以,人员长期逗留区域空调室内设计温度,供暖工况选22℃,供冷工况选26℃。人员短期逗留区域空调供暖工况选20℃,供冷工况选28℃。辐射供冷室内设计温度选27℃。 表6 公共建筑主要房间每人所需最小新风量[m/(h·人)]
表7 居住建筑设计最小换气次数(次/h)
表8 医院建筑设计最小换气次数(次/h)
表9 高密人群建筑每人所需最小新风量[m/(h·人)]
建筑能耗模拟计算过程中使用典型气象年数据,数据的来源和格式不同导致不同的数据之间也存在一定的差异。常见的典型气象年的数据格式有TMY、TMY2、TMY3、EPW等。现行行业标准《建筑节能气象参数标准》JGJ/T346提供了我国的官方典型气象年数据。本标准的计算将采用该标准中的典型气象年数据。 4.2.7 建筑围护结构指建筑墙体、屋面、地面、楼板和窗等。定义一个建筑分区需要准确定义建筑物的围护结构(图2)。图2是一个简单建筑分区的示意图,定义该分区的建筑围护结构,需要定义6个围护结构和1个外窗、1个外门。
图2围 护结构定义 1 外墙、屋面、地面、楼板外墙、屋面、地面、楼板的热工性能应按设计资料或建筑实际情况逐层逐项输入以保证建模过程中的外围护结构资料和建筑实际情况相符。围护结构的信息应包括围护结构的各层厚度、传热系数、热容、密度及最外层和最内层的吸收系数和反射系数等。 2 外窗 通过建筑物外窗发生的能量传递主要包括温差传热和太阳辐射得热。通过外窗的太阳辐射是建筑物非常重要的一项外扰。夏季外窗的太阳辐射得热产生的冷负荷是空调系统能量消耗的重要部分,冬季透过外窗的太阳辐射给室内带来了热量。准确计算外窗的冷热负荷是确定建筑终端消耗的能量的重要影响因素。 计算外窗的冷热负荷时,需要建筑能耗模拟软件依据实际外窗数据进行建模。建模过程中应包含下列数据: 1)外窗构造(玻璃和窗框的面积比例); 2)玻璃的传热系数; 3)玻璃的光学特性,可见光透过率、反射率,不同入射角下的表面折射率和反射率; 4)外窗的位置; 5)外窗的内外遮阳情况。 围护结构的传热系数应该满足国家现行相关标准的要求。围护结构的传热系数的最小值应按建筑物所处的热工分区确定。 4.2.8 建筑累积冷负荷和累积热负荷是计算建筑物碳排放的基础。建筑物的供热和供冷的系统性能差异较大,宜分别计算确定。 4.2.9 本条从现代空调负荷计算方法的基本原理出发,规定了计算空调区夏季冷负荷所应考虑的基本因素,强调指出得热量与冷负荷是两个不同的概念。 以空调房间为例,通过围护结构传入房间的及房间内部散出的各种热量,称为房间得热量。为保持所要求的室内温度须由空调系统从房间带走的热量称为房间冷负荷。两者在数值上不一定相等,这取决于得热中是否含有时变的辐射成分。当时变的得热量中含有辐射成分时或虽然时变得热曲线相同但所含的辐射百分比不同时,由于进入房间的辐射成分不能被空调系统的送风消除,只能被房间内表面及室内各种陈设所吸收、反射、放热,再吸收、再反射、再放热……在多次换热过程中,通过房间及陈设的蓄热、放热作用,使得热中的辐射成分逐渐转化为对流成分,即转化为冷负荷。显然,此时得热曲线与负荷曲线不再一致,比起前者,后者线形将产生峰值上的衰减和时间上的延迟,这对准确计算空调设计负荷有重要意义。 4.2.11 建筑物供暖功能系统的能量需求是指为维持建筑物设计条件下的温湿度、新风条件,建筑物需要暖通空调系统末端向建筑物内供应的热量或从建筑物内移出的热量,建筑终端消耗的能量是计算建筑能耗的重要依据。 根据建筑物分区的空调系统,将由同一暖通空调系统服务的建筑物分区的冷负荷和热负荷分别进行求和计算。同一系统服务的建筑分区是指由同一的风系统、水系统或其他能量输配系统提供暖量和冷量的建筑分区。一栋建筑物可能有多种暖通空调系统形式和多个暖通空调系统。实际计算过程中,应该按暖通空调系统对建筑分区的供冷供暖能量进行求和,计算出同一系统的建筑物供冷系统能量需求和供暖系统能量需求。 4.2.13 假定制冷设备达到使用寿命后,制冷剂不回收。HCFC-22、HFC-134、HFC-134a的GWP值分别为1760、1120、1300;其他制冷剂的GWP值可参考IPCC第五次评估报告。 4.3 生活热水系统4.3.1 建筑物生活热水年耗热量的计算应根据建筑物的实际运行情况,并应按下列公式计算:
Qr——生活热水年耗热量(kWh/a); Qrp——生活热水小时平均耗热量(kW/h); T——年生活热水使用小时数(h); m—用水计算单位数(人数或床位数,取其一); qr——热水用水定额(L/人),按现行国家标准《民用建筑节水设计标准》GB50555确定; ρr——热水密度(kg/L); tr——设计热水温度(℃); t1——设计冷水温度(℃)。 4.3.2 建筑生活热水系统能耗应按下式计算,且计算采用的生活热水系统的热源效率应与设计文件一致。
Ew——生活热水系统年能源消耗(kWh/a); Qr——生活热水年耗热量(kWh/a); Qs—太阳能系统提供的生活热水热量(kWh/a); ηn—生活热水输配效率,包括热水系统的输配能耗、管道热损失、生活热水二次循环及储存的热损失(%); ηw——生活热水系统热源年平均效率(%)。 条文说明 4.3.1 生活热水的需求量同室内人员的数量、使用习惯和活动类型有关。生活热水的计算应按室内的人员和房间的类别来计算,而不是按房间面积来确定。这里的生活热水不包括饮用水和炊事用水,仅包括日常洗浴的热水供应。生活热水消耗的能源是建筑物碳排放的重要组成部分。但生活热水的使用具有很大的随机性,很难找到准确的规律,因此,生活热水的能耗很难准确计算,使用模式对最终的计算结果有很重大的影响。实际使用中,生活热水也有多种供给方式,包括集中生活热水供应和分散式生活热水供应。使用的热源也种类繁多,包括燃煤锅炉、燃气锅炉、空气源热泵、电热水器、燃气热水器等。 本计算方法中对生活热水的计算针对单栋建筑物,采用准静态计算方法计算建筑物的生活热水的能量消耗,最终计算出建筑物的生活热水产生的碳排放。 4.187为水的比热容,单位为KJ/(kg·K)。 4.3.2 考虑到太阳能系统在生活热水中的广泛应用,需扣除太阳能系统对生活热水热量的贡献,再考虑不同生活热水热源效率,计算生活热水总能耗。 准确计算生活热水在储存、输配过程中的各项热损失,包括生活热水输配热损失、储热水箱热损失和二次循环能耗损失是生活热水系统能耗计算的难点,这些损失通过生活热水输配效率(ηh)综合考虑。 生活热水系统的热源包括电热水器、燃气热水器、热泵热水器等类型,电热水器和燃气热水器的效率较为稳定,可直接按额定功率进行计算,但热泵型热水器的效率受环境因素影响较大,应采用年系统平均效率进行计算。 影响建筑物生活热水系统综合效率的其他因素主要有储水罐的热损失、配水管网的热损失、水温不稳定产生的热损失、热水循环导致的热损失等,这些都与生活热水的系统形式等有关。 4.4 照明及电梯系统4.4.1 建筑碳排放计算采用的照明功率密度值应同设计文件一致。4.4.2 照明系统能耗计算应将自然采光、控制方式和使用习惯等因素影响计入。 4.4.3 照明系统无光电自动控制系统时,其能耗计算可按下式计算:
E1——照明系统年能耗(kWh/a); Pi,j——第j日第i个房间照明功率密度值(W/m2); Ai——第i个房间照明面积(m2); ti,j—第j日第i个房间照明时间(h); Pp——应急灯照明功率密度(W/m2); A——建筑面积(m2)。 4.4.4 电梯系统能耗应按下式计算,且计算中采用的电梯速度、额定载重量、特定能量消耗等参数应与设计文件或产品铭牌一致。
Ee—年电梯能耗(kWh/a); P—特定能量消耗(mWh/kgm); ta——电梯年平均运行小时数(h); V——电梯速度(m/s); W—电梯额定载重量(kg); Estandby——电梯待机时能耗(w); ts——电梯年平均待机小时数(h)。 条文说明 4.4.1 照明系统应按面积计算建筑物的能量消耗,进而计算建筑物的照明系统的碳排放。照明系统单位面积的小时照明功率的确定主要按现行国家标准《建筑照明设计标准》GB50034执行。4.4.2 照明系统的能量消耗的计算应考虑日光照射、控制方式和室内人员的影响。 建筑的使用模式是建筑中人员影响照明系统能耗的主要因素,生活习惯、经济条件、地域差异、身体健康情况都会对人的行为模式产生影响,为了更为准确地考虑建筑物内人员对建筑物的照明能耗的影响,通常假定建筑物中的人员具有一致的行为习惯,此时,照明系统固有的控制方式是影响建筑物照明能耗的主要影响因素。 照明系统可以根据人员需求对房间内的照明系统进行开关控制,人员感应控制可以根据室内人员的有无对照明系统进行控制,光电控制可以根据自然采光下的房间照度对照明系统进行控制,因此照明系统的控制方式是影响照明系统开启时间的重要因素。 4.4.3 建筑照明为满足建筑功能提供了必要条件,良好的建筑照明条件有利于生产、工作、学习和身体健康。与此同时,为了为建筑物提供必要的照明条件,照明系统消耗一定的能源并产生碳排放。建筑物照明能耗是建筑物能源消耗的重要组成部分。准确计算照明系统的能源消耗需要考虑灯具的效率、使用时间、人员、控制策略、自然采光等对照明能耗的影响。 4.4.4 随着社会经济的快速发展,电梯的使用量急剧增长,电梯的能耗强度大,其能耗受使用时间影响较大。随着电梯技术,尤其是驱动技术的发展,除了大吨位货梯,永磁同步曳引机驱动的曳引电梯已经成为新装电梯的标准配置。电梯的能耗情况不仅与电梯自身的配置情况有关,而且还与建筑的结构、电梯的数量和布局、建筑内客流情况以及电梯的调度情况有关,因此电梯的能耗计算复杂,准确计算需要通过建立能耗仿真模型等方式计算电梯的耗电量。本标准为了提高计算效率,参照国际标准Energy performance of lifts,escalators and movingwalks ISO 25745-2:2015引入简易的估算方式。电梯在使用过程中,能量消耗主要体现在运行能耗和待机能耗两部分。德国标准Lifts energyefficiency VDI 4707.1是国际上比较通用的电梯能效标识系统,我国检测机构已经依据该标准开展相关测试和认证工作。标准中待机的能量需求等级和运行时的能量需求等级见表10和表11。 表10 待机时的能量需求等级
表11 运行时的能量需求等级
表12 常见电梯平均运行时间和平均待机时间
4.5 可再生能源系统4.5.1 可再生能源系统应包括太阳能生活热水系统、光伏系统、地源热泵系统和风力发电系统。4.5.2 太阳能热水系统提供能量可按下式计算:
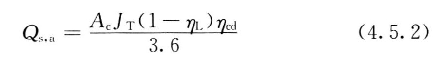
Qs,a—太阳能热水系统的年供能量(kWh); Ac——太阳集热器面积(m2); JT—太阳集热器采光面上的年平均太阳辐照量(MJ/m2); ηcd——基于总面积的集热器平均集热效率(%); ηL——管路和储热装置的热损失率(%)。 4.5.3 太阳能热水系统提供的能量不应计入生活热水的耗能量。 4.5.4 地源热泵系统的节能量应计算在暖通空调系统能耗内。 4.5.5 光伏系统的年发电量可按下式计算:
Epv——光伏系统的年发电量(kWh); I——光伏电池表面的年太阳辐射照度(kWh/m2); KE——光伏电池的转换效率(%); KS——光伏系统的损失效率(%); Ap——光伏系统光伏面板净面积(m2)。 4.5.6 风力发电机组年发电量可按下列公式计算:
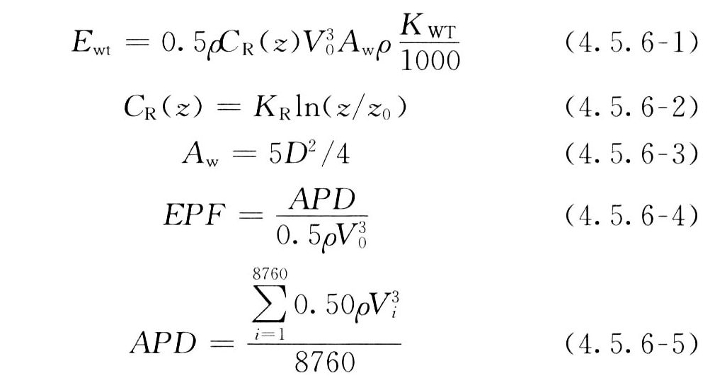
Ewt——风力发电机组的年发电量(kWh); ρ——空气密度,取1.225kg/m3; CR(z)——依据高度计算的粗糙系数; KR——场地因子; z0——地表粗糙系数; V0——年可利用平均风速(m/s); Aw——风机叶片迎风面积(m2); D——风机叶片直径(m); EPF——根据典型气象年数据中逐时风速计算出的因子; APD——年平均能量密度(W/m2); Vi——逐时风速(m/s); KWT ——风力发电机组的转换效率。 条文说明 4.5.1 现行国家标准《绿色建筑评价标准》GB/T50378对可再生能源的三种形式进行了规定,可再生能源提供的生活用热水,可再生能源提供的空调用冷量和热量,可再生能源提供的电量。这三种形式分别对应的是太阳能光热系统、地源热泵系统(包括地埋管式及水源式)、太阳能光伏发电系统等。从应用范围及技术成熟角度出发,规定建筑物碳排放计算的可再生能源包括太阳能光热系统、太阳能光电系统、地源热泵系统及风力发电系统。 可再生能源系统的碳减排量受资源和能源系统的实际用能量影响,计算建筑物碳排放时,应考虑可再生能源供应与建筑能源消耗的匹配性,计算建筑实际消耗的可再生能源产生的能源并在对应的建筑能源系统的能源消耗量中直接扣除。 4.5.4 地源热泵系统的供暖效率较高,在暖通空调系统的能耗计算中已经考虑在内,不应再单独计算其节能量而产生的减碳量。 4.5.5 光伏系统的发电量是动态变化的,太阳能资源逐时变化,且系统效率也受资源因素的影响。在设计阶段可以通过太阳能资源情况、系统形式等信息计算其发电量。 当前的太阳能电池种类包括晶体硅电池、薄膜电池及其他材料电池。其中硅电池又分为单晶电池、多晶电池和无定形硅薄膜电池等。对太阳能电池而言,最重要的参数是光电转换效率,在实验室所研发的硅基太阳能电池中,单晶硅电池效率为25.0%,多晶硅电池效率为20.4%,铜铟镓硒薄膜(CIGS)电池效率达19.6%,碲化镉(CdTe)薄膜电池效率达16.7%,非晶硅(无定形硅)薄膜电池的效率为10.1%,而在实际应用中效率略低这一水平。表13提供了一些常见的光伏电池的转换效率(KE)。 表13 光伏电池转换效率
表14 光电系统损失效率
4.5.6 本条提供了风力发电系统年发电量的简化计算公式。地形类别和相关系数见表15,风力涡轮机效率见表16。年可利用平均风速为风速大于0m/s时刻的风速的平均值。8760为一年中的小时数。 表15 地形类别和相关系数
表16 风力涡轮机效率
5 建造及拆除阶段碳排放计算5.1 一般规定5.2 建筑建造 5.3 建筑拆除 5.1 一般规定5.1.1 建筑建造阶段的碳排放应包括完成各分部分项工程施工产生的碳排放和各项措施项目实施过程产生的碳排放。5.1.2 建筑拆除阶段的碳排放应包括人工拆除和使用小型机具机械拆除使用的机械设备消耗的各种能源动力产生的碳排放。 5.1.3 建筑建造和拆除阶段的碳排放的计算边界应符合下列规定: 1 建造阶段碳排放计算时间边界应从项目开工起至项目竣工验收止,拆除阶段碳排放计算时间边界应从拆除起至拆除肢解并从楼层运出止; 2 建筑施工场地区域内的机械设备、小型机具、临时设施等使用过程中消耗的能源产生的碳排放应计入; 3 现场搅拌的混凝土和砂浆、现场制作的构件和部品,其产生的碳排放应计入; 4 建造阶段使用的办公用房、生活用房和材料库房等临时设施的施工和拆除可不计入。 条文说明 5.1.1 建筑建造阶段是根据建筑设计文件、施工组织设计或施工方案,按相关标准通过一系列活动将投入到项目施工中的各种资源(包括人力、材料、机械、能源和技术)在时间和空间上合理组织,变成建筑实体的过程。建造阶段的能耗是在建造阶段各种施工机械、机具和设备使用的能耗;主要由两部分组成:一是构成工程实体的分部分项工程的建造能耗;二是为完成工程施工,发生于该工程施工前和施工过程中技术、生活、安全等方面非工程实体的各项措施的能耗。相应地,建筑建造阶段碳排放分为两部分:一是分部分项工程施工过程消耗的燃料、动力产生的碳排放;二是措施项目实施过程消耗燃料、动力产生的碳排放。5.1.2 拆除阶段碳排放主要是场地内拆除设备及运输设备将建筑物肢解过程产生的能耗。建筑拆除方式包括人工拆除、机械拆除、爆破拆除和静力破损拆除等。大多数工程采用的是人工拆除和机械拆除。爆破拆除是指利用炸药在爆炸瞬间产生高温高压气体对外做功,来解体和破碎建筑物的方法。静力破损拆除是在需要拆除的构件上打孔,装入胀裂剂,待胀裂剂发挥作用后将混凝土胀开.再使用风镐或人工剔凿的方法剥离胀裂的混凝土。爆破拆除和静力破损拆除,通常由专业公司根据待拆建筑物的特点编制专项方案,机械整体性拆除是破坏性的拆除,无法按工程量进行计量,且国家定额《房屋建筑与装饰工程消耗量定额》TY01-31-2015中没有列入这三种拆除方法的消耗量,故本标准规定其能源用量应根据拆除专项方案确定。 5.1.3 在项目勘察阶段,地勘钻机也消耗能源,但考虑其工作时间较短,能耗较小,因此规定建造阶段碳排放计算时间边界从进场施工开始计算。 在建筑建造阶段,施工机械设备和小型机具运行所需的能源动力是产生碳排放的主要部分。人员正常呼吸释放二氧化碳是人的正常生理现象,与施工人员现场劳动所呼吸释放的二氧化碳量没有本质区别,故不计入施工过程人员劳动过程的碳排放。 建筑施工采用的预拌混凝土、混凝土构件、预制桩、门窗等材料、构件和部品通常在施工场外生产,因此不计入建造阶段能耗。但在施工现场拌制、生产的材料、构件和部品的能耗应计入。 施工阶段的办公用房、生活用房和库房因使用周期短,为便于周转使用,通常采用夹心彩钢板制作的活动板房、集装箱房屋。这类简易临时房屋安装和拆除简便,其施工和拆除能耗小,在计算建筑建造阶段碳排放时可不计入。 5.2 建筑建造5.2.1 建筑建造阶段的碳排放量应按下式计算:
CJZ——建筑建造阶段单位建筑面积的碳排放量(kgCO2/m2); Ejz,i——建筑建造阶段第i种能源总用量(kWh或kg); EFi——第i类能源的碳排放因子(kgCO2/kWh或kgCO2/kg),按本标准附录A确定; A——建筑面积(m2)。 5.2.2 建造阶段的能源总用量宜采用施工工序能耗估算法计算。 5.2.3 施工工序能耗估算法的能源用量应按下式计算:
Ejz——建筑建造阶段总能源用量(kWh或kg); Efx——分部分项工程总能源用量(kWh或kg); Ecs——措施项目总能源用量(kWh或kg)。 5.2.4 分部分项工程能源用量量应按下列公式计算:
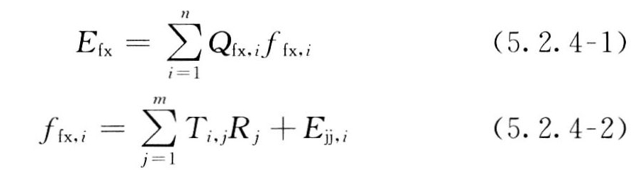
Qfx,i——分部分项工程中第i个项目的工程量; ffx,i——分部分项工程中第i个项目的能耗系数(kWh/工程量计量单位); Ti,j——第i个项目单位工程量第j种施工机械台班消耗量(台班); Rj——第i个项目第j种施工机械单位台班的能源用量(kWh/台班),按本标准附录C确定,当有经验数据时,可按经验数据确定; Ejj,i——第i个项目中,小型施工机具不列入机械台班消耗量,但其消耗的能源列入材料的部分能源用量(kWh); i——分部分项工程中项目序号; j——施工机械序号。 5.2.5 措施项目的能耗计算应符合下列规定: 1 脚手架、模板及支架、垂直运输、建筑物超高等可计算工程量的措施项目,其能耗应按下列公式计算:
Qcs,i——措施项目中第i个项目的工程量; fcs,i——措施项目中第i个项目的能耗系数(kWh/工程量计量单位); TA-i,j——第i个措施项目单位工程量第j种施工机械台班消耗量(台班); Rj——第i个项目第j种施工机械单位台班的能源用量(kWh/台班),按本标准附录C对应的机械类别确定; i——措施项目序号; j——施工机械序号。 2 施工降排水应包括成井和使用两个阶段,其能源消耗应根据项目降排水专项方案计算。 3 施工临时设施消耗的能源应根据施工企业编制的临时设施布置方案和工期计算确定。 条文说明 5.2.1 施工机械设备和小型机具的能源主要有电、汽油和柴油等,用电量以千瓦时(kWh)为计量单位,汽油和柴油以千克(kg)为计量单位。本标准附录A列出了主要能源的碳排放因子,在计算时可根据计算建筑物所处的区域位置选择对应的碳排放因子,也可采用全国平均值。5.2.2 建造阶段碳排放的关键在于确定施工阶段的电、汽油、柴油、燃气等能源的消耗量,方法主要有两种:一是施工工序能耗估算法,即根据各分部分项工程和措施项目的工程量、单位工程的机械台班消耗量和单位台班机械的能源用量逐一计算,汇总得到建造阶段能源总用量;二是施工能耗清单统计法,即通过现场电表、汽油和柴油的计量进行统计,汇总得到建造阶段的实测总能耗。根据现场实测数据进行统计汇总,理论上可行,结果准确可靠,但无法在施工前估算。本标准采用施工工序能耗估算法。 5.2.3 建筑建造阶段和分部分项工程的能源主要有电、汽油和柴油等,用电量以千瓦时(kWh)为计量单位,汽油和柴油以千克(kg)为计量单位。 5.2.4 本条给出了依据国家消耗量定额估算建筑建造阶段各分部分项工程的能源用量估算方法,即:根据国家定额《房屋建筑与装饰工程消耗量定额》TY01-31-2015、《通用安装工程消耗量定额》TY02-31-2015《、装配式建筑工程消耗量定额》TY01-01(01)-2016相应的工程量计算规则,按设计图纸和施工方案计算分部分项工程中每个项目的工程量,并查出每个项目单位工程量消耗的机械台班消耗量和不列入机械台班消耗量,但其消耗的能源列入材料的用电量,并根据施工机械单位台班的能源用量,逐一计算。 Qfx,i应根据国家定额《房屋建筑与装饰工程消耗量定额》TY01-31-2015《、通用安装工程消耗量定额》TY02-31-2015《、装配式建筑工程消耗量定额》TY01-01(01)-2016相应的工程量计算规则,按设计图纸和施工方案计算,单位根据能源消耗种类不同确定(m3、m2、m、t)。 Ti,j应按国家定额《房屋建筑与装饰工程消耗量定额》TY01-31-2015《、通用安装工程消耗量定额》TY02-31-2015、《装配式建筑工程消耗量定额》TY01-01(01)-2016相应定额子目确定。 算例1.土方工程 某工程基坑,采用机械挖土、装土,并清理机下余土,人工清底修边。土壤类别为二类土,土方工程量1000m3。计算土方开挖的能源用量。 查国家定额《房屋建筑与装饰工程消耗量定额》TY01-31-2015定额子目1-46挖掘机挖装一般土方(一、二类土)和附录C,单位工程量(土方10m3)机械台班消耗Ti,j和机械单位台班的能源用量Rj分别为: 履带式推土机75kW Ti,1=0.020台班 R1=56.50kg柴油/台班 履带式单斗液压挖掘机1m3 Ti,2=0.022台班 R2=63.00kg柴油/台班 根据公式(5.2.4)计算能耗系数ffx和土方开挖的能源用量Efx为: ffx=0.02×56.5+0.022×63=2.516(kg/10m3) Efx=1000×2.516/10=251.6(kg)(柴油) 算例2.钢筋工程 某现浇混凝土结构的钢筋工程。工程量:HPB300圆钢筋直径8mm、10t,HRB400带肋钢筋直径18mm、50t。计算钢筋制作、运输、绑扎、安装的能源用量。 1)HPB300圆钢筋直径8mm 查国家定额《房屋建筑与装饰工程消耗量定额》TY01-31-2015定额子目5-89现浇构件圆钢筋(HPB300直径≤10mm)和附录C,单位工程量(钢筋1t)机械台班消耗Ti,j和机械单位台班的能源用量Rj分别为: 钢筋调直机40mm T1,1=0.240台班 R1=11.00kWh/台班 钢筋切断机40mm T1,2=0.110台班 R2=32.10kWh/台班 钢筋弯曲机40mm T1,3=0.350台班 R3=12.80kWh/台班 根据公式(5.2.4)计算HPB300直径8mm的能耗系数ffx和能源用量Efx为: fx1=0.24×11+0.11×32.1+0.35×12.8=10.651(kWh/t) Efx1=10×10.651=106.51(kWh) 2)HRB400带肋钢筋直径18mm 查国家定额《房屋建筑与装饰工程消耗量定额》TY01-31-2015定额子目5-94现浇构件带肋钢筋(HRB400直径≤18mm)和附录C,单位工程量(钢筋1t)机械台班消耗Ti,j和机械单位台班的能源用量Rj分别为: 钢筋切断机40mm T2,1=0.100台班 R1=32.10kWh/台班 钢筋弯曲机40mm T2,2=0.230台班 R2=12.80kWh/台班 直流弧焊机32kV·A T2,2=0.450台班 R3=96.53kWh/台班 对焊机75kV·A T2,4=0.110台班 R4=122.00kWh/台班 电焊条烘干箱45×35×45(mm3) T2,5=0.045台班 R5=6.70kWh/台班 根据公式(5.2.4)计算HRB400直径18mm的能耗系数ffx和能源用量Efx为:
Efx2=50×63.314=3165.7(kWh) 3)钢筋工程能源用量合计 Efx=106.51+3165.7=3272.21(kWh) 算例3.混凝土工程 某工程为混凝土框架结构,楼板混凝土强度等级为C30,采用预拌混凝土,固定泵(混凝土输送泵45m3/h)浇筑,工程量为100m3。计算梁板混凝土输送、浇筑、振捣和养护的能源用量。 查国家定额《房屋建筑与装饰工程消耗量定额》TY01-31-2015定额子目5-30有梁板和附录C,单位工程量(混凝土10m3)的振捣泵的电耗(D1)、机械抹平机械台班消耗(T1,1)和机械单位台班的能源用量(R1)分别为: 电 D1=3.78kWh 混凝土抹平机5.5kW T1.1=0.110台班 R1=23.14kWh/台班 查国家定额《房屋建筑与装饰工程消耗量定额》TY01-31-2015定额子目5-87固定泵和附录C,单位工程量(混凝土10m3)输送泵的机械台班消耗(T1,2)和机械单位台班的能源用量(R2)分别为: 混凝土输送泵45m3/h T1,2=0.067台班 R2=243.46kWh/台班 根据公式(5.2.4)计算梁板混凝土工程的能耗系数ffx和能源用量Efx为: ffx=0.11×23.14+0.067×243.46+3.78=22.64(kWh/t) Efx=100×22.64/10=226.4(kWh) 5.2.5 施工措施项目是指为了完成工程施工,发生于工程施工前和施工过程中的技术、生活、安全、环境保护等方面的不构成工程实体的项目。通常包括下列内容:环境保护措施、文明施工措施、安全施工措施、临时设施、夜间施工措施、大型机械设备进出场及安拆、模板及支架、脚手架、垂直运输机械、建筑物超高、二次搬运、已完工程及设备保护、施工排水和降水、冬雨期施工等。以上措施项目中,消耗能源较大的项目有:脚手架、模板及支架和垂直运输、建筑物超高、施工降排水、临时设施等。参考国家定额《房屋建筑与装饰工程消耗量定额》TY01-31-2015和《通用安装工程消耗量定额》TY02-31-2015,模板及支架、脚手架、垂直运输机械、建筑物超高等措施项目根据施工方案可计算出对应的工程量,因此,这几项措施项目可参照分部分项工程的计算方法计算其能源消耗。 施工机械台班消耗量,按国家定额《房屋建筑与装饰工程消耗量定额》TY01-31-2015、《通用安装工程消耗量定额》TY02-31-2015、《装配式建筑工程消耗量定额》TY01-01(01)-2016相应定额子目确定。 施工降水和排水措施与项目所在地的工程地质、水文地质条件、气候降雨条件密切相关,应根据施工降排水专项方案确定的降水方式和降水周期计算。其能源消耗应根据项目降排水专项方案计算,按《房屋建筑与装饰工程消耗量定额》TY01-31对应的降排水机械类别及其台班消耗量、计划的降排水周期进行计算。 临时设施是指施工企业为保证施工和管理的进行而建造的各种简易设施,包括现场临时作业棚、机具棚、材料库、办公室、休息室、厕所、化灰池、储水池、锅灶等设施;临时道路;临时给水排水、供电、供热等管线;临时性简易周转房,及现场临时搭建的职工宿舍、食堂、浴室、医务室、理发室、托儿所等临时福利设施。因施工临时设施没有统一的建设标准,通常由施工企业根据需求自行搭建,且施工临时设施具有体量小、种类多的特点,其搭建、使用和拆除阶段的能源消耗没有参考数据,难以准确计算。根据对典型工程和部分施工企业的调研,施工临时设施消耗能源用量与工程规模、工期等相关,当没有资料时,可以按分部分项工程消耗能源的5%估算施工临时设施消耗能源用量。 第i个措施项目中单位工程量第j种施工机械台班消耗量,应根据国家定额《房屋建筑与装饰工程消耗量定额》TY01-31-2015、《通用安装工程消耗量定额》TY02-31-2015、《装配式建筑工程消耗量定额》TY01-01(01)-2016相应定额子目确定。 5.3 建筑拆除5.3.1 建筑拆除阶段的单位建筑面积的碳排放量应按下式计算:
CCC——建筑拆除阶段单位建筑面积的碳排放量(kgCO2/m2); Ecc,i——建筑拆除阶段第i种能源总用量(kWh或kg); EFi——第i类能源的碳排放因子(kgCO2/kWh),按本标准附录A确定; A——建筑面积(m2)。 5.3.2 建筑物人工拆除和机械拆除阶段的能源用量应按下列公式计算:
Ecc——建筑拆除阶段能源用量(kWh或kg); Qcc,i——第i个拆除项目的工程量; fcc,i——第i个拆除项目每计量单位的能耗系数(kWh/工程量计量单位或kg/工程量计量单位); TB-i,j——第i个拆除项目单位工程量第j种施工机械台班消耗量; Rj——第i个项目第j种施工机械单位台班的能源用量; i——拆除工程中项目序号; j——施工机械序号。 5.3.3 建筑物爆破拆除、静力破损拆除及机械整体性拆除的能源用量应根据拆除专项方案确定。 5.3.4 建筑物拆除后的垃圾外运产生的能源用量应按本标准第6.3节的规定计算。 条文说明 5.3.1 采用单位面积的碳排放量表示拆除阶段碳排放计算结果有利于不同类型、不同面积拆除碳排放强度比较。5.3.2 拆除阶段碳排放主要是拆除设备及运输设备将建筑物肢解过程产生的能耗,是建筑建造的逆过程。建筑拆除方式主要有人工拆除、机械拆除、爆破拆除和静力破损拆除等。大多数拆除工程采用的是人工拆除和机械拆除,国家定额《房屋建筑与装饰工程消耗量定额》TY01-31-2015中“拆除工程”一章的内容针对的是人工拆除和机械拆除方法相关的消耗量,因此,可以采用与建筑建造阶段相似的方法,计算拆除阶段的能源用量。Qcci为第i个拆除项目的工程量,其单位根据能源消耗种类不同确定(m3、m2、m、t)。 6 建材生产及运输阶段碳排放计算6.1 一般规定6.2 建材生产 6.3 建材运输 6.1 一般规定6.1.1 建材碳排放应包含建材生产阶段及运输阶段的碳排放,并应按现行国家标准《环境管理 生命周期评价 原则与框架》GB/T24040、《环境管理 生命周期评价 要求与指南》GB/T24044计算。6.1.2 建材生产及运输阶段的碳排放应为建材生产阶段碳排放与建材运输阶段碳排放之和,并应按下式计算:
CJC——建材生产及运输阶段单位建筑面积的碳排放量(kgCO2e/m2); Csc——建材生产阶段碳排放(kgCO2e); Cys——建材运输过程碳排放(kgCO2e); A——建筑面积(m2)。 6.1.3 建材生产及运输阶段碳排放计算应包括建筑主体结构材料、建筑围护结构材料、建筑构件和部品等,纳入计算的主要建筑材料的确定应符合下列规定: 1 所选主要建筑材料的总重量不应低于建筑中所耗建材总重量的95%; 2 当符合本条第1款的规定时,重量比小于0.1%的建筑材料可不计算。 条文说明 6.1.1 建筑材料、构件、部品从原材料开采、加工制造直至产品出厂并运输到施工现场,各个环节都会产生温室气体排放,这是建材内部含有的碳排放,可以通过建筑的设计、建材供应链的管理进行控制和削减。现行国家标准《环境管理 生命周期评价 原则与框架》GB/T24040、《环境管理 生命周期评价 要求与指南》GB/T24044为建材的碳排放计算提供了标准方法。根据上述标准规定,建材生产及运输阶段碳排放计算的生命周期边界可选取“从摇篮到大门”,即从建筑材料的上游原材料、能源开采开始,包括建材生产全过程,到建筑材料出厂、运输至建筑施工现场为止。 6.1.3 本条规定了建材生产及运输阶段的碳排放应至少包括主体结构材料、围护结构材料、粗装修用材料,如水泥、混凝土、钢材、墙体材料、保温材料、玻璃、铝型材、瓷砖、石材等(见本标准附录D)。其他建材以及未来可能出现的新型建材,如果其重量比大于0.1%且采用冶金、煅烧等高能耗工艺生产的建材,也应包含在计算范围内。装配式建筑使用的建筑部品,只要是在建筑施工场地之外生产、未纳入建筑施工的能耗统计,均属于本章所指的建材范围。 6.2 建材生产6.2.1 建材生产阶段碳排放应按下式计算:
Csc——建材生产阶段碳排放(kgCO2e); Mi——第i种主要建材的消耗量; Fi——第i种主要建材的碳排放因子(kgCO2e/单位建材数量),按本标准附录D取值。 6.2.2 建筑的主要建材消耗量(Mi)应通过查询设计图纸、采购清单等工程建设相关技术资料确定。 6.2.3 建材生产阶段的碳排放因子(Fi)应包括下列内容: 1 建筑材料生产涉及原材料的开采、生产过程的碳排放; 2 建筑材料生产涉及能源的开采、生产过程的碳排放; 3 建筑材料生产涉及原材料、能源的运输过程的碳排放; 4 建筑材料生产过程的直接碳排放。 6.2.4 建材生产阶段的碳排放因子宜选用经第三方审核的建材碳足迹数据。当无第三方提供时,缺省值可按本标准附录D执行。 6.2.5 建材生产时,当使用低价值废料作为原料时,可忽略其上游过程的碳过程。当使用其他再生原料时,应按其所替代的初生原料的碳排放的50%计算;建筑建造和拆除阶段产生的可再生建筑废料,可按其可替代的初生原料的碳排放的50%计算,并应从建筑碳排放中扣除。 条文说明 6.2.2 通过查询设计图纸、采购清单等工程建设相关技术资料,可获得建筑的工程量清单、材料清单等数据,即建筑建造所需要的各种建筑材料的消耗量。6.2.3 建材生产阶段碳排放计算的生命周期边界可采取“从摇篮到大门”的模型,即从建筑材料的上游原材料、能源生产开始,到建筑材料出厂为止;包含建筑材料生产所涉及原材料的开采、生产过程,建筑材料生产所涉及能源的开采、生产过程,建筑材料生产所涉及原材料、能源的运输过程和建筑材料生产过程。当其中某一过程碳排放缺失或被忽略时,应予以说明。 6.2.4 建材企业向第三方认证机构提供建材生产数据,第三方认证机构为企业的建材产品出具碳足迹证书,证书给出的就是本标准公式(6.2.1)中的因子(Fi)值,可直接用于计算。目前国内外认证机构都有开展建材碳足迹审核业务,今后会更为普遍,为建材部分的碳排放计算提供了便利。 6.2.5 使用低价值废料和再生原料生产建材以及再生循环利用建筑废料,都有利于降低建筑全生命期的碳排放,如粉煤灰、炉渣、矿渣、秸秆、垃圾等,因此本条规定了上述计算规则。 6.3 建材运输6.3.1 建材运输阶段碳排放应按下式计算:
Cys——建材运输过程碳排放(kgCO2e); Mi——第i种主要建材的消耗量(t); Di——第i种建材平均运输距离(km); Ti——第i种建材的运输方式下,单位重量运输距离的碳排放因子[kgCO2e/(t·km)]。 6.3.2 主要建材的运输距离宜优先采用实际的建材运输距离。当建材实际运输距离未知时,可按本标准附录E中的默认值取值。 6.3.3 建材运输阶段的碳排放因子(Ti)应包含建材从生产地到施工现场的运输过程的直接碳排放和运输过程所耗能源的生产过程的碳排放。建材运输阶段的碳排放因子(Ti)可按本标准附录E的缺省值取值。 条文说明 6.3.3 本条主要考虑建材运输过程和运输过程所耗能源的开采、加工。建材运输阶段碳排放计算理论上应包含:建材从生产地运到施工现场的运输过程,建材运输过程所耗能源的开采、加工,及运输工具的生产,运输道路等基础设施的建设等阶段。考虑到目前运输工具的生产、运输道路等基础设施建设等过程的基础数据尚不完善,且此类过程分摊到建材运输上的环境影响较小,可忽略不计。附录A 主要能源碳排放因子A.0.1 化石燃料碳排放因子应按表A.0.1选取。表A.0.1 化石燃料碳排放因子
续表A.0.1
A.0.2 其他能源碳排放因子应按表A.0.2选取。 表A.0.2 其他能源碳排放因子
条文说明 A.0.1 单位热值含碳量、碳氧化率数据来源于《省级温室气体清单编制指南(试行)》。根据《IPCC国家温室气体清单指南(2006年)》: CO2排放因子=碳含量×氧化因子×44/12 故 单位热值CO2排放因子=单位热值含碳量×碳氧化率×44/12 A.0.2 表A.0.2数据来源于《IPCC国家温室气体清单指南(2006年)》。 热力的CO2排放因子可参照国家发改委公布的自愿减排方法学CM-038-V01“新建天然气热电联产电厂”中关于供热设施的排放因子的计算方法,如: 热力的CO2排放因子=热源的供热设施用燃料的CO2排放因子÷热源的供热设施的效率。 附录B 建筑物运行特征B.0.1 计算建筑物碳排放时建筑物运行特征应符合表B.0.1的规定。表B.0.1 建筑物运行特征
续表B.0.1
续表B.0.1
续表B.0.1
条文说明 B.0.1 建筑物运行特征是影响建筑物用能强度的重要参数,在建筑碳排放计算中,一些建筑物运行特征数据并不能直接获得,工程师依据个人经验对建筑物进行各种假设、判断、抽象的过程对碳排放计算结果的影响很大,特别是一些无法直接获得的计算参数。这些数据的选择对碳排放计算结果的影响至关重要,因此本标准提供了各种类型建筑物运行特征的基础参数,保证建筑物碳排放计算结果的一致性和准确性。附录C 常用施工机械台班能源用量C.0.1 常用施工机械的单位台班的能源消耗量可按表C.0.1选用。表C.0.1 常用施工机械台班能源用量
续表C.0.1
续表C.0.1
续表C.0.1
续表C.0.1
续表C.0.1
续表C.0.1
条文说明 表C.0.1数据摘自住房和城乡建设部《建设工程施工机械台班费用编制规则》(建标[2015]34号)。附录D 建材碳排放因子D.0.1 建筑材料碳排放因子应按表D.0.1选取。表D.0.1 建筑材料碳排放因子
续表D.0.1
续表D.0.1
条文说明 表D.0.1中所有建材的生命周期碳排放因子,均来自中国生命周期基础数据库(CLCD)。建材生产过程数据主要来自建材行业统计和文献资料,上游背景过程数据采用中国生命周期基础数据库(2015年),并按照国际标准(Environmental mangement-Life cycle assessment-Principles and framework ISO 14040-2006)要求建立生命周期模型,使用IPCC第五次报告(2013年)的二氧化碳当量值计算得到。建材的碳排放因子受建材规格型号影响较大,并且随时间也有变化。计算时宜优先选用由建材生产商提供的且经第三方审核的建材碳足迹数据,或查询更新的中国生命周期基础数据库。 附录E 建材运输碳排放因子E.0.1 混凝土的默认运输距离值应为40km,其他建材的默认运输距离值应为500km。各类运输方式的碳排放因子应按表E.0.1选取。表E.0.1 各类运输方式的碳排放因子[kgCOe/(t·km)]
本标准用词说明1 为便于在执行本标准条文时区别对待,对要求严格程度不同的用词说明如下:1)表示很严格,非这样做不可的:正面词采用“必须”,反面词采用“严禁”; 2)表示严格,在正常情况下均应这样做的:正面词采用“应”,反面词采用“不应”或“不得”; 3)表示允许稍有选择,在条件许可时首先应这样做的:正面词采用“宜”,反面词采用“不宜”; 4)表示有选择,在一定条件下可以这样做的,采用“可”。 2 条文中指明应按其他有关标准执行的写法为:“应符合……的规定”或“应按……执行”。 引用标准名录1 《民用建筑节水设计标准》GB505552 《环境管理 生命周期评价 原则与框架》GB/T24040 3 《环境管理 生命周期评价 要求与指南》GB/T24044 4 《建筑节能气象参数标准》JGJ/T346 |
1. 本站所有资源来源于用户上传和网络,仅作为演示数据,如有侵权请邮件联系站长!
2. 盗版,破解有损他人权益和违法作为,请各位站长支持正版!
2. 盗版,破解有损他人权益和违法作为,请各位站长支持正版!

国家标准(推荐)