前言中华人民共和国国家标准 悬浮在空气中的可燃粉尘(以下简称为粉尘云)容易引起爆炸。粉尘云的最小点火能是重要的爆炸特性参数之一,它对研究和防止粉尘的燃烧、爆炸有重要意义。粉尘云最小点火能测试方法 双层振动筛落法(积分计算能量) Determination of the minimum ignition energy of dust cloud A method of dust-falling for double-deck shaking sieve (integrated calculation of energy) GB/T 15929-1995 1995-12-20批准 1996-06-01实施 国家技术监督局 发布 影响粉尘云最小点火能的因素很多,如表1所示。这些因素都是粉尘最小点火能的测试条件。测试条件的选择或确定对最小点火能的测量值影响极大,可引起几倍、几十倍甚至上百倍的差异。
1 主题内容与适用范围1.1 主题内容本标准规定了粉尘云最小点火能的测试原理、测试装置和测试方法。 1.2 适用范围 本标准适用于除火炸药以外所有颗粒状粉尘和能筛落的短纤维粉尘。 2 术语和符号2.1 关于点火源的术语和符号2.2 关于粉尘与粉尘云的术语和符号 2.3 关于粉尘云的点火能和影响因素及其状态的术语和符号。 2.4 关于最小点火能的术语和符号 2.5 关于试验装咒的术语和符号 2.1 关于点火源的术语和符号2.1.1 自然衰减型电容放电火花 capacitor discharge sparks with decaying natural type充电的电容器通过串联电阻在电极间隙形成的放电火花。 2.1.2 火花时间 r spark time r 火花放电从形成火花到火花熄灭的时间。以毫秒(ms)为单位。 2.1.3 火花能量We energy of sparks We 火花放电释放的能量。以毫焦耳(MJ)为单位。 2.1.4 电极距离l distance between electrodes l 放电电极之间的距离。以毫米(mm)为单位。 2.2 关于粉尘与粉尘云的术语和符号2.2.1 粉尘 dust能在一定时间内形成粉尘云,且因自身重量而沉降的微小固态粒子。 2.2.2 可燃粉尘 combustible dust 在粉尘云状态下可燃或易燃的粉尘。 2.2.3 粉尘浓度y dust concentration y 单位体积粉尘云中所含的粉尘质量。以每立方米的克数(g/m³)为单位。 2.3 关于粉尘云的点火能和影响因素及其状态的术语和符号。2.3.1 点火能 E ignition energy E影响粉尘云引燃能量的所有因素都处于某一确定状态下引燃粉尘云所需的最小能量。以毫焦耳(mJ)为单位。 2.3.2 影响因素 influential factor 影响粉尘云点火能大小的因素。 2.3.3 单调因素 monotone factor 使点火能单调变化(单调递增或单调递减)的影响因素。 2.3.4 极值因素 extreme value factor 使点火能出现极小值的影响因素。粉尘云点火能的主要极值因素有粉尘浓度y、电极距离l和火花时间r。 2.3.5 敏感状态 sensitive state 某一极值因素在其它因素都不变的情况下单独使点火能取极小值的状态称为该极值因素的敏感状态。 2.3.6 敏感值 sensitive value 每个极值因素的敏感状态参数称为该极值因素的敏感值。也就是浓度、火花时间和电极距离各自的敏感状态参数分别称为敏感浓度、敏感火花时间和敏感电极距离,分别表示为ym、rm和lm。 2.3.7 总敏感状态 total sensitive state 同时使点火能取极小值的全部极值因素状态称为极值因素的总敏感状态。 2.3.8 总敏感值 total sensitive value 总敏感状态参数称为极值因素的总敏感值,也就是浓度、火花时间和电极距离的总敏感值分别称为总敏感浓度、总敏感火花时间和总敏感电极距离,分别表示为yM、 rM和lM。 2.4 关于最小点火能的术语和符号2.4.1 部分敏感状态50%最小点火能EA.50%,EA.B.50% the minimum ignition energy with ignition probability of 50% under partial sensitive state EA.50%,EA.B.50%在全部单调因素处于规定状态,部分(一个或二个,而不是全部)极值因素处于敏感状态,剩余极值因素处于一定状态下点火率为50%的最小点火能。以毫焦尔(mJ)为单位。角码A和B表示处于敏感状态的极值因素。 2.4.2 总敏感状态50%最小点火能EM.50% the minimum ignition energy with ignition probability of 50% under the total sensitive state EM.50% 在全部单调因素处于规定状态,所有极值因素处于总敏感状态下点火率为50%的最小点火能。以毫焦耳(mJ)为单位。 2.4.3 总敏感状态P%最小点火能EM.P% the minimum ignition energy with ignition probability of P% under the total sensitive state EM.P% 在全部单调因素处于规定状态,所有极值因素处于总敏感状态下点火率为P%的最小点火能。以毫焦耳(mJ)为单位。 2.4.4 静电火花极限感度
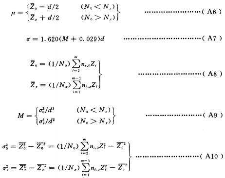
在全部单调因素处于规定状态,所有极值因素处于总敏感状态下点火率为百万分之一的最小点火能。以毫焦耳(mJ)为单位。 2.5 关于试验装咒的术语和符号2.5.1 双层振动筛落爆炸试验装置 explosion testing apparatus with a double-deck shaking sieve for a fall of dust 用双层筛分别振动筛落粉尘的方法形成均匀粉尘云,并用来测试粉尘云最小点火能的爆炸试验装置。 3 测试原理可燃粉尘云的点火率服从以点火能量(火花能量)为随机变量的对数正态分布,也就是服从以点火能量的对数为随机变量的正态分布。在全部单调因素处于规定状态下,用附录A(补充件)中规定的概率法或升降法,先确定极值因素的总敏感状态,再求得总敏感状态下的点火率对数正态分布参数μ和σ,用下列公式求得对应于各种点火率的最小点火能:
式中tp%为对应于p%概率的标准正态变量,其典型值如附录B(参考件)所示。 4 测试系统4.1 形成均匀粉尘云的爆炸试验装置和粉尘浓度测量方法4.2 放电电路和火花能量测量系统 4.1 形成均匀粉尘云的爆炸试验装置和粉尘浓度测量方法4.1.1 双层振动筛落爆炸试验装置双层振动筛落爆炸试验装置主要由主、副筛和它们的振动机构,主轴及其内外两层套管,分别固定在内层套管两侧的粉尘浓度测试筒(由三段组成,以下简称为测试筒)和爆炸试验筒(以下简称为爆炸简),以及固定在外层套管上的挡尘板和接尘板等组成,如图1所示。主轴固定不动,内、外两层套管可绕主轴转动。电机通过皮带带动轴A和B旋转,并通过偏心轮分别带动主筛和副筛,使主筛上下振动和副筛水平振动。它们的振幅可通过偏心轮的偏心距来调解。副筛的振动频率为主筛的三倍。副筛的作用是提高粉尘云的均匀性。副筛的目数适当小于主筛,以免副筛上堆积粉尘。当电机起动时主副筛也同时振动,于是在副筛下方的测试筒或爆炸简内形成均匀粉尘云。 测试筒和爆炸筒均由内外径分别为9.3和10.3cm的有机玻璃管或其它高强度透明管制成。测试筒中段体积约为3L,爆炸筒体积约为5L。 主筛的尺寸为直径110mm,高度30mm,主筛目数的优选值为80、60、50、45、40、35、30、25、20、16、14、12、10、8、6、5、4目。主筛的振幅(全程)以1.5~2.0mm为宜。副筛为直径120mm的板状筛,副筛的振幅(全程)以稍大于副筛网眼尺寸为宜。主筛的振动频率应在每分钟600~1000次范围内可调。
图1 双层振动筛落爆炸试验装置原理图 4.1.2 粉尘浓度测量方法把测试筒转到主、副筛正下方位置,将接尘板和挡尘板抽出来。将盛好(用松装方式盛足粉尘后用直尺刮平)粉尘试样的主筛放入主筛槽内固定好。启动电机运行约2s(电机运行时间决定于测试筒或爆炸筒中粉尘下落的时间,一般2s为宜。此时间靠电机调速器内延时器控制),电机断电的同时,靠弹簧力把挡尘板和接尘板同时插入三段测试筒的上、下两个缝隙中,待中段筒内粉尘全部沉降到接尘板(半分钟就足够)之后取出来称粉尘质量。此粉尘质量与中段筒体积之比值为粉尘浓度。粉尘浓度靠主筛目数和主筛振动频率来调解,主筛振动频率靠电机转速调节。主筛振动频率或电机转速用光电转速表直接测量。 4.2 放电电路和火花能量测量系统4.2.1 放电电路点火源采用既能调节火花时间,而且火花形态也接近实际静电放电的自然衰减型电容放电火花。形成这一类放电的电路装置主要由可调直流高压电源(最高电压为30kV,一般用10kV左右)、储能电容Cd(0.001~1μF)、放电电阻Rd (400~106Ω)、限流电阻Re(50MΩ)、测量分压器(分压比为1000:1)、测流电阻Ra(1Ω,无感或电感很小的电阻)、高压开关(闸流管)和装在爆炸室内的放电电极(端部为30°锥形的一对
图2 自然衰减型电容放电电路和火花能量测量系统 4.2.2 火花能量测量系统 火花能量测量系统主要由双通道瞬态波形记录器(以下简称为波存器)、示波器和微机等组成,如图2右半部所示(在波存器的抗干扰性能不足的情况下,需要在波存器与信号采集源之间增设光纤系统)。在放电过程中的极隙电压波形Ue(t)和火花电流波形i(t),分别从分压器的低压臂和分流器电阻取出,直接或经过适当的衰减器和光纤系统输入到波存器中,用微型计算机按下式计算火花能量We。
5 测试方法和步骤5.1 粉尘云燃烧爆炸的判断5.2 影响点火能因素状态参数的确定 5.3 求μ和σ 5.4 求最小点火能 5.5 测试步骤 5.1 粉尘云燃烧爆炸的判断在爆炸筒内放电火花引燃了粉尘云,至少在放电电极上方全部空间充满燃烧火焰时判断为燃烧爆炸。5.2 影响点火能因素状态参数的确定5.1 粉尘云燃烧爆炸的判断在爆炸筒内放电火花引燃了粉尘云,至少在放电电极上方全部空间充满燃烧火焰时判断为燃烧爆 炸。 5.2 影响点火能因素状态参数的确定 先确定单调因素状态参数,后确定极值因素的总敏感状态参数。 单调因素状态参数都是人为确定 的,极值因素的总敏感状态参数是通过实验确定的。 5.2.1 单调因素状态参数的确定 5.2.1.1 电极材料、形状和大小 电极采用直径为2mm,端部为30°锥形的一对钨棒,其锥形尖端的曲率半径为10~40μm。 5.2.1.2 粉尘试样的粒度(或粒径) 在一般情况下以200目标准筛全通过的粉尘(粒径小于75μm的粉尘)为标准试样。在特殊情况下可以选择特定粒度或粒径范围粉尘为标准试样,例如当选取市售的标准或非标准粉尘为试样时,其粒度或粒径分布也就已定。 5.2.1.3 粉尘试样的组分 粉尘试样的含水率一般不得超过1%。 粉尘试样的化学成分可根据需要来确定,或确认现成试样的组分。 5.2.1.4 粉尘云的均匀性和扰动程度 粉尘云的均匀性和扰动程度已由形成粉尘云的双层振动筛落爆炸试验装置所决定,无选择余地。双层振动筛落爆炸试验装置所形成粉尘云的均匀性一般比其它任何吹散法都好;扰动程度也比吹散法小。 5.2.1.5 粉尘云的初始温度、压力和湿度 在一般情况下,粉尘最小点火能的测量应在下列大气条件下进行: 气温:10~35C 气压:86~106kPa 相对湿度:不大于75% 在特殊情况下可规定所需的气温、气压或湿度范围。 5.2.2 极值因素总敏感状态参数的确定 求极值因素总敏感状态参数实际上是求多变量的极值问题。如果极值因素r、l和y彼此无关,则问题变的简单。然而它们并非彼此完全无关。yM主要决定于粉尘云本身的燃烧及其传播特性,与点火源的形态基本无关,因而yM与rM、lM基本无关。还考虑到粉尘云的总敏感浓度一般在500~1600g/m³之间,总敏感火花时间rM一般为1ms左右,可按下列实验程序求极值因素的总敏感值。在下列实验程序中全部单调因素均处于5.2.1条规定的状态。 5.2.2.1 求τm和lm 在y=500g/m³,τ取1ms的条件下,用附录A所规定的概率法或升降法求对应于不同l的E50%,画出E50%-l曲线,找出该曲线极小值所对应的电极距离lm。接着在y=500g/m³,l=lm的条件下,同样用附录A规定的概率法或升降法求对应于不同τ的,El·50%,画出El·50%-τ曲线,找出曲线极小值所对应的火花时间τm。 用概率法求对应于50%点火率的最小点火能时,为减少实验工作量,重复实验次数N可取10。 5.2.2.2 求τM和lM 如果上面求得的τm与1ms相差不超过±10%,则τm、和lm分别作为τM和lM。 如果τm与1ms相差超过±10%,则进行第二轮实验。即在y=500g/m³,τ =τm的条件下,用5.2.2.1条规定的方法再次求敏感电极距离l´m。接着在y=500g/m³,l=l´m的条件下,用5.2.2.1条规定的方法再次求τ´m。考虑到粉尘云的τM一般在1ms左右,τ´m与τm相差不会超过±10%,这时可把τ´m和l´m分别作为τ´M和lM。 如果τ´m与τm相差仍超过±10%,则用同样方法求得第三轮的τ"m和l"m,并将τ"m和l"m分别作为τM和lM。 在一般情况下第一轮实验就能得到满足,至多求第二轮。 5.2.2.3 求yM 在τ=τM,l=lM的条件下,用附录A规定的概率法或升降法求对应于不同y的Er·l·50%,画出Eτ·l·50%-y曲线,找出曲线极小值所对应的粉尘浓度ym。此ym也就是yM。 用概率法求ym时,为减少实验工作址,重复实验次数N可取10。 5.3 求μ和σ在所有单调因素取5.2.1条规定的状态,全部极值因素处于总敏感状态下,用附录A规定的概率法或升降法求μ和σ。5.4 求最小点火能求得粉尘试样的μ和σ之后,用(1)、(2)和(3)式求对应于任一点火率的最小点火能。5.5 测试步骤在5.2~5.4条中各条各项的顺序反映了粉尘云最小点火能测试过程中各大环节的前后顺序。下面规定为便于测试粉尘云最小点火能所需要的两项预备试验和一次爆炸试验的具体步骤。5.5.1 放电电路的火花特性实验 此实验的目的是获得关于Rd-Cd-l-r-We关系的系统数据,以便测试最小点火能时能迅速选择在一定的l下获得一定的τ和We。所需要的Rd和Cd。只要通过实验测试获得下列实验曲线,就能达到上述的目的。 a. 在一万伏充电电压,不同l条件下的τ-Rd曲线(以Cd为参数); b. 在一万伏充电电压,不同l条件下的Cd-Rd曲线(以τ为参数); C. 在一万伏充电电压,不同l条件下的We-Rd曲线(以Cd为参数); d. 在一万伏充电电压,不同l条件下的We-Cd曲线(以Rd为参数); e. 在若干个Rd、Cd组合下的τ-U(充电电压)曲线; f. 在若干个Rd、Cd组合下的We-U曲线。 实际上b和d系列曲线只不过分别为a和c系列曲线的另一种表示形式而已。 上述系列实验曲线是放电电路所固有的特性,与粉尘试样基本无关,即使有粉尘的情况下,这些放电特性也变化不大,因此适用于所有粉尘试样。 5.5.2 粉尘浓度实验 此实验的目的是对确定的粉尘试样获得主筛目数M一主筛振动频率f 一粉尘浓度y之间的关系数据,以便根据所需的浓度迅速选择适当目数的主筛及其振动频率。为此应通过实验绘制出y-f曲线(以M为参数)图。此图是确定的粉尘试样通过双层振动筛落爆炸试验装置反映出来的固有特性。因而对每种粉尘试样都应作这种实验。 此实验必须用经过干燥的粉尘(含水率不超过1%)试样进行。 5.5.3 一次粉尘爆炸实验的具体步骤 在大致选定火花时间r(也就是确定Rd和Cd)和粉尘浓度y(也就是确定M和f)的条件下,按下列步骤完成一次爆炸实验。 a. 测量粉尘云浓度 按4.1.2条规定的方法测量粉尘云浓度。重复测量十次取其平均值作为该主筛及其振动条件下的粉尘云浓度。在确定粉尘试样的同一种浓度的爆炸试验全部完成之前,不得改变主筛目数及其振动条件。 b. 测量火花能量 把爆炸筒转到主筛槽正下方位置(目的在于避免电极引线的不同走向彭响分布电容,进而可能给火花时间和火花能量带来的误差)。通过开关操作给Cd充电一万伏,待电压稳定后放电。根据波存器记录的电压、电流波形计算火花能量We。重复测量We十次,取平均值作为火花能量。 实际上a.和b.两个步骤是可以对换的。 c. 进行粉尘爆炸实验 在完成上述两个步骤的基础上,进行粉尘爆炸实验。把爆炸筒转到主筛槽正下方位置,调节好电极距离。操作开关,给储能电容充电一万伏。在主筛内盛满粉尘试样,固定在主筛槽内,关上粉尘爆炸试验装置的门,起动电机约2s后,触发闸流管引爆,观察爆炸室内是否燃烧爆炸。粉尘云爆炸之后,起动排风扇排除爆炸试验装耸及其爆炸筒内的燃烧废气,打开爆炸室的接尘底盖,用软毛刷清除电极上的粉尘及其燃烧残留物,用硬毛刷清除副筛上的粉尘燃烧残留物,以便作下一次爆炸实验。 如果采用概率法,条件完全相同的爆炸实验重复多次,其重复次数决定于测试目的(寻找敏感条件时重复次数N取10,求μ和σ时重复次数N不小于50)。如果是升降法,则改变电压再作爆炸实验。 6 测试报告内容粉尘云最小点火能的侧试报告应包括下列内容:a. 粉尘的名称、种类和来源; b. 粉尘的化学成分; c. 粉尘的含水率; d. 粉尘的粒度(目数)范围或粒径分布; e. 环境空气的压力、温度和相对湿度; f. 电极的材质、形状和尺寸; g. 总敏感火花时间; h. 总敏感电极距离; i. 总敏感粉尘浓度; j. 对数正态分布参数μ和σ; k.
1. 测试日期; m. 测试者签名。 附录A 概率法和升降法(补充件)A1 概率法A2 升降法 A1 概率法利用以E为随机变量的对数正态分布的概率在对数正态概率纸上是一条直线,或以E的对数为随机变量的正态分布的概率在正态概率纸上是一条直线的性质,求得μ和σ。适当选取m个Zi(=lgEi,i=1,2.......,m),在一定实验条件下用每个Zi (或Ei)重复进行N次点火实验。设每个Zi的点燃次数为N i,则Zi的点火率(即概率)为Pi=N i/N(i=1,= 2,.......,m)。实验测得Pi之后,利用正态概率纸,以点火率为纵轴,Z为横轴,把所有Pi标在正态概率纸上,画出一条尽可能靠近所有实验点,特别是靠近点火率为50%附近若干点的直线,使落在直线两侧的实验点个数尽量相等。 画出实测点火率直线之后,从图上直接查得对应于50%点火率的横坐标值Z50%,这就是点火率对数正态分布参数产μ,即
在图中直线上另选远离50%点火率的任一点,查得此点的纵坐标为P%,横坐标为ZP%,对应于P%点火率的标准正态变量为tP%,则另一个对数正态分布参数。可按下列公式计算:
一般m不小于7,N不小于50,P1不大于0.1,Pm不小于0.9。 求得点火率对数正态分布参数μ和σ之后,就能计算对应于任一点火率的最小点火能。 A2 升降法A2.1 升降法的实验程序适当选取Z的初始值
A2.2 用升降法数据求μ和σ的方法 设在升降法有效实验中Z的m个等级从小到大的排列为Z1, Z2,……, Zm,每个等级上点燃和未点燃的实验次数分别为
根据N0与Nx的大小,以其中小者的实验数据为基础,按下列公式计算μ和σ:
不难看出
附录B 标准正态分布典型概率表(参考件)
续表 附加说明本标准由中华人民共和国公安部提出。本标准由全国消防标准化技术委员会归口。 本标准由公安部沈阳消防科学研究所负责起草。 |
1. 本站所有资源来源于用户上传和网络,仅作为演示数据,如有侵权请邮件联系站长!
2. 盗版,破解有损他人权益和违法作为,请各位站长支持正版!
2. 盗版,破解有损他人权益和违法作为,请各位站长支持正版!

国家标准(推荐)