工程岩体分级标准 GB/T50218-2014

master
2024-02-12
国家标准
标准型式: 中华人民共和国国家标准-推荐标准
发布日期: 2014年8月27日
实施日期: 2015年5月1日

前言

中华人民共和国国家标准
工程岩体分级标准

Standard for engineering classification of rock mass
GB/T 50218-2014
主编部门:中华人民共和国水利部
批准部门:中华人民共和国住房和城乡建设部
施行日期:2015年5月1日
中华人民共和国住房和城乡建设部公告
第531号

住房城乡建设部关于发布国家标准《工程岩体分级标准》的公告

    现批准《工程岩体分级标准》为国家标准,编号为GB/T 50218-2014,自2015年5月1日起实施。原《工程岩体分级标准》GB 50218-94同时废止。
    本标准由我部标准定额研究所组织中国计划出版社出版发行。

中华人民共和国住房和城乡建设部
2014年8月27日


    本标准是根据住房城乡建设部《关于印发<2011年工程建设标准规范制订、修订计划>的通知》(建标[2011]17号)的要求,由长江水利委员会长江科学院会同有关单位在原《工程岩体分级标准》GB 50218-94的基础上修订而成的。
    本标准在编制过程中,编制组经广泛调查研究,认真总结实践经验,参考相关国家标准和国外先进标准,并在广泛征求意见的基础上,最后经审查定稿。
    本标准的主要技术内容为总则、术语和符号、岩体基本质量的分级因素、岩体基本质量分级和工程岩体级别的确定等。
    本标准修订的主要内容包括:
    1. 对原标准中的岩体基本质量指标BQ计算公式,在原有样本数据基础上,新增了54组样本数据,重新进行了回归分析,论证了岩体基本质量指标BQ计算公式的有效性,并对BQ公式进行了局部修订。
    2. 增加了边坡工程岩体质量指标的计算、边坡工程岩体级别的划分以及边坡工程岩体自稳能力的确定等内容。
    3. 收集与整理了自标准颁布以来的有关工程岩体现场试验成果资料,依据基于岩体质量级别的试验资料统计结果,对附录D岩体及结构面物理力学参数进行了论证与局部修订。
    4. 收集与整理了不同岩体级别条件下的岩石地基现场载荷试验资料,对基岩承载力基本值(f0)进行了论证。
    5. 在初始应力对地下工程岩体质量指标影响修正方面,将岩体初始应力状态对地下工程岩体级别的影响调整为以相应初始应力和围岩强度确定的强度应力比值作为修正控制因素。
    6. 对章节和附录结构以及内容进行了局部调整和补充,对岩石风化程度的划分及结构面结合程度的划分等内容进行了局部修订。
    本标准由住房城乡建设部负责管理,由水利部负责日常管理,由长江水利委员会长江科学院负责具体技术内容的解释。执行过程中如有意见或建议,请寄送给长江水利委员会长江科学院(地址:武汉市黄浦大街23号;邮政编码:430010)。
    本标准主编单位、参编单位、主要起草人和主要审查人:
    主编单位:长江水利委员会长江科学院
    参编单位:东北大学
              总参工程兵第四设计研究院
              中铁西南科学研究院有限公司
              建设综合勘察研究设计院有限公司
              长江勘测规划设计研究有限责任公司
              中国水电顾问集团成都勘测设计研究院
              煤炭科学研究总院开采研究分院
              中交第二公路勘察设计研究院有限公司
              华北有色工程勘察院有限公司
    主要起草人:邬爱清 赵文 周火明 柳赋铮 龚固培 徐复安 何发亮 孙毅 李会中 宋胜武 陈卫东 冯夏庭 康红普 吴万平 刘新社 朱杰兵 张宜虎 汪斌
    主要审查人:司富安 陈德基 王行本 高玉生 董学晟 邢念信 齐俊修 朱维申 聂德新 李小和 丁小军 陈昌彦 雷兴顺 林韵梅 王石春 陈梦德 

条文说明

修订说明

    《工程岩体分级标准》GB/T 50218-2014,经住房城乡建设部2014年8月27日以第531号公告批准、发布。
    本标准是在原《工程岩体分级标准》GB 50218-94的基础上修订而成,上一版的主编单位是长江水利委员会长江科学院,参编单位是东北大学、总参工程兵第四设计研究院、铁道部科学研究院西南分院、建设综合勘察研究设计院。主要起草人(按姓氏笔画)是:王石春、邢念信、李云林、李兆权、苏贻冰、张可诚、林韵梅、柳赋铮、徐复安、董学晟。本次修订的主要内容包括:1.对原标准中的岩体基本质量指标BQ计算公式,在原有样本数据基础上,新增了54组样本数据,重新进行了回归分析,论证了岩体基本质量指标BQ计算公式的有效性,并对BQ公式进行了局部修订;2.增加了边坡工程岩体质量指标的计算、边坡工程岩体级别的划分以及边坡工程岩体自稳能力的确定等内容;3.收集与整理了自标准颁布以来的有关工程岩体现场试验成果资料,依据基于岩体质量级别的试验资料统计结果,对岩体及结构面物理力学参数进行了论证与局部修订;4.收集与整理了不同岩体级别条件下的岩石地基工程现场载荷试验资料,对基岩承载力基本值f0进行了论证;5.在初始应力条件下地下工程岩体质量修正方面,将岩体初始应力状态对地下工程岩体级别的影响调整为以相应初始应力和围岩强度确定的强度应力比值作为修正控制因素;6.对章节和附录的结构以及内容进行了局部调整和补充,对岩石风化程度的划分及结构面结合程度的划分等内容进行了局部修订。
    本标准修订过程中,编制组通过资料收集与调研,总结了标准颁布实施以来在我国工程建设中的应用实践、效果以及在相关行业标准制定中的应用情况,同时参考了国外先进技术法规、技术标准,完成本标准的修订工作。
    为便于广大设计、施工、科研、学校等单位有关人员在使用本标准时能正确理解和执行条文规定,编制组按章、节、条顺序编制了本标准的条文说明,对条文规定的目的、依据以及执行中需注意的有关事项进行了说明。但是,本条文说明不具备与正文同等的法律效力,仅供使用者作为理解和把握标准规定的参考。

1 总则

1.0.1 为统一工程岩体分级方法,并为岩石工程勘察、设计、施工和运行提供基本依据,制定本标准。
1.0.2 本标准适用于各类型岩石工程的岩体分级。
1.0.3 工程岩体分级应采用定性与定量相结合的方法,并分两步进行,先确定岩体基本质量,再结合具体工程的特点确定工程岩体级别。
1.0.4 工程岩体分级,除应符合本标准外,尚应符合国家现行有关标准的规定。


条文说明
1.0.1 本标准涉及的工程岩体分级方法主要是与工程岩体质量及其稳定性评价相关的岩体分级方法。随着国家现代化建设事业的发展,在水利水电、铁道、交通、矿山、工业与民用建筑、国防等工程中,各种类型、各种用途的岩石工程日益增多。在工程建设的各阶段(规划、勘察、设计和施工),正确地对工程岩体的质量及其稳定性作出评价,具有十分重要的意义。质量优、稳定性好的岩体,不需要或只需要很少的加固支护措施,并且施工安全、简便;质量差、稳定性不好的岩体,需要复杂、昂贵的加固支护等处理措施。正确、及时地对工程建设涉及的岩体质量及稳定性作出评价,是经济合理地进行岩体开挖和加固支护设计、快速安全施工,以及建筑物安全运行必不可少的条件。
    针对不同类型岩石工程的特点,根据影响岩体稳定性的各种地质条件和岩石物理力学特性,将工程岩体划分为岩体质量及稳定程度不同的若干级别,以此为标尺作为评价岩体稳定的依据,是岩体稳定性评价的一种简易快速的方法。工程岩体分级既是对岩体复杂的性质与状况的分解,又是对性质与状况相近岩体的归并,由此区分出不同的岩体质量等级。
    岩体分级方法是建立在以往工程实践经验和大量岩石力学试验基础上的一种方法。只需进行少量简易的地质勘察和岩石力学试验就能确定岩体级别,作出岩体稳定性评价,给出相应的物理力学参数,为岩石工程建设的勘察、设计和施工等提供基本依据。考虑到需要区分的是稳定程度的不同,具有量的差别,是有序的;“分类”一词通常指的是属性不同的类型的区分,如按地质成因,岩石可分为岩浆岩、沉积岩、变质岩三大类,是无序的。而“级”是“等级”的意思,有量的概念,一般将有“量”的划分称为“分级”,因此,本标准采用“分级”一词,而不用以往比较流行的“分类”一词。
    此外,本标准采用“工程岩体”一词,旨在明确指出其对象是与岩石工程有关的岩体,是工程结构的一部分。工程岩体与工程结构共同承受荷载,是工程整体稳定性评价的对象。至于“岩石”一词,一般多指小块的岩石或岩块,而建设工程总是以一定范围的岩体(并不是小块岩石)为其地基或环境的。严格来说,应以“岩体工程”来代替过去常用的“岩石工程”一词,但考虑到习惯上多称这类工程为“岩石工程”,“岩体工程”的提法少见,故本标准仍采用“岩石工程”一词。
1.0.2 本标准适用于各类型岩石工程,如矿井、巷道、水工、铁路和公路隧道,地下厂房、地下采场、地下仓库等各种地下洞室工程;坝肩、船闸、渠道、露天矿、路堑、码头等各类地面岩石开挖形成的岩石边坡工程,以及闸坝、桥梁、港口、工业与民用建筑物等岩石地基工程。
    由于工程建设各阶段的地质勘察、岩石力学试验的工作深度不同,确定的工程岩体级别的代表性和准确性也不同。随着勘测设计阶段的深入,获得更多的勘察、试验资料,重复使用本标准,逐步缩小划分单元,使定级的代表性和准确性提高。对于某些大型或重要工程,在施工阶段,还可进一步用实际揭露的岩体情况检验、修正已定的岩体级别。
    本标准属于国家标准第二层次的通用标准,适用于各部门、各行业的岩石工程。考虑到岩石工程建设和使用行业的特点,各部门还可根据自己的经验和实际需要,在本标准的基础上进一步作出详细规定,制定适合于行业的工程岩体分级标准。
1.0.3 国内外现有的各种岩体分级方法,或是定性或是定量,或是定性与定量相结合。定性分级,是在现场对影响岩体质量的诸因素进行鉴别、判断,或对某些指标作出评判一、打分,可从全局上去把握,充分利用工程实践经验,但这一方法经验的成分较大,有一定人为因素和不确定性。定量分级,是依据对岩体(或岩石)性质进行测试的数据,经计算获得岩体质量指标,能够建立确定的量的概念,但由于岩体性质和赋存条件十分复杂,分级时仅用少数参数和某个数学公式难以全面、准确地概括所有情况,实际工作中测试数量又总是有限,抽样的代表性也受操作者的经验所局限。本标准采用定性与定量相结合的分级方法,在分级过程中,定性与定量同时进行并对比检验,最后综合评定级别,这样可以提高分级的准确性和可靠性。
    由于各种类型工程岩体的受力状态不同,它们的稳定标准是不同的。即使对于同一类型岩石工程(如地下工程),由于各行业(各部门)运用条件上的差异,对岩体稳定性的要求也有很大差别,而且各部门的勘察、设计、施工以及与施工技术有密切关系的加固或支护措施,都有自己的一套专门要求和做法。
    为了编制一个统一的,各行业都能适用的工程岩体分级的通用标准,总结分析现有众多的分级方法,以及大量的岩石工程实践和岩石力学试验研究成果,按照共性提升的原则,将其中决定各类型工程岩体质量和稳定性的基本的共性抽出来,这就是只考虑岩石作为材料时的属性——岩石坚硬程度,和考虑岩石作为地质体而存在的属性——岩体完整程度,将它们作为衡量各种类型工程岩体质量和稳定性高低的基本尺度,作为岩体分级的基本因素。
    至于其他影响岩体质量和稳定性的属性,以及岩体存在的环境条件影响,如结构面的产状和组合、岩体初始应力状态、地下水状态等,它们对不同类型岩石工程影响的程度各不相同,也与行业的要求有关,体现了各工程类型和行业的特殊性。因此,所有其他因素可以作为各类型工程岩体个性的修正因素,用以为各具体类型的工程岩体作进一步的定级。
    因此,本标准规定了分两步进行的工程岩体分级方法:首先将由岩石坚硬程度和岩体完整程度这两个因素所决定的工程岩体性质,定义为“岩体基本质量”,据此为工程岩体进行初步定级;然后针对各类型工程岩体的特点,分别考虑其他影响因素,对已经给出的岩体基本质量进行修正,对各类型工程岩体再作详细定级。由此形成一个各类型岩石工程,各行业都能适用的分级标准。

2 术语和符号


2.1 术 语

2.2 符 号

2.1 术语

2.1.1 岩石工程 rock engineering
    以岩体为工程建筑物地基或环境,并对其进行开挖或加固的工程,主要包括岩石地下工程、岩石边坡工程和岩石地基工程。
2.1.2 工程岩体 engineering rock mass
    岩石工程影响范围内的岩体。
2.1.3 岩体基本质量 rock mass basic quality
    岩体所固有的、影响工程岩体稳定性的最基本属性。本标准规定,岩体基本质量由岩石坚硬程度和岩体完整程度所决定。
2.1.4 结构面 structural plane(discontinuity)
    岩体内部具有一定方向、一定规模、一定形态和特性的面、缝、层和带状的地质界面。
2.1.5 岩体完整性指数 intactness index of rock mass
    岩体弹性纵波速度与岩石弹性纵波速度之比的平方。
2.1.6 岩体体积节理数 volumetric joint count of rock mass
    每立方米岩体体积内的结构面数目。
2.1.7 点荷载强度指数 point load strength index
    直径50mm圆柱体试件径向加压时的点荷载强度。
2.1.8 初始应力场 initial geo-stress field
    自然状态下岩体中的应力场,也称天然应力场。
2.1.9 工程岩体自稳能力 stand-up time of engineering rock mass
    在无支护或无加固条件下,工程岩体保持稳定的能力。
2.1.10 基岩承载力基本值 basic value of bearing capacity of rock foundation
    岩石地基工程中,与岩体载荷-位移曲线中的比例极限或屈服极限相对应的荷载。

2.2 符号

  γ——岩体重力密度;
    Rc——岩石饱和单轴抗压强度;
    Is(50)——岩石点荷载强度指数;
    E——岩体变形模量;
    μ——岩体泊松比;
    φ——岩体或结构面内摩擦角;
    c——岩体或结构面黏聚力;
    Kv——岩体完整性指数;
    Jv——岩体体积节理数;
    K1——地下工程地下水影响修正系数;
    K2——地下工程主要结构面产状影响修正系数;
    K3——初始应力状态影响修正系数;
    K4——边坡工程地下水影响修正系数;
    K5——边坡工程主要结构面产状影响修正系数;
    λ——边坡工程主要结构面类型与延伸性修正系数;
    f0——岩体基岩承载力基本值;
    BQ——岩体基本质量指标;
    [BQ]——工程岩体质量指标;
    H——岩石地下工程埋深或岩石边坡高度。

3 岩体基本质量的分级因素


3.1 分级因素及其确定方法

3.2 分级因素的定性划分

3.3 分级因素的定量指标

3.1 分级因素及其确定方法

3.1.1 岩体基本质量应由岩石坚硬程度和岩体完整程度两个因素确定。
3.1.2 岩石坚硬程度和岩体完整程度,应采用定性划分和定量指标两种方法确定。


条文说明

3.1.1 本标准在确定分级因素及其指标时,采取了两种方法平行进行,以便互相校核和检验,提高分级因素选择的准确性和可靠性。一种是从地质条件和岩石力学的角度分析影响岩体稳定性的主要因素,总结国内外实践经验,进而确定分级因素,并综合分析、选取分级因素的定量指标。另一种是采用统计分析方法,研究我国各部门多年积累的大量测试数据,从中寻找符合统计规律的最佳分级因素。
    影响岩体稳定的因素主要是岩石的物理力学性质、构造发育情况、承受的荷载(工程荷载和初始应力)、应力应变状态、几何边界条件、水的赋存状态等。在这些因素中,只有岩石的物理力学性质和构造发育情况是独立于各种工程类型之外的,两者反映了岩体的基本特性。在岩石的各项物理力学性质中,对稳定性影响最大的是岩石坚硬程度。岩体的构造发育状况,则集中反映了岩体的不连续性及不完整性这一属性。这两者是各种类型岩石工程的共性,对各种类型工程岩体的稳定性都是重要的,是控制性的。因此,岩体基本质量分级的因素,应当是岩石坚硬程度和岩体完整程度这两个因素。
    至于岩石风化,虽然也是影响工程岩体质量和稳定性的重要因素,但是风化程度对工程岩体特性的影响,一方面是使岩石疏软以至松散,物理力学性质变坏,另一方面是使岩体中裂隙增多,这些已分别在岩石坚硬程度和岩体完整程度中得到反映,所以本标准没有把风化程度作为一个独立的分级因素。
    应用聚类分析、相关分析等统计方法,并根据工程实践经验来研究、选取分级因素。收集了来自各部门、各工程的460组实测数据,从中遴选了包括岩石饱和单轴抗压强度Rc、岩石点荷载强度指数Is、岩石弹性纵波速度Vpr、岩体弹性纵波速度Vpm、岩体重力密度γ、岩石地下工程埋深H、平均节理间距dp或RQD等七项测试指标,以及岩体完整性指数Kv、应力强度比γ/H/Rc二项复合变量作为子样。对同一工程且岩体性质相同的各区段,以其测试结果的平均值作为统计子样。这样,最终选定的抽样总体来自各部门的103组工程数据,其中来自国防21组、铁道13组、水电24组、冶金和有色金属30组、煤炭8组、人防1组和建筑部门6组。经过对抽样总体的相关分析、聚类分析和可靠性分析之后,确定岩体基本质量指标的因素的参数是Rc、Kv、dp与γ。在这四项参数中,经进一步分析,γ值绝大多数在23kN/m3~28kN/m3之间变动,对岩体质量的影响不敏感,可反映在公式的常数项中;而Kv与dp在一定意义上同属反映岩体完整性的参数,考虑到Kv在公式中的方差贡献大于dp,并考虑到国内使用的广泛性与简化公式的需要,仅选用Kv。这样,最终确定以Rc和Kv为定量评定岩体基本质量的分级因素。这与根据地质条件和岩石力学综合分析的结果是一致的。
3.1.2 根据定性与定量相结合的原则,岩体基本质量的两个分级因素应当同时采用定性划分和定量指标两种方法确定,并相互比对。
    分级因素定性划分依据工程地质勘察中对岩体(石)性质和状态的定性描述,需要在勘察过程中,对这两个分级因素的一些要素认真观察和记录。这些资料由于获取方法直观,简便易行,有经验的工程人员易于对此进行鉴定和划分。
    分级因素的定量指标是通过现场原位测试或取样进行室内试验取得的,这些测试和试验简单易行,一般工程条件下都可以进行。在某些情况下,如果进行规定的测试和试验有困难,还可以采用代用测试和试验方法,经过换算求得所需的分级因素定量指标。
    对于定性划分出的各档次,给出了相应的定量指标范围值,以便使定性划分和定量指标两种方法确定的分级因素可以相互对比。

3.2 分级因素的定性划分

3.2.1 岩石坚硬程度的定性划分应符合表3.2.1的规定。

表3.2.1岩石坚硬程度的定性划分


6-161223213022L9.jpg
 
6-16122321313M04.jpg

3.2.2 岩石风化程度定性划分时,其风化程度应按表3.2.2的规定确定。

表3.2.2 岩石风化程度定性划分


6-161223213240356.jpg

3.2.3 岩体完整程度的定性划分应符合表3.2.3的规定。

 表3.2.3 岩体完整程度的定性划分


6-161223213359491.jpg

  注:平均间距指主要结构面间距的平均值。
3.2.4 结构面的结合程度,应根据结构面特征,按表3.2.4确定。

3.2.4 结构面的结合程度划分


6-161223214030252.jpg
条文说明

3.2.1 岩石坚硬程度的确定,主要应考虑岩石的矿物成分、结构及其成因,还应考虑岩石受风化作用的程度,以及岩石受水作用后的软化、吸水反应等情况。为了便于现场勘察时直观地鉴别岩石坚硬程度,在“定性鉴定”中规定采用锤击难易程度、回弹程度、手触感觉和吸水反应等行之有效、简单易行的方法。
    本条表3.2.1中,规定了用“定性鉴定”作为定性评价岩石坚硬程度的依据,并给出了相应代表性岩石。在定性划分时,应注意作综合评价,在相互检验中确定坚硬程度并定名。
    在确定岩石坚硬程度的划分档数时,考虑到划分过粗不能满足不同岩石工程对不同岩石的要求,在对岩体基本质量进行分级时,不便于对不同情况进行合理地组合;划分过细又显繁杂,不便使用。鉴于上述考虑,总结并参考国内已有的划分方法和工程实践中的经验,本条先将岩石划分为硬质岩和软质岩两个大档次,再进一步划分为坚硬岩、较坚硬岩、较软岩、软岩和极软岩五个档次。
3.2.2 岩石长期受物理、化学等自然营力作用,即风化作用,致使岩石疏松以至松散,物理力学性质变坏。在确定代表性岩石时,仅仅说明属于哪一种岩石是不够的,还必须指明其风化程度,以便确定风化后的岩石坚硬程度档次。
    关于风化程度的划分或定义,国内外在工程地质工作上,大都从大范围的地层或风化壳的划分着眼,把裂隙密度、裂隙分布及发育情况、弹性纵波速度以及岩石结构被破坏、矿物变异等多种因素都包括进去。本条表3.2.2关于岩石风化特征的描述和风化程度的划分,仅针对岩块,是为表3.2.1服务的,它并不代替工程地质中对岩体风化程度的定义和划分。这项专门为描述岩石坚硬程度所作的规定,主要考虑了岩石结构构造被破坏、矿物蚀变和颜色变化程度,把地质特征描述中的有关裂隙及其发育情况等归入另一个基本质量分级因素,即归入岩体完整程度中去。
    在自然界里,岩石风化程度总是从未风化逐渐演变为全风化的,是普遍存在的一个地质现象。本条总结了我国采用的划分方法,并考虑在岩石坚硬程度划分和在岩体基本质量分级时便于对不同情况加以组合,将岩石风化程度划分为未风化、微风化、中等(弱)风化、强风化和全风化五种情况。
3.2.3 岩体完整程度是决定岩体基本质量的另一个重要因素。影响岩体完整性的因素很多,从结构面的几何特征来看,有结构面组数、产状、密度和延伸程度,以及各组结构面相互切割关系;从结构面性状特征来看,有结构面的张开度、粗糙度、起伏度、充填情况、充填物、水的赋存状态等,如将这些因素逐项考虑,用来对岩体完整程度进行划分,显然是困难的。从工程岩体的稳定性着眼,应抓住影响岩体稳定的主要方面,使评判划分易于进行。经分析综合,将结构面几何特征诸项综合为“结构面发育程度”;将结构面性状特征诸项综合为“主要结构面的结合程度”。
    本条表3.2.3中,规定了用结构面发育程度、主要结构面的结合程度和主要结构面类型作为划分岩体完整程度的依据。在定性划分时,应注意对这三者作综合分析评价,进而对岩体完整程度进行定性划分并定名。
    表中所谓“主要结构面”是指相对发育的结构面,即张开度较大、充填物较差、成组性好的结构面。在对洞室及边坡工程进行工程岩体级别确定时,主要结构面是产状、发育程度及结合程度等因素对工程稳定性起主要影响的结构面。
    结构面发育程度包括结构面组数和平均间距,它们是影响岩体完整性的重要方面。我国各部门对结构面间距的划分不尽相同(表1),也有别于国外(表2)。本条在对结构面平均间距进行划分时,主要参考了我国工程实践和有关规范的划分情况,也酌情考虑了,国外划分情况。

表1 国内结构面间距划分(m)


6-161223214S5627.jpg

注:表中括号内数值为结构面组数。

表2 国外裂隙间距划分(m)


6-161223215110640.jpg

 表3.2.3中所列的“相应结构类型”,是国内对岩体完整程度比较流行的一种划分方法。为了适应已形成的习惯,在使用本标准时有一个逐渐过渡的过程,列出了这些结构类型以作参考。表3引自《水利水电工程地质勘察规范》GB 50487和《水力发电工程地质勘察规范》GB 50287中关于岩体结构类型的划分方法。比较表3.2.3和表3,对于结合好或结合一般的情况,条文表3.2.3中各类岩体完整程度下的结构面发育程度与表3中的划分基本一致;当结构面结合程度为结合差时,对应的岩体结构类型向劣化方向降低一个亚类。

表3 岩体结构分类


6-161223215420S5.jpg

  本标准各条文表中的有关数据(如本条表3.2.3),均采用范围值而没有给出确定的界限值,是考虑到岩体(岩石)复杂多变,有一定随机性。这些数据只是从一个侧面反映其性质,评价时必须结合物性特征。在划分或以后定级时,若其有关数据恰好处于界限值上,应结合物性特征作出判定。

3.2.4 结构面结合程度,应从各种结构面特征,即张开度、粗糙程度、充填物性质及其性状等方面进行综合评价。本条规定这几个方面内容作为评价划分的依据,一是因为它们是决定结构面的结合程度的主要方面,再则也是为了便于在进行划分时适应野外工作的特点,工程师在野外观察时凭直观就能判断。将这几方面的情况分析综合,划分为结合好、结合一般、结合差、结合很差四种情况。
    张开度是指结构面缝隙紧密的程度,国内一些部门在工程实践中,各自作了定量划分,见表4所列。从表中可看出张开度划分界限最大值为5.0mm,最小值为0.1mm。考虑到适用于野外定性鉴别,对大于3.0mm者,从工程角度看,已认为是张开的,再细分无实际意义;小于1.0mm者再细分肉眼不易判别。所以本标准确定了本条表3.2.4张开度的划分界限。
    当鉴定结构面结合程度时,还应注意描述缝隙两侧壁岩性的变化,充填物性质(来源、成分、颗粒粗细),胶结情况及赋水状态等,综合分析评价它们对结合程度的影响。
    结构面粗糙程度,是决定结构面结合程度好坏的一个重要方面。从工程稳定方面看,对于结构面,人们所关心的是其抗滑能力,而结构面侧壁的粗糙度程度,常在很大程度上影响着它的抗滑能力。因此,国内各方面都着力对结构面粗糙度进行鉴别和划分,这些划分方法对粗糙度尚无确切的含义和标准,仅从结构面的成因和形态来划分,较为抽象,不便使用。再者,考虑到本标准系高层次的通用标准,也不宜作繁杂具体的规定。

表4 结构面张开度划分情况


6-161223215239431.jpg

3.3 分级因素的定量指标

3.3.1 岩石坚硬程度的定量指标,应采用岩石饱和单轴抗压强度Rc。Rc应采用实测值。当无条件取得实测值时,也可采用实测的岩石点荷载强度指数Is(50)的换算值,并按下式换算:


6-161223215939400.jpg

   式中:Rc——岩石饱和单轴抗压强度(MPa)。

3.3.2 岩体完整程度的定量指标,应采用岩体完整性指数Kv。Kv应采用实测值。当无条件取得实测值时,也可用岩体体积节理数Jv,并按表3.3.2确定对应的Kv值。

表3.3.2Jv与Kv的对应关系


10-191129114P5M6.png

3.3.3 岩石饱和单轴抗压强度Rc与岩石坚硬程度的对应关系,可按表3.3.3确定

表3.3.3 Rc与岩石坚硬程度的对应关系


10-191129114TT42.png

3.3.4 岩体完整性指数Kv与岩体完整程度的对应关系,可按表3.3.4确定。

表3.3.4 Kv与岩体完整程度的对应关系


10-191129114910351.png

3.3.5 定量指标Rc、Is(50)的测试应符合本标准附录A的规定。
3.3.6 定量指标Kv、Jv的测试应符合本标准附录B的规定。

条文说明

3.3.1 岩石坚硬程度,是岩石(或岩块)在工程中的最基本性质之一。它的定量指标和岩石组成的矿物成分、结构、致密程度、风化程度以及受水软化程度有关。表现为岩石在外荷载作用下,抵抗变形直至破坏的能力。表示这一性质的定量指标,有岩石饱和单轴抗压强度Rc、点载荷强度指数Is(50)回弹值r等。在这些力学指标中,饱和单轴抗压强度容易测得,代表性强,使用最广,与其他强度指标密切相关,同时又能反映出岩石受水软化的性质,因此,采用饱和单轴抗压强度Rc作为反映岩石坚硬程度的定量指标。
    岩石点荷载强度试验主要用于岩石分级和估算岩石饱和单轴抗压强度。这项试验以其方法简便、成本低、便于现场试验、可对未加工成型的岩块进行测试等优点,得到广泛使用,在我国已取得新的进展,并积累了大量测试资料。
    国内外研究结果表明,岩石点荷载强度与饱和单轴抗压强度之间有一定的相关性,表5列举了二者之间的回归方程。
    根据国内现有的测试方法和试验研究成果,考虑测试岩石种类的代表性、测试数据的可靠程度,本条采用公式(3.3.1)。该式主要是在铁道部第二勘测设计院试验成果回归方程的基础上获得。考察国际岩石力学学会试验方法委员会建议方法和国内对不同岩性试验成果回归方程式,基于公式(3.3.1)的饱和单轴抗压强度结果基本合适。
    由于点荷载试验的加荷特点和试件受荷载时的破坏特征,该项试验不适用于砾岩和Rc不大于5MPa的极软岩。
    在本标准中,宜首先考虑采用饱和单轴抗压强度作为评价岩石坚硬程度的指标,并参与岩体基本质量指标的计算。若用实测的Is(50)时,则必须按公式(3.3.1)换算成Rc值后再使用。

表5 岩石饱和单轴抗压强度与点荷载强度关系


6-161223220T4959.jpg


6-16122322104T07.jpg

3.3.2 岩体完整程度的定量指标,国内外采用的不尽相同。较普遍的有:岩体完整性指数Kv,岩体体积节理数Jv、岩石质量指标RQD、节理平均间距dp、岩体与岩块动静弹模比、岩体龟裂系数、1.0m长岩心段包括的裂隙数等。这些指标均从某个侧面反映了岩体的完整程度。目前国内的诸多岩体分级方法中,大多数认为前三项指标能较全面地体现岩体的完整状态,其中Kv和Jv两项具有应用广泛、测试或量测方法简便的特点,且两者相互间关系的论证相对较为充分,因此本标准选用Kv和Jv来定量评定岩体的完整程度和计算岩体基本质量指标。
    岩体内普遍存在的各种结构面及充填的各种物质,使得声波在它们内部的传播速度有不同程度的降低,岩体弹性纵波速度(Vpm)反映了由于岩体不完整性而降低了的物理力学性质。岩块则认为基本上不包含明显的结构面,测得的岩石弹性纵波速度(Vpr)反映的是完整岩石的物理力学性质。所以,Kv既反映了岩体结构面的发育程度,又反映了结构面的性状,是一项能较全面地从量上反映岩体完整程度的指标。因此,本标准规定以Kv值为主要定量指标。
    岩体体积节理数Jv(本标准泛指各种结构面数)是国际岩石力学学会试验方法委员会推荐用来定量评价岩体节理化程度和单元岩体块度的一个指标。经国内铁道、水电及国防等部门一些单位应用,认为它具有上述物理含意,而且在工程地质勘察各阶段及施工阶段均容易获得。考虑到它不能反映结构面的结合程度,特别是结构面的张开程度和充填物性状等,而这些恰是决定岩体完整程度的重要方面。因此,本条规定Jv值作为评价岩体完整程度的代用定量指标,没有作为主要的定量指标。采用Jv值时,须按表3.3.2查得对应的Kv值后再使用。
    表3.3.2中数值范围的界限处理采用了约定表达方式(下同)。如对Jv值规定,分别表示Jv<3、10>Jv≥3、20>Jv≥10、35>Jv≥20及Jv≥35等5种条件。
    国内一些单位对Jv与Kv的关系做了研究,认为这二者之间有较好的对应关系,如表6、表7所列。本条中的Jv与Kv对应关系表3.3.2是综合这些科研成果的结果。

表6 Jv与Kv对照表(水电部昆明勘测设计院)


10-19112911493VW.png

表7 Jv与Kv对照表(铁道部科学研究院西南分院)


10-19112911495a29.png

3.3.3 本条表3.3.3给出Rc值与岩石坚硬程度的对应关系,使定性划分的岩石坚硬程度有一个大致的定量范围值。值得说明的是,表3.3.3并不是岩体质量定性和定量分级中必须用到的表,只是定量指标在定性划分上的初步对应关系。国内各部门,多采用Rc这一定量指标来划分岩石坚硬程度,参见表8。从表中可知,各部门所划分的档数和界限值虽不尽相同,但都以30MPa作为硬质岩与软质岩的划分界限。关于坚硬岩石的划分,这里选取60MPa作为界限值,是考虑到工程界的已有习惯,为工程界所接受。实际上,对坚硬岩石,岩石的饱和单轴抗压强度值一般都在较大程度上高于60MPa。

表8 国内岩石坚硬程度的强度划分


6-16122322131N91.jpg
 
6-1612232215022P.jpg

3.3.4 本条表3.3.4给出Kv值与岩体完整程度的对应关系,使定性划分的岩体完整程度有一个大致的定量范围值。

    国内一些单位或规范根据Kv值对岩体完整程度作了划分,如表9所列。本标准总结和参考了这些划分情况,并根据编制过程中收集的样本资料,在表3.3.4中给出了与定性划分相对应的各档次的岩体完整性指数Kv值。

表9 国内岩体完整性指数Kv划分情况

6-16122412505a61.jpg

4 岩体基本质量分级


4.1 基本质量级别的确定

4.2 基本质量的定性特征和基本质量指标

4.1 基本质量级别的确定

4.1.1 岩体基本质量分级,应根据岩体基本质量的定性特征和岩体基本质量指标BQ两者相结合,并应按表4.1.1确定。

表4.1.1岩体基本质量分级


6-161223222004348.jpg


4.1.2 当根据基本质量定性特征和岩体基本质量指标BQ确定的级别不一致时,应通过对定性划分和定量指标的综合分析,确定岩体基本质量级别。当两者的级别划分相差达1级及以上时,应进一步补充测试。
4.1.3 各基本质量级别岩体的物理力学参数,可按本标准表D.0.1确定。结构面抗剪断峰值强度参数,可根据其两侧岩石的坚硬程度和结构面结合程度,按本标准表D.0.2确定。


条文说明
4.1.1 岩体基本质量分级,是各类型工程岩体定级的基础。本条强调应根据岩体基本质量的定性特征与岩体基本质量指标BQ相结合,进行岩体基本质量分级。
    岩体基本质量的定性特征是两个分级因素定性划分的组合,根据这些组合可以进行岩体基本质量的定性分级。而岩体基本质量指标BQ是用两个分级因素定量指标计算取得的,根据所确定的BQ值可以进行岩体基本质量的定量分级。定性分级与定量分级相互验证,可以获得更准确的定级。
    在工程建设的不同阶段,地质勘察和参数测试等工作的深度不同,对分级精度的要求也不尽相同。可行性研究阶段,可以定性分级为主;初步设计、技术设计和施工设计阶段,必须进行定性和定量相结合的分级工作。在工程施工期间,还应根据开挖所揭露的岩体情况,补充勘察及测试资料,对已划分的岩体等级加以检验和修正。
    对岩体基本质量进行分级,需要决定分级档数。可靠性分析的研究成果表明,评级的可靠程度随着档数的增多而降低;但另一方面,当抽样总体中的样本足够时,评级的预报精度却往往随分级档数的增多而增加。因此,应当选择一个适中的档数,既便于工程界使用,又有合理的可靠度与精度。考虑到目前在国内外的分级方法中,多采用五级分级法,这个档数能较好地满足以上要求,故本标准将分级档数定为五级。
4.1.2 本条规定了根据基本质量的定性特征作出的岩体基本质量定性分级,与根据岩体基本质量指标BQ作出的定量分级不一致时的处理方法。出现定性分级与定量分级不吻合的情况是经常发生的。若两者定级不一致,可能是定性评级不符合岩体实际的级别,也可能是测试数据在选用或实测时缺乏代表性,或两者兼而有之。必要时,应重新进行定性鉴定和定量指标的复核,在此基础上经综合分析,重新确定岩体基本质量的级别。
    为了提高定级的准确性,宜由有经验的技术人员进行定性分级,定量指标测试的地点与定性分级的岩石工程部位应一致。
4.1.3 岩体物理力学参数和结构面抗剪断峰值强度参数,是岩体和结构面所固有的物理力学性质,从量上反映了岩体和结构面的基本属性。大量的岩石力学试验研究工作表明,岩体的物理力学参数与决定岩体基本质量的岩石坚硬程度和岩体完整程度密切相关。进行工程岩体基本质量分级的目的之一,就是根据对工程岩体所定的级别,迅速评估岩体的物理力学参数。与其他相关规范中的岩体力学参数建议值或采用值不同,本标准附录D所给出的岩体力学参数为不同基本质量级别岩体的岩体力学试验统计值,相当于现场原位实测值。

4.2 基本质量的定性特征和基本质量指标

4.2.1 岩体基本质量的定性特征,应由本标准表3.2.1和表3.2.3所确定的岩石坚硬程度及岩体完整程度组合确定。
4.2.2 岩体基本质量指标的确定应符合下列规定:
    1. 岩体基本质量指标BQ,应根据分级因素的定量指标Rc的兆帕数值和Kv ,按下式计算:
6-16122322225AE.jpg
 

    2. 使用公式(4.2.2)计算时,应符合下列规定:
        1)当Rc>90Kv+30时,应以Rc=90Kv+30和Kv代入计算BQ值;

        2)当Kv>0.04Rc+0.4时,应以Kv=0.04Rc+0.4和Rc代入计算BQ值。

条文说明

4.2.1 本条规定了由两个分级因素定性划分来评定岩体基本质量定性特征的方法。岩石坚硬程度和岩体完整程度定性划分后,二者组合成定性特征,进行仔细的综合分析、评价,按本标准表4.1.1对岩体基本质量作出定性评级。
4.2.2 本条规定了岩体基本质量指标BQ的计算方法及应遵守的限制条件。
    根据分级因素的定量指标对岩体质量进行定量分级的方法有上百种,经归纳大致可分为三种:(1)单参数法,如RQD法(U.D.Deere,1969);(2)多参数法,如围岩稳定性动态分级法(林韵梅等,1984);(3)多参数组成的综合指标法,如坑道工程围岩分类(邢念信等,1984)、Q分类法(N.Barton,1974)等。
    本标准采用多参数组成的综合指标法,以两个分级因素的定量指标Rc及Kv为参数,计算取得岩体基本质量指标BQ,作为划分级别的定量依据。
    由Rc和Kv两因素构成的基本质量指标可由多种函数形式来表达。流行的方法有积商法与和差法。本标准采用逐步回归、逐步判别等方法建立并检验基本质量指标BQ的计算公式,属于和差模型。
    由Rc和Kv确定BQ值的公式是根据逐次回归法建立的。其计算模式以Rc和Kv为因素,BQ为因变量,经回归比较,先后采用二元线性回归及二元二次多项式回归等方式,最后选定为带两个限定条件的二元线性回归公式,如本条公式(4.2.2)。
    原《工程岩体分级标准》GB 50218-94在建立BQ计算公式时,样本数据为103组,包括国防21组,铁道13组,水电24组,冶金和有色金属30组,煤炭8组,人防1组及建筑部门6组。
    经应用以来的综合调研及理论分析表明,BQ计算公式有较好的合理性,在各行业的岩体工程中得到了应用。本条在修编时,针对标准颁布以来收集到的54组新增样本数据,其中水电部门31组,建筑部门15组,公路部门8组,与原样本数据一起重新进行了回归分析研究,得到的BQ公式的参数与原来基本一致,根据计算结果以及本标准执行过程中的反馈意见,将原BQ公式的常数项作了细微调整,原公式前面系数由90调整为100,其他参数和限制条件都未做调整。
    本条还规定了使用公式(4.2.2)时应遵守的限制条件。限制条件之一是对公式(4.2.2)中Rc值上限的限制,这是注意到岩石的Rc值很大,而岩体的Kv值不大时,对于这样坚硬但完整性较差的岩体,其质量和稳定性仍然是比较差的,Rc值虽高但对质量和稳定性起不了那么大的作用,如果不加区别地将测得的Rc值代入公式,过大的Rc值将使得岩体基本质量指标BQ大为增高,造成对岩体质量等级及实际稳定性作出错误的判断。使用这一限制条件,可获得经修正过的Rc值。例如,当Kv=0.55时,Rc=90×0.55+30=79.5MPa,如实测Rc值大于79.5MPa,则直接取用79.5MPa,而不应取用实测值。

    本条给出的第二个限制条件,是对公式(4.2.2)中Kv值上限的限制,这是针对岩石的Rc值很低,而相应的岩体Kv值过高的情况下给定的。这是注意到,完整性虽好但甚为软弱的岩体,其质量和稳定性也是不好的,将过高的实测Kv值代入公式也会得出高于岩体实际稳定性或质量等级的错误判断。使用这一限制条件,可获得经修正过的Kv值。例如,当Rc=10MPa时,Kv=0.04×10+0.4=0.8,如实测Kv值大于0.8,则取用0.8,而不应取用实测值。

5 工程岩体级别的确定


5.1 一般规定

5.2 地下工程岩体级别的确定

5.3 边坡工程岩体级别的确定

5.4 地基工程岩体级别的确定

5.1 一般规定

5.1.1 对工程岩体进行初步定级时,应按本标准表4.1.1确定的岩体基本质量级别作为岩体级别。
5.1.2 对工程岩体进行详细定级时,应在岩体基本质量分级的基础上,结合不同类型工程的特点,根据地下水状态、初始应力状态、工程轴线或工程走向线的方位与主要结构面产状的组合关系等修正因素,确定各类工程岩体质量指标。
5.1.3 岩体初始应力状态对地下工程岩体级别的影响,应按本标准表C.0.2以相应初始应力和围岩强度确定的强度应力比值作为修正控制因素。
5.1.4 岩体初始应力状态,有实测的应力成果时,应采用实测值;无实测成果时,可根据工程埋深或开挖深度、地形地貌、地质构造运动史、主要构造线、钻孔中的岩心饼化和开挖过程中出现的岩爆等特殊地质现象,按本标准附录C作出评估。
5.1.5 对膨胀性及易溶性等特殊岩类,还应根据其特殊的变形破坏特性、岩溶发育程度及其对工程岩体的影响,综合确定工程岩体的级别。

条文说明

5.1.1 岩体基本质量反映了岩体的最基本的属性,也反映了影响工程岩体稳定的主要方面。
    对各类型工程岩体,作为分级工作的第一步,在基本质量确定后,可用基本质量的级别作为工程岩体的初步定级。初步定级一般是在工程勘察设计的初期阶段采用,该阶段勘察资料不全,工作还不够深入,各项修正因素尚难于确定,作为初步定级,可以采用基本质量的级别作为工程岩体的级别。
5.1.2 本条规定了对工程岩体详细定级时应考虑的修正因素。影响工程岩体稳定性的诸因素中,岩石坚硬程度和岩体完整程度是岩体的基本属性,是各类型工程岩体的共性,反映了岩体质量的基本特征,但它们并不是影响岩体质量和稳定性的全部重要因素。地下水状态、初始应力状态、工程轴线或走向线的方位与主要结构面产状的组合关系等,也都是影响岩体质量和稳定性的重要因素。这些因素对不同类型的工程岩体,其影响程度往往是不一样的。例如,某一陡倾角结构面,走向近乎平行工程轴线方位,对地下工程来说,对岩体稳定可能很不利,但对坝基抗滑稳定的影响就不那么大,若结构面倾向上游,则可基本上不考虑它的影响。
    随着设计工作的深入,地质勘察资料增多,就应结合不同类型工程的特点、边界条件、所受荷载(含初始应力)情况和运行条件等,引入影响岩体稳定的主要修正因素,对工程岩体作详细的定级。
    所谓“工程轴线”是指地下洞室的洞轴线、大坝的坝轴线;“工程走向线”是指边坡工程的坡面走向线。
5.1.3 地下工程岩体级别的确定中,将影响岩体稳定性的初始应力状态作为修正因素。工程实践表明,岩体初始应力对地下工程岩体稳定性的影响,一方面取决于初始应力绝对量值的大小,另一方面也取决于围岩抗压强度的高低。引入强度应力比,强调将此值作为反映岩体初始应力状态对地下工程岩体级别的影响,相比仅考虑初始应力绝对值大小而言,对反映岩体初始应力作用对洞室围岩稳定性影响程度方面,将更符合实际。
5.1.5 对于膨胀性、易溶性等特殊岩类,它们对工程岩体稳定性的影响与一般岩类很不相同。本标准分级的方法未反映其特殊性,也无成熟的经验或依据用修正的办法反映其对稳定性的影响。对这些带有特殊性的问题,需针对其对工程岩体的特殊影响,在专题研究的基础上,综合确定工程岩体的级别。

5.2 地下工程岩体级别的确定

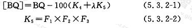
5.2.1 地下工程岩体详细定级,当遇有下列情况之一时,应对岩体基本质量指标BQ进行修正,并以修正后获得的工程岩体质量指标值依据本标准表4.1.1确定岩体级别。
    1. 有地下水;
    2. 岩体稳定性受结构面影响,且有一组起控制作用;
    3. 工程岩体存在由强度应力比所表征的初始应力状态。
5.2.2 地下工程岩体质量指标[BQ],可按下式计算。其修正系数K1、K2、K3值,可分别按表5.2.2-1、表5.2.2-2和表5.2.2-3确定。


6-161226134043H4.jpg

(5.2.2)

  式中:[BQ]——地下工程岩体质量指标;
          K1——地下工程地下水影响修正系数;
          K2——地下工程主要结构面产状影响修正系数;
             K3——初始应力状态影响修正系数。

表5.2.2-1 地下工程地下水影响修正系数K1

6-161226133ZM62.jpg

 注:1 p为地下工程围岩裂隙水压(MPa);
        2 Q为每10m洞长出水量(L/min·10m)。

表5.2.2-2 地下工程主要结构面产状影响修正系数K2

6-161226133941117.jpg

表5.2.2-3 初始应力状态影响修正系数K3

6-161226134012410.jpg

5.2.3 对跨度不大于20m的地下工程,岩体自稳能力可按本标准附录E中表E.0.1确定。当其实际的自稳能力与本标准表E.0.1中相应级别的自稳能力不相符时,应对岩体级别作相应调整。
5.2.4 对跨度大于20m或特殊的地下工程岩体,除应按本标准确定基本质量级别外,详细定级时,尚可采用其他有关标准中的方法,进行对比分析,综合确定岩体级别。

条文说明

5.2.1 本条规定了地下工程岩体在岩体基本质量级别确定后,作详细定级时应考虑的几个修正因素和修正后的定级原则。
    国内外对地下工程岩体分级做了大量的探索和研究工作,比其他类型的工程岩体分级研究得更深入一些,资料也比较丰富。从表10中可以看出,这些分级方法所考虑的主要因素是比较一致的。本标准分析总结了这些已有的成果,并结合工程实践,将最基本的带共性的岩石坚硬程度(岩石强度)和岩体完整程度,作为岩体基本质量的影响因素,而将另外几项主要影响因素,包括地下水、结构面与洞轴线组合关系、初始应力状态等作为修正因素。
    引入修正因素,对岩体基本质量进行修正后,本条规定仍按表4.1.1进行定级。这是因为本标准分级的标准只有一个,只是岩体基本质量指标BQ和地下工程岩体质量指标[BQ]所包含的影响因素的内容不同。例如,某地下工程在一个地段的岩体基本质量指标BQ=280,其基本质量属Ⅳ级,由于有淋雨状出水,出水量(25~125)L/min·10m,则修正系数K1=0.5,经修正后的[BQ]=230,按表4.1.1的规定,工程岩体质量应定为Ⅴ级。

表10 国内外部分岩体分级考虑因素情况


6-161223224324206.jpg
 
6-16122322464G32.jpg
 
6-161223224443I2.jpg

5.2.2 本条规定了对地下水影响等三项修正因素的修正方法和修正系数取值原则,并给出了相应的修正系数值。当地下工程岩体质量指标为负值时,修正后的工程岩体质量直接按Ⅴ级岩体考虑。
    1. 地下工程地下水影响修正。地下水是影响岩体稳定的重要因素。水的作用主要表现为溶蚀岩石和结构面中易溶胶结物,潜蚀充填物中的细小颗粒,使岩石软化、疏松,充填物泥化,强度降低,增加动、静水压力等。这些作用对岩体质量的影响,有的可在基本质量中反映出来,如对岩石的软化作用,采用了饱和单轴抗压强度。水的其他作用在基本质量中得不到反映,需采用修正措施来反映它们对岩体质量的影响。
    目前国内外在地下工程围岩分级中,考虑水的影响时主要有四种方法:修正法、降级法、限制法、不考虑。本标准采用修正法,并给出定量的修正系数,这一方法不仅考虑了出水等水的赋存状态,还考虑了岩体基本质量级别。
    表11为现有规范对洞室围岩出水状态的有关描述。在出水量定量描述中,一般以10m洞长渗水量为统计量。为便于现场测量,这里以10m洞长渗水量[单位:L/(min·10m)]代替原标准中单位渗水量。
    关于裂隙水压,原标准中对三种状态下的水压值分别规定为:不计入≤0.1MPa和>0.1MPa三种条件。本次修订时,对上述三种情况下的水压力值适当提高,分别规定为≤0.1MPa、0.1MPa~0.5MPa和>0.5MPa三种条件。由表11可看出修订后的水压规定值与表中其他方法规定值相比较,仍相对严格。

表11 地下洞室围岩出水状态的描述

6-161223224K4212.jpg
 
6-16122322493V29.jpg

 水对岩体质量的影响,不仅与水的赋存状态有关,还与岩石性质和岩体完整程度有关。岩石愈致密,强度愈高,完整性愈好,则水的影响愈小。反之,水的不利影响愈大。基本质量为Ⅰ级、Ⅱ级的岩体,且含水不多、无水压时,认为水对岩体质量无不利影响,取修正系数K1=0;基本质量为Ⅴ级的岩体,呈涌水状出水,水压力较大时,不利影响最大,取K1=1.0(即降一级)。对其他中间情况,认同在同一出水状态下,基本质量愈差的岩体,影响程度愈大,因而修正系数也随之加大。
    地下水修正系数的确定,除考虑上述原则外,还参考了国内相关规范规定与研究成果,见表12。
    2. 主要结构面产状修正。主要结构面是就其产状、发育程度及结合程度等因素,对地下工程岩体稳定性起主要影响的结构面。其中,更应注意对稳定影响大、起着控制作用的结构面,如层状岩体的泥化层面、一组很发育的裂隙、次生泥化夹层、含断层泥、糜棱岩的小断层等。
    由于结构面产状不同,与洞轴线的组合关系不同,对地下工程岩体稳定的影响程度亦不同。如层状岩体层面性状较差,为陡倾角且走向与洞轴线夹角很大时,对岩体稳定性影响很小。反之,倾角较缓且走向与洞轴线夹角很小时,就容易发生沿层面的过大变形,甚至发生拱顶坍塌或侧壁滑移。再如一条小断层,当其倾角很陡,且与洞轴线夹角很大时,对洞室稳定影响很小,反之则有很大的影响。这种不利影响在岩体基本质量及其指标中反映不出来。
    为了反映这种组合关系对稳定性的影响,本标准仍采用对基本质量进行修正的方法,其修正系数K2见本标准表5.2.2-2,该表是根据工程经验、力学分析,并参考表13制定的。所谓“其他组合”,是指结构面倾角<30°,夹角为任意值;倾角>30°,夹角为30°~60°;倾角30°~75°,夹角>60°;倾角>75°,夹角<30°四种情况。

表12 地下水影响修正系数汇总


6-161223225114P7.jpg
 
6-16122322524X61.jpg

 需指出,这里是指存在一组起控制作用结构面的情况,若有两组或两组以上起控制作用的结构面,组合情况就复杂得多,不能用修正岩体基本质量的方法,而需通过专门的稳定性分析解决。

表12 国内对结构面影响的修正情况


6-161223225339524.jpg

 3. 岩体初始应力状态影响修正。岩体初始应力对地下工程岩体稳定性的影响是众所周知的,特别是高初始应力的存在。岩石强度与初始应力之比Rcmax大于一定值时,可以认为对洞室岩体稳定不起控制作用,当这个比值小于一定值时,再加上洞室周边应力集中的结果,对岩体稳定性或变形破坏的影响就表现得显著,尤其岩石强度接近初始应力值时,这种现象就更为突出。采用降低岩体基本质量指标BQ,从而限制岩体级别的办法来处理,引入修正系数K3
    根据工程实践经验,当围岩强度应力比值很小时(相当于极高初始应力条件,本标准规定强度应力比小于4),对于基本质量为Ⅲ、Ⅳ级的岩体,将会发生不同程度的塑性挤压、流动变形,基本上没有自稳能力,故必须较大幅度地限制岩体的级别。为此,进行了如下处理,如:当BQ=351~450和BQ=251~350时,均取K3=1.0~1.5。BQ值较小时取较大的修正系数K3,反之取较小的修正系数。基本质量为Ⅰ、Ⅱ级的岩体在该强度应力比条件下,虽然未丧失自稳能力,但明显地影响了自稳性。对于相当于高初始应力区的强度应力比条件,初始应力对岩体的影响大为减小,但仍影响岩体稳定性,故取较小的修正系数K3,适当限制其级别。
    对初始应力这一修正因素,采用降低岩体BQ指标的处理办法,可用于经验方法确定支护参数的设计。
    按照这种办法进行修正,修正前后可能仍属同一级,似无意义,其实经修正后可能由原来靠近某级上限而变为处于该级中部或接近下限。不仅如此,若单修正地下水的影响,由某级的上限修正到该级的中部,如果再加上另一个影响因素的修正,就可能降一级。这些修正对于评价地下工程岩体稳定性和选用支护等参数是有意义的,因为有关规范中的支护等参数表,每级都有一定的范围值。对BQ<250时也作修正,就是据此考虑的。
5.2.3 地下工程岩体的级别是地下洞室稳定性的尺度,岩体级别越高的洞室在无支护条件下的稳定性(即自稳能力)越好。针对跨度不大于20m的地下工程,本条规定了不同级别工程岩体的自稳能力情况。同时,本条还强调,可以将洞室开挖后的实际自稳能力,作为检验原来地下工程岩体定级正确与否的标志。
    地下工程岩体的自稳能力,不仅与工程岩体级别有关,还与洞室跨度有关。对于跨度不大于20m的工程岩体,实践经验比较丰富,经统计分析给出表E.0.1(参见附录E说明),作为各级别岩体自稳能力的基本评价。
    对照表E.0.1,开挖后岩体的实际稳定性与原定级别不符时,应将岩体级别调整到与实际情况相适应的级别。当开挖后岩体的稳定性比原定级别高时,由低级别调整到高级别须慎重。
5.2.4 对于跨度大于20m的岩石地下工程,通常存在支护条件影响,岩体稳定性应与支护条件结合进行。对于特殊的地下工程,往往有特殊要求,加之行业或专业的特点,对工程施工和运行,进而对工程岩体稳定性评价的要求不尽相同,评价时引入的影响工程岩体稳定性的修正因素及其侧重点也不同。本标准作为通用的基础标准,难以将所有各种影响因素都考虑进去,更难以全面照顾各行业的特殊需要。有关行业标准的规定更具有针对性,更详细些。国内外在实施岩体分级工作时,往往采用几种分级方法进行对比,对大型和特殊的地下工程,为了慎重这样做是适宜的。考虑到这些情况,本条规定在详细定级时尚可应用其他有关标准方法进行对比分析,综合确定岩体级别。

5.3 边坡工程岩体级别的确定

5.3.1 岩石边坡工程详细定级时,应根据控制边坡稳定性的主要结构面类型与延伸性、边坡内地下水发育程度以及结构面产状与坡面间关系等影响因素,对岩体基本质量指标BQ进行修正,并以获得的工程岩体质量指标值按本标准表4.1.1确定岩体级别。
5.3.2 边坡工程岩体质量指标[BQ],可按下列公式计算。其修正系数λ、K4和K5值,可分别按表5.3.2-1、表5.3.2-2和表5.3.2-3确定。


6-161224125A5338.jpg

 式中:λ——边坡工程主要结构面类型与延伸性修正系数;
          K4——边坡工程地下水影响修正系数;
          K5——边坡工程主要结构面产状影响修正系数;
          F1——反映主要结构面倾向与边坡倾向间关系影响的系数;
          F2——反映主要结构面倾角影响的系数;
          F3——反映边坡倾角与主要结构面倾角间关系影响的系数。

5.3.2-1 边坡工程主要结构面类型与延伸性修正系数λ


10-191129115452126.png

表5.3.2-2  边坡工程地下水影响修正系数λ


6-161224130124545.jpg

  注:1 pw为边坡坡内潜水或承压水头(m);
        2 H为边坡高度(m)。

表5.3.2-3边坡工程主要结构面产状影响修正


6-161224130231X7.jpg

注:表中负值表示结构面倾角小于坡面倾角,在坡面出露。
5.3.3 对高度不大于60m的边坡工程岩体,可根据已确定的级别,按本标准附录E中表E.0.2确定其自稳能力。
5.3.4 对高度大于60m或特殊边坡工程岩体,除按本标准第5.3.2条确定[BQ]值外,尚应根据坡高影响,结合工程进行专门论证,综合确定岩体级别。

条文说明

5.3.1 本条规定了边坡工程岩体在岩体基本质量确定以后,作详细定级时,应考虑的几个修正因素和修正后的定级原则。
    影响岩质边坡稳定性的因素很多,主要有岩性、岩体风化程度、岩体结构特征、结构面产状及延伸性、岩体初始应力、地下水、地表水、开挖施工方法与效果等。前面3项及边坡开挖施工方法与效果,已在本标准中的岩体坚硬程度和岩体完整程度两项岩体基本质量分级因素中得到考虑。本标准所涉及边坡主要是60m高度以下的中、高边坡,岩体初始应力一般不属高应力,故不考虑初始应力的修正。
5.3.2 本条给出了边坡工程岩体质量指标的计算公式以及边坡工程岩体质量诸修正系数的确定方法。当边坡工程岩体质量指标为负值时,修正后的工程岩体质量直接按Ⅴ级岩体考虑。
    在边坡工程岩体分级方法研究中,Romans M.(1985)在RMR分级基础上,提出的边坡质量指标SMR方法(Slope Mass Rating)相对成熟。该方法在RMR岩体质量评价基础上,引入结构面及边坡面产状关系修正及边坡开挖方法影响等,实现不同岩体质量级别下的稳定性评价。中国水利水电工程边坡登记小组(孙东亚,陈祖煜,1997)在国家八五科技攻关项目成果中,对SMR在边坡岩体分级中的适用性进行了研究,并提出了考虑边坡坡高及边坡主要控制结构面条件修正系数的CSMR方法,该方法已作为《水电水利工程边坡工程地质勘察技术规程》DL/T 5337中有关边坡岩体质量分类的推荐方法之一。20世纪90年代后,SMR法、CSMR法及各种改进方法,已在国内水电及公路等行业边坡工程分级中得到初步应用。另外,在建筑工程领域,根据边坡岩体的完整程度、结构面结合程度及结构面与边坡间的产状关系,提出了岩质边坡的岩体分类,见《建筑边坡工程技术规范》GB 50330。
    根据对水电及公路等领域十余个工程200余组BQ和RMR实测值回归分析发现,本标准中的BQ值与RMR间具有良好的线性关系,其线性回归方程为:


6-1612241305442L.jpg

 根据回归方程(1),对RMR分级及本标准依据BQ的定量分级作进一步对比分析发现,RMR与BQ五级划分各级别界限划分值具有较好的对应关系。仅在Ⅴ级和Ⅳ级岩体中,依据方程(1),BQ方法可能会保守半级至1/4级。
    针对上述研究成果,综合了SMR方法及CSMR特点,提出了本条规定的基于BQ的边坡工程岩体质量指标计算方法。
    在边坡工程岩体质量指标[BQ]计算中,分别考虑了边坡地下水影响、边坡控制性结构面类型与延伸性以及边坡控制性结构面产状影响等因素的修正。
    (1)边坡控制性结构面类型与延伸性修正系数λ是引用了CSMR方法中的结构面条件系数的影响规定,并将其改名为结构面类型与延伸性修正系数,其物理意义更明确。在取值方面,对断续节理和裂隙,根据发育程度,给出了取值范围。
    (2)边坡地下水影响修正。关于水对边坡的影响,其影响程度主要是边坡降雨的入渗性、边坡渗透压力形成情况以及控制性结构面中软弱充填物被浸蚀及软化的程度。与地下洞室围岩中有关水的赋存特点不同,边坡岩体中的水与降雨及地下水状态密切相关。对一个给定边坡,评价水的影响程度,应结合可能的降雨强度及已有的边坡水文地质条件,研究与评价最不利条件下边坡内地下水发育程度及其对边坡岩体质量与稳定性的影响。这里,综合岩体坡面上地下水出水状态的定性程度划分以及反映坡内岩体地下水发育程度的潜水或承压水头等指标,确定边坡岩体中地下水影响修正系数K4。现行国家标准《建筑边坡工程技术规范》GB 50330中建议,当边坡地下水发育时,Ⅱ、Ⅲ类岩体可根据具体情况降低一档,其规定与表5.3.2-2规定基本相符。
    (3)边坡控制性结构面产状影响修正。在提出的边坡岩体质量指标计算方法中,对边坡稳定性起控制作用的主要结构面修正系数K5,是在吸收SMR思路基础上,针对主要结构面的可能影响确定的。与SMR或CSMR方法不同之处是,鉴于边坡岩体发生倾倒破坏的复杂性以及倾倒破坏具有渐进性破坏特点,表5.3.2-3中仅考虑了边坡岩体内因结构面存在引起的平面滑动破坏这一主要类型。若边坡岩体中存在因反倾向结构面可能引起的倾倒破坏以及由多组结构面切割形成的楔形体失稳问题,建议针对具体情况进行专门论证。
5.3.3 对于高度不大于60m的岩石边坡工程,本条规定了不同级别工程岩体的自稳能力。关于边坡工程岩体自稳能力,主要是依据极限平衡分析、已有规范的规定,并结合现场调查和经验给出。对岩石边坡,确定60m高陡倾边坡(在边坡自稳能力评价中,假定边坡为坡角大于70°的陡倾边坡)为高度划分的界限点主要依据两个方面的考虑:一是有成功的工程实例验证。三峡工程永久船闸岩体为闪云斜长花岗岩,属Ⅰ级岩体,双线闸室为垂直开挖边坡,高达60m,岩体自稳能力较好;二是适用性较强。针对具有普遍性的各类岩石边坡工程,主要考虑到在建筑、公路及铁路等工程领域,边坡的高度一般在数十米高度以下。对这类工程规模的边坡,因数量多,工程勘察手段相对简单,一般的设计过程是,在进行简单测试或试验基础上对岩石边坡稳定性进行宏观判断,并根据规范要求和经验给出相应的工程措施。因此,对这类边坡进行工程岩体详细定级,具有工程应用和推广价值。
5.3.4 由于岩石边坡工程的复杂性,对水电或矿山工程等行业中的超高边坡,或特殊边坡,其工程岩体级别的确定,应在坡高修正的基础上,或应结合工程特点和行业要求,作专门论证。《水利水电工程边坡工程地质勘察技术规程》DL/T 5337中的CSMR边坡岩体质量分类方法,给出了坡高修正系数计算公式,可供参考。

5.4 地基工程岩体级别的确定

5.4.1 地基工程岩体应按本标准表4.1.1规定的岩体基本质量级别定级。
5.4.2 地基工程各级别岩体基岩承载力基本值f0可按表5.4.2确定。

表5.4.2 基岩承载力基本值f0


6-161224130Q6234.jpg
条文说明

5.4.1 岩石地基工程主要是指以岩石作为承载地基的工业与民用建筑物岩石地基、公路与铁路桥涵岩石地基以及港口工程岩石地基等。岩石地基工程设计中,最关心的是地基的承载能力。由于岩体的基本质量综合反映了岩石的坚硬程度和岩体的完整程度,而此两项指标是影响岩石基础承载力的主要因素,因此,本条规定,岩石地基工程岩体的级别可以直接由岩体的基本质量定级。以往常采用岩石饱和单轴抗压强度Rc的折减来确定地基的承载力,本标准岩体基本质量则不仅考虑了Rc,还考虑了岩体的完整性,评价方法更为科学。
5.4.2 岩体作为工业与民用建筑物及公路与铁路桥涵等工程地基,其承载能力很高,一般都能满足设计要求。针对岩石地基的承载能力,目前国内外有关规范确定的地基承载力,大多以评估方法为主,有的主要利用岩石单轴抗压强度试验资料,并综合裂隙的发育程度及工程经验确定,总体偏于安全,见表14~表20。表14中,岩石地基的基本承载能力是指建筑物基础短边宽度不大于2.0m、埋置深度不大于3.0m时的地基容许承载力。地基容许承载力即是在保证地基稳定和建筑物沉降量不超过容许值的条件下,地基单位面积所能承受的最大压力。表15中,岩石地基的极限承载力是指地基岩土体即将破坏时单位面积所承受的压力。表16中,岩石地基承载力基本容许值是指基础短边宽度不大于2.0m、埋置深度不大于3.0m时,地基压力变形曲线上,在线性变形段内某一变形所对应的压力值,物理概念上也即是表14中的岩石地基的基本承载能力。
    随着工程建设中工程规模的增大,对地基承载能力的要求也越来越高,并且为满足土地优良资源的控制及合理利用土地的要求,利用岩石地基为承载体的支撑结构(如高速铁路与公路领域的桥基及桩基等)已作为工程规划与设计方案比选中的重要内容。鉴于岩石地基评价的复杂性,提供一套基于各级别岩体现场载荷试验资料的岩体基本承载力,对各行业有关岩石地基基本承载力的制定,具有重要的参考价值。这里的基本承载力是指裂隙岩体在载荷试验过程中,与岩体载荷-位移曲线中的比例极限或屈服极限相对应的荷载。表21中所列各级别岩体基岩承载力比例界限特征值是对14个工程98点现场载荷试验资料,按岩体质量级别分别统计获得。
    现场岩体载荷试验结果表明,表21所给出的岩体基本承载力与表14~表20中所列建议值都要高。考虑到岩体地基的复杂性,对软岩、破碎岩体或受大型载荷条件下的工程岩体(如大跨度桥梁地基岩体等),通常应通过现场岩体载荷试验确定岩体基本承载力。这里,基岩承载力基本值仍沿用原标准中偏于保守的值。

表14 岩石地基的基本承载力(kPa)

6-161224155602Q1.jpg

表15 岩石地基的极限承载力(kPa)

6-161224155633329.jpg

表16 岩石地基承载力基本容许值(kPa)

6-161224155J09D.jpg

表17 岩石地基允许承载力

6-1612241313202Y.jpg

表18 岩石地基允许承载力


6-1612241314124A.jpg

表19 岩石地基允许承载力(kPa)


10-191129133914159.png

表20 岩石地基允许承载力(kPa)


10-19112913393c92.png

表21 岩体基岩承载力比例界限统计特征值


10-191129134001452.png

附录A Rc、Is(50)测试的规定

A.0.1 岩石饱和单轴抗压强度Rc的测试应符合下列规定:
    1. 试验取样应根据地层岩性变化及岩体分级单元进行布置,并能反映拟分级岩体的坚硬程度及其变化规律。
    2. 标准试件为圆柱形,可用钻孔岩心或在坑探槽中采取岩块加工制成。试件直径宜为48mm~54mm,并应大于岩石最大颗粒直径的10倍。试件高度与直径之比宜为2.0~2.5。
    3.试件加工精度应符合下列要求:
        1)试件两端面不平行度误差不应大于0.05mm;
        2)沿试件高度、直径的误差不应大于0.3mm;
        3)端面应垂直于试件轴线,最大偏差不应大于0.25°。
    4. 可采用自由吸水法或强制饱和法使试件吸水饱和。对软岩或极软岩,试件应采取保护措施。
    5. 试验时,试件应置于试验机承压板中心,试件两端面应与试验机上下压板接触均匀。应以每秒0.5MPa~1.0MPa的速率加载直至破坏。应根据破坏载荷及试件截面面积计算岩石单轴抗压强度。
    6. 每组试件数量不应少于3个。

A.0.2 岩石点荷载强度指数Is(50)的测试应符合下列规定:
    1. 岩石点荷载强度指数Is(50)的测试,其试件尺寸应符合下列规定:
        1)径向岩心加载试验,岩心直径宜为30mm~70mm,长度应为试件直径的1.4倍;
        2)岩心轴向加载试验,岩心直径宜为30mm~70mm,长度为试件直径的0.5倍~1.0倍;
        3)方块体试件或不规则块体试件,试件的最短边长宜为30mm~80mm,加荷点间距D与通过两加载点的最小截面平均宽度W之比宜为0.5~1.0,且加载点至自由端的距离L应大于0.5D。
    2. 岩石点荷载强度指数测试过程中,沿加载点间的距离量测允许偏差应为±2%。岩心轴向试验中的试件纵截面宽度W、方块体试件及不规则块体试件的通过两加载点的最小截面平均宽度W,其量测允许偏差应为±5%。
    3. 试验时应连续均匀加载,使试件控制在10s~60s内破坏。当破坏面贯穿整个试件,并通过两加载点时,试验结果方应有效。


6-161224131R0Z0.jpg

  式中:Is——未经修正的点荷载强度指数(MPa);
          P——破坏载荷(N);
          De——等价岩心直径(mm)。
    岩心径向加载、岩心轴向加载、方块体及不规则块体加载试验,其等效岩心直径De应分别按下列公式计算:

    4. 未经修正的岩石点荷载强度指数应按下式计算:


6-161224131924M2.jpg

 式中:D——加载点间的距离(mm);
          A——通过两加载点的最小截面积(mm2);
          W——通过两加载点的最小截面平均宽度(mm)。
    5 岩石点荷载强度指数应换算成直径为50mm的标准试件的点荷载强度指数Is(50)。Is(50)可按下列公式计算:


6-161224132101431.jpg

 式中:Kd——尺寸效应修正系数;
          m——修正指数,可取0.40~0.45,也可根据同类岩石的实测资料,通过在对数坐标图上绘制不同等效直径的P~D2c关系图,并用作图法确定。
    6. 点荷载强度指数测试,同组试验岩样数量不应少于10个。试验成果应为舍去最大、最小测试值后的算术平均值。
    7. 点荷载测试不适用于砾岩和Rc不大于5MPa的极软岩。


条文说明
A.0.1 岩石饱和单轴抗压强度试验是测定试件在无侧限条件下,受轴向压力作用破坏时,单位面积上所承受的载荷。
    鉴于圆形试件具有轴对称性,应力分布均匀,本标准推荐圆柱试件作为标准试件。对于没有条件加工圆柱体试件时,允许采用方柱体试件,但试件高度与横向边长之比应为2.0~2.5。
    为反映岩石受水软化的性质,本标准采用岩石饱和单轴抗压强度Rc值作为岩石坚硬程度的定量指标。采用自由吸水或强制饱和法使试件吸水饱和。
A.0.2 岩石点荷载强度指数试验是将试件置于点荷载仪上下一对球端圆锥之间,施加集中载荷直至破坏,据此测定岩石点荷载强度指数的一种试验方法。本试验可间接确定岩石强度。点荷载试验仪球端的曲率半径应为5mm,圆锥体顶角应为60°。

附录B Kv、Jv测试的规定

B.0.1 岩体完整性指数Kv的测试应符合下列规定:
    1. 应针对不同的工程地质岩组或岩性段,选择有代表性的测段,测试岩体弹性纵波速度,并应在同一岩体中取样,测试岩石弹性纵波速度。
    2. 对于岩浆岩,岩体弹性纵波速度测试宜覆盖岩体内各裂隙组发育区域;对沉积岩和沉积变质岩层,弹性波测试方向宜垂直于或大角度相交于岩层层面。
    3. Kv值应按下式计算:


6-161224132220314.jpg

式中:Vpm——岩体弹性纵波速度(km/s);
          Vpr——岩石弹性纵波速度(km/s)。
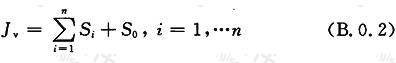
B.0.2 岩体体积节理数Jv的测试应符合下列规定:
    1. 应针对不同的工程地质岩组或岩性段,选择有代表性的出露面或开挖壁面进行节理(结构面)统计。有条件时宜选择两个正交岩体壁面进行统计。
    2. 岩体体积节理数Jv的测试应采用直接法或间距法。
    3. 间距法的测试应符合下列规定:
        1)测线应水平布置,测线长度不宜小于5m;根据具体情况,可增加垂直测线,垂直测线长度不宜小于2m。
        2)应对与测线相交的各结构面迹线交点位置及相应结构面产状进行编录,并根据产状分布情况对结构面进行分组。
        3)应对测线上同组结构面沿测线方向间距进行测量与统计,获得沿测线方向视间距。应根据结构面产状与测线方位,计算该组结构面沿法线方向的真间距,其算术平均值的倒数即为该组结构面沿法向每米长结构面的条数。
        4)对迹线长度大于1m的分散节理应予以统计,已为硅质、铁质、钙质胶结的节理不应参与统计。
        5)Jv值应根据节理统计结果按下式计算:


6-161224132322R9.jpg

  式中:Jv——岩体体积节理数(条/m3);
          n——统计区域内结构面组数;
          Si——第i组结构面沿法向每米长结构面的条数;
          S0——每立方米岩体非成组节理条数。


条文说明

B.0.1 由于声波测试设备及工作条件的不同,岩体弹性纵波速度(Vpm)的测试方法主要有跨孔测试法、单孔测井法、锤击法等几种。根据弹性波测试频率范围,有地震波(频率小于5kHz)、声波(频率5kHz~20kHz)和超声波(频率大于20kHz)三类。不同测试方法结果略有差异,由它们计算得到的Kv值,彼此相差约为±10%,但仍可用来定量地评价岩体的完整程度。因此,本附录规定Vpm的测试以岩体弹性纵波速度测试为主。为正确把握被测岩体Kv值的物理意义,以及便于确立由不同方法获得的Kv值之间的关系,各工程的勘察试验报告中,应当说明测试方法。
    跨孔测试方法所取得的Vpm值,能较好地反映岩体的完整性程度,在可能的条件下,宜首先考虑采用此测试方法。若在洞室内进行测试,应避开爆破影响带。
B.0.2 岩体体积节理数Jv值的测量方法主要有三种,包括直接测量法,间距法和条数法。直接测量法是直接数出单位体积岩体中的结构面数;间距法是通过测量岩体中各组结构面的间距,并以其平均值计算岩体单位体积中结构面的条数;条数法是指在单测量区域内数出单位面积内的结构面条数,并乘以修正经验系数。本附录推荐岩体体积节理数Jv值的测量可采用直接测量法或结构面间距法。
    当采用结构面间距法时,测线布置一般采用与某组结构面出露迹线呈大角度相交的原则,鉴于一般的岩体露头主要是边坡坡面或勘察平洞等部位,这里规定测线布置一般为水平布置。若有结构面与测线近平行或小夹角展布,可布置另一条与主测线垂直的辅助测线。关于测线长度,根据国际岩石力学学会建议,测线长度应不小于10倍的被测量结构面间距,这里规定,水平向测线长不宜小于5m,垂直向辅助测线长不宜小于2m。
    鉴于现代计算技术的普及,对测线间距的处理,本条规定应将测得的沿测线方向的视间距转换为沿每组结构面法向上的真间距,以获得更准确的Jv值。
    由于被硅质、铁质、钙质充填再胶结的结构面已不再成为分割岩体的界面。因此,在确定Jv时,不予统计。对延伸长度大于1m的非成组分散的结构面予以统计,即需加上每立方米岩体非成组节理条数S0,使计算的Jv值更符合实际。

附录C 岩体初始应力场评估

C.0.1 没有岩体初始应力实测成果时,可根据地形和地质勘察资料,按下列方法对初始应力场作出评估:
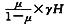
    1. 较平缓的孤山体,一般情况下,初始应力的铅直向应力为自重应力,水平向应力不大于  6-161224145245U7.jpg
    2. 通过对历次构造形迹的调查和对近期构造运动的分析,以第一序次为准,根据复合关系,确定最新构造体系,据此确定初始应力的最大主应力方向。
    当铅直向应力为自重应力,且是主应力之一时,水平向主应力较大的一个,可取0.8γH~1.2γH或更大。
    3. 埋深大于1000m,随着深度的增加,初始应力场逐渐趋向于静水压力分布;大于1500m以后,可按静水压力分布确定。
    4. 在峡谷地段,从谷坡至山体以内,可划分为应力松弛区、应力过渡区、应力稳定区和河底应力集中区。峡谷的影响范围,在水平方向一般为谷宽的1倍~3倍。在谷底较深部位,最大主应力趋于水平且多垂直于河谷。
    5. 地表岩体剥蚀显著地区,水平向应力应按原覆盖层厚度计算,其覆盖层厚度应包括已剥蚀的部分。
C.0.2 根据岩体开挖或钻孔取心过程中出现的高初始应力条件下的主要现象,可按表C.0.2评估工程岩体所对应的强度应力比范围值。

表C.0.2工程岩体强度应力评估


6-161224145053100.jpg

注:σmax为垂直洞轴线方向的最大初始应力。


条文说明

C.0.1 岩体初始应力或称地应力,是在天然状态下,存在于岩体内部的应力,是岩石工程的基本外荷载之一。岩体初始应力是三维应力状态,一般为压应力。初始应力场受多种因素的影响,一般来讲,其主要影响因素依次为埋深、构造运动、地形地貌、地表剥蚀等。当然,在不同地方这个主次关系可能改变。
    准确地获得岩体初始应力值的最有效方法,是进行现场测试。对大型或特殊工程,宜现场实测岩体初始应力,以取得定量数据。对一般工程,当有岩体初始应力实测数据时,应采用实测值;无实测资料时,可根据地质勘探资料,对初始应力场进行评估。
    1. 在其他因素的影响不显著情况下,初始应力为自重应力场。上覆岩体的重量为铅直向主应力,沿深度线性增加。
    2. 历次地质构造运动,常影响并改变自重应力场。国内外大量实测资料表明,铅直向应力值σv往往大于岩体自重。若用λo=  6-161224145459437.jpg 表示这个比例系数,我国实测资料λo<0.8者约占13%、λo=0.8~1.2者约占17%,λo>1.2者占65%以上。这些资料大多是在200m深度内测得的,最深达500m。A·B裴伟整理的苏联资料,λo<0.8者占4%、λo=0.8~1.2者占23%、λo>1.2者占73%。
    国内外的实测水平应力,普遍大于泊松效应产生的  6-161224145510T8.jpg  γH,且大于或接近实测铅直应力。用最大水平应力(σH1)与σv之比表示侧压系数(λ1=σH1v),一般λ1为0.5~5.5,大部分在0.8~2.0之间,λ1最大达30。若用两个水平应力的平均值(σH·an)与σv之比表示侧压系数(λav=σH·anv),一般λav为0.5~5.0,大多数为0.8~1.5。我国实测资料λav在0.8~3.0之间,λav<0.8者约占30%,λav=0.8~1.2者约占40%,λav>1.2者约占30%。
    确定初始应力的方向是一个极为复杂的问题,本附录没有具体给出,在使用本条第2款时,可用以下方法对初始应力的方向进行评估。
    分析历次构造运动,特别是近期构造运动,确定最新构造体系,进行地质力学分析,根据构造线确定应力场主轴方向。根据地质构造和岩石强度理论,一般认为自重应力是主应力之一,另一主应力与断裂构造体系正交。对于正断层,σv为大主应力,即σ1=γH,小主应力σ3与断层带正交;对于逆断层,σv为小主应力,即σ3=γH,σ1与断层带正交;对于平移断层,σv是中间主应力,即σ2=γH,σ1与断层面成30°~45°的交角,且σ1与σ3均为水平方向。
    依据工程勘探平洞局部围岩片帮等高地应力现象也可以初步判断局部地段岩体初始应力的方向和大小。一般情况下,片帮所在位置的切向方向与断面上最大主应力方向一致,片帮的程度可以说明断面上最大和最小主应力的差别大小。与最大主应力方向相垂直的平洞,片帮和片顶破坏的程度也越强烈。
    3. 实测资料还表明,水平应力并不总是占优势的,到达一定深度以后,水平应力逐渐趋向等于或略小于铅直应力,即趋向静水压力场。这个转变点的深度,即临界深度,经实测资料统计,大约在1000m~1500m之间。也有人提出,这个临界深度在各国不尽相同,如南非为1200m,美国为1000m,日本为500m,冰岛最浅,为200m,我国为1000余米。
    在目前测试技术和现有实测成果的基础上,本附录规定深度在1000m~1500m为过渡段,1500m为临界深度是比较合适的。况且,就岩石工程而言,绝大部分工程的埋深小于1500m。
    4. 由于地质构造与河流切割的原因,河流峡谷地段,从谷坡至山体一定区域内,岩体初始应力场通常具有明显的区域分布特性。另外,由于地质构造及岩性差异,岩体初始应力分布也具有不均匀性特征。一般而言,断层及影响带内,岩体应力较低,近影响带岩体局部可能有应力集中现象,远离断层带,岩体应力趋于稳定应力值。软硬相间层状岩体和软弱岩层中,岩体初始应力通常较低,硬质岩层中,岩体初始应力通常较高。
C.0.2 高初始应力区的存在,已为工程实践所证实。岩爆和岩心饼化产生的共同条件是高初始应力。一般情况下,岩爆发生在岩性坚硬完整或较完整的地区,岩心饼化发生在中等强度以下的岩体。在我国,二滩工程的正长岩、白鹤滩工程的玄武岩、大岗山工程的花岗岩、鲁布革工程的白云岩、大瑶山隧道的浅变质长石石英砂岩、拉西瓦工程的花岗岩、锦屏一级和二级工程中的大理岩以及天生桥二级引水隧洞、渔子溪工程的引水洞、河南省故县工程、甘肃金川矿等,在勘探和掘进过程都有岩爆或岩心饼化发生,经实测均存在高初始应力。在国外,如瑞典的Victas隧洞,开挖期间在300m长的地段发生岩爆,该洞段位于高水平应力区,最大主应力为35MPa,倾角10°,方向垂直洞轴线。美国大古力坝,厂房基坑为花岗岩,开挖中水平层状裂开,剥离了一层又一层。
    一定的初始应力值,对不同岩性的岩体,影响其稳定性的程度是不一样的。为此,用岩石饱和单轴抗压强度Rc与最大主应力σ1的比值,作为评价岩爆和岩心饼化发生的条件,进而评价初始应力对工程岩体稳定性影响的指标。实测资料表明,一般当Rc1=3~6时就会发生岩爆和岩心饼化,小于3可能发生严重岩爆。实际上,洞室周边应力集中系数最小为2,这样高的初始应力值σ1,引起洞周边应力集中,从而使得部分洞壁岩体接近或超过强度极限。
    考虑到空间最大主应力σ1与工程轴线(如洞室轴线)夹角的不同,对工程岩体稳定的影响程度也不同,只有垂直工程轴线方向的最大初始应力σmax,对工程岩体稳定的影响最大,且荷载作用明确。所以本附录表C.0.2采用Rcmax作为评价岩体初始应力影响的定量指标。
    由于高初始应力对工程岩体稳定性的影响程度,尚缺乏成熟的资料,目前还不能给出更详细的规定,表C.0.2将应力情况定为两种是适宜的。
    初始应力的最大主应力方向与工程主要特征尺寸方位(如洞室轴线、坝轴线、边坡走向等)的关系不同,对工程岩体稳定性的影响也不同,特别是地下工程岩体。由于目前在这方面缺乏足够的依据,无法在分级标准中作出规定,而且这类问题也不是分级工作所能解决的,应在工程设计和施工中根据具体情况给予充分注意。

附录D 岩体及结构面物理力学参数

D.0.1 岩体物理力学参数可按表D.0.1确定。
表D.0.1 岩体物理力学参数
6-161224145631R9.jpg

D.0.2 岩体结构面抗剪断峰值强度参数可按表D.0.2确定。

表D.0.2 岩体结构面抗剪断峰值强度


6-161224145J5U8.jpg

条文说明

 附录D 岩体及结构面物理力学参数

D.0.1 本条在各级别岩体现场试验成果综合整理分析基础上,给出了与岩体基本质量级别对应的岩体物理力学参数。
    原标准在给出各级别岩体物理力学参数建议值时,主要根据当时所收集的现场岩体力学试验资料,按平均值以上划分二级及平均值以下划分三级的原则,给定各级别岩体力学参数建议值。其中,岩体抗剪断峰值强度确定,依据的资料来源由29个工程60组样本确定,涉及花岗岩、石灰岩、砂岩、页岩、黏土岩等24种岩石;岩体变形模量的确定,依据资料有47个工程的143个样本,涉及花岗岩、白云质灰岩、石灰岩、砂岩、凝灰岩、大理岩、页岩及泥岩等21种岩石;岩体结构面抗剪断峰值强度,资料来源于34个工程的94组试验样本,涉及花岗岩、石灰岩、砂岩、页岩、黏土岩等21种岩石。
    本次修订进一步收集与整理了自标准颁布以来的有关工程岩体现场试验成果资料,并按岩体基本质量级别分别进行统计。依据基于岩体质量级别的试验资料统计结果与原标准各级岩体参数建议值进行比较,以分析与论证原标准参数建议值的合理性。
    (1)岩体抗剪断峰值强度统计。样品总数192组,取自44个工程,系大型试件双千斤顶法(部分为双压力钢枕)直剪试验成果。其中Ⅰ级岩体样本14组,Ⅱ级岩体样本38组,Ⅲ级岩体样本48组,Ⅳ级岩体样本76组,Ⅴ级岩体样本16组。最大实测内摩擦角φ=70.1°、黏聚力C=5.31MPa(新鲜完整花岗岩);最小测值φ=17.8°、C=0.02MPa(破碎的粉砂质黏土岩)。各级岩体样本统计结果见表22和表23。

表22 各级岩体内摩擦角φ统计结果(°)


6-161224150204J3.jpg

表23 各级岩体黏聚力C统计结果(MPa)


6-161224150402301.jpg

(2)岩体变形模量统计。样品总数897个,取自65个工程,系刚性(部分为柔性)承压板法试验成果。其中Ⅰ级岩体样本89个,Ⅱ级岩体样本184个,Ⅲ级岩体样本262个,Ⅳ级岩体样本184个,Ⅴ级岩体样本178个。最大实测值为72.2GPa(新鲜完整闪云斜长花岗岩);最小实测值为0.003GPa(断层带破碎岩)。各级岩体样本统计结果见表24。

表24 各级岩体变形模量E统计结果(GPa)


6-161224150611637.jpg

 基于岩体基本质量级别的统计分析结果表明,原标准中各级岩体力学参数总体合理。但是,Ⅲ级以下岩体的内摩擦角和黏聚力本次统计结果比原建议值略高;Ⅱ级岩体变形模量区间下限或Ⅲ级岩体变形模量区间上限比原标准建议值低。结合各级岩体现场试验资料统计特征值,并通过综合分析,除Ⅱ级与Ⅲ级岩体变形模量界限值从20GPa下调到16GPa外,其他参数基本维持原标准参数表不变。
D.0.2 本条在现场各类岩体结构面抗剪断试验成果综合整理基础上,给出了各类型结构面抗剪断强度参数。
    岩体结构面抗剪断峰值强度,取决于两侧岩石的坚硬程度和结构面本身的结合程度。本条首先根据结构面两侧岩石的坚硬程度和结构面本身的结合程度对结构面进行分类,在收集结构面原位抗剪强度试验资料的基础上,对各类结构面抗剪断峰值强度参数分别进行统计,以获得各类岩体结构面抗剪断强度参数分布特征。
    结构面抗剪断强度统计样本情况。样品总数350组,取自40个工程,试验剪断面控制在结构面上;其中1类结构面样本84组,2类结构面样本111组,3类结构面样本115组,4类结构面样本30组,5类结构面样本10组。最大实测内摩擦角φ=66.7°、黏聚力C=2.97MPa(未风化~微风化闪长花岗岩的裂隙面、闭合、起伏粗糙);最小实测内摩擦角φ=9°、C=0.01MPa(黏土岩泥化夹层)。各类结构面样本统计结果见表25和表26。

表25 各类结构面内摩擦角φ统计结果(°)


6-161224150P5T3.jpg

表26 各类结构面黏聚力C统计结果(MPa)


6-1612241509352E.jpg

依据统计结果,绘制各类结构面抗剪断强度参数累计概率曲线。依据累计概率曲线,确定第1类至第5类结构面抗剪断峰值强度内摩擦角φ分级界限值为38°、29°、22°、17°,黏聚力C分级界限值为0.40MPa、0.18MPa、0.10MPa、0.03MPa。这里,各类型结构面抗剪断强度参数界限值的确定是在累计概率曲线上,累计概率为0.2的分位值。与原标准相比,各类岩体结构面抗剪强度参数比原标准强度参数略高。考虑到C值的实测值分散性和随机性较大,从保守的角度出发,各类结构面抗剪强度参数仍维持原标准建议参数。

附录E 工程岩体自稳能力

E.0.1 地下工程岩体自稳能力,应按表E.0.1确定。

表E.0.1 地下工程岩体自稳能力


6-16122415121TO.jpg

   注:1. 小塌方:塌方高度小于3m,或塌方体积小于30m3
        2. 中塌方:塌方高度3m~6m,或塌方体积30m3~100m3
        3. 大塌方:塌方高度大于6m,或塌方体积大于100m3
E.0.2 边坡工程岩体自稳能力,应按表E.0.2确定。

表E.0.2 边坡工程岩体自稳能力


6-16122415133a92.jpg

注:表中边坡指坡角大于70°的陡倾岩质边坡。

条文说明

E.0.1 由工程岩体质量指标[BQ]确定的地下工程岩体级别与洞室的自稳能力之间,有很好的对应关系。据对48项地下工程,416个区段,总长度12000m洞室的工程岩体质量指标[BQ]值和塌方破坏关系的统计,BQ>550的52段无一处塌方,其中最大跨度为18m~22m无支护,稳定超过20年。其他情况见表27。值得注意的是,表中所列的[BQ]<351地段(Ⅲ级岩体),所发生的塌方多数是没有按要求及时支护,若长期不支护,可能有100%的地段发生塌方。经工程实践统计分析,本附录给出地下工程岩体自稳能力表。

表27 塌方情况统计


6-16122415153I40.jpg

 表E.0.1所描述的稳定性(自稳能力),包括变形和破坏两方面,是指长期作用的结果。开挖后短时间不破坏并不能说明岩体是稳定的,需通过变形观测和较长时间作用的检验。
E.0.2 本条给出了各级别边坡工程岩体的自稳能力。这里,边坡工程岩体的自稳能力评价是指正常工况条件,而不包括地震及强暴雨等特殊工况条件。边坡岩体的自稳能力划分为四个层次:长期稳定,指边坡岩体仅需用随机锚杆对局部结构面切割问题进行支护,即能保持稳定;基本稳定,即边坡的长期稳定性还需在进行系统支护和排水条件下,才能保持稳定;稳定数月或稳定数日至1个月,即是边坡整体稳定性总体欠稳定,需进行加强支护和排水,才能保持稳定。
    关于边坡工程岩体自稳能力的确定,主要是依据各级别边坡岩体可能的强度参数进行系统的极限平衡分析,参照SMR方法、《建筑边坡工程技术规范》GB 50330、《水电水利工程边坡工程地质勘察技术规程》DL/T 5337等文献资料,结合现场调查和经验,综合给出。表28中给出了相关规范对各级边坡岩体稳定性的评价。

表28 各级岩体边坡的稳定性评价


6-161224151F3432.jpg

本标准用词说明

1. 为便于在执行本标准条文时区别对待,对要求严格程度不同的用词说明如下:
    1)表示很严格,非这样做不可的:
      正面词采用“必须”,反面词采用“严禁”;
    2)表示严格,在正常情况下均应这样做的:
      正面词采用“应”,反面词采用“不应”或“不得”;
    3)表示允许稍有选择,在条件许可时首先应这样做的:
      正面词采用“宜”,反面词采用“不宜”;
    4)表示有选择,在一定条件下可以这样做的,采用“可”
2. 条文中指明应按其他有关标准执行的写法为:“应符合……的规定”或“应按……执行”。

1. 本站所有资源来源于用户上传和网络,仅作为演示数据,如有侵权请邮件联系站长!
2. 盗版,破解有损他人权益和违法作为,请各位站长支持正版!
回复

举报

 
高级模式
B Color Image Link Quote Code Smilies

本版积分规则

Archiver|手机版|小黑屋|安全法规网

Powered by Discuz! X3.5© 2001-2025 Discuz! Team.

快速回复 返回顶部 返回列表