消防安全工程指南 第4部分:探测、启动和灭火 GB/T31540.4-2015

master
2024-02-11
国家标准
标准型式: 中华人民共和国国家标准-强制标准
发布日期: 2015年5月15日
实施日期: 2015年8月1日

前言

中华人民共和国国家标准
消防安全工程指南 第4部分:探测、启动和灭火
Fire safety engineering guide-Part 4:Detection,activation and suppression
(ISO/TR 13387-7:1999,Fire safety engineering-Detection,activation and suppression,MOD)
GB/T 31540.4-2015
发布部门:中华人民共和国国家质量监督检验检疫总局
中国国家标准化管理委员会
发布日期:2015年5月15日
实施日期:2015年8月1日

    GB/T 31540《消防安全工程指南》分为以下部分:
    ——第1部分:性能化在设计中的应用;
    ——第2部分:火灾发生、发展及烟气的生成;
    ——第3部分:结构响应和室内火灾的对外蔓延;
    ——第4部分:探测、启动和灭火;
    ……
    本部分为GB/T 31540的第4部分。
    本部分按照GB/T 1.1-2009给出的规则起草。
    本部分使用重新起草法修改采用ISO/TR 13387-7:1999《消防安全工程指南 探测、启动和灭火》。
    本部分与ISO/TR 13387-7:1999相比在结构上有较多调整,附录A中列出了本部分与ISO/TR 13387-7:1999的章条编号对照一览表。
    本部分与ISO/TR 13387-7:1999相比存在技术性差异,这些差异涉及的条款已通过在其外侧页边空白位置的垂直单线(|)进行了标示,附录B中给出了相应技术性差异及其原因的一览表。
    为了方便使用和符合我国相关标准编写要求,本部分还做了下列编辑性修改:
    ——删除了国际标准的前言,重新起草了前言;
    ——修改了国际标准的引言,将其作为本部分的引言;
    ——将国际标准的“本国际标准”一词改为“本部分”;
    ——将国际标准中某些标点符号修改为符合汉语习惯的标点符号;
    ——删除参考文献;
    ——增加了附录A(资料性附录),给出了本部分与国际标准的章条编号对照情况;
    ——增加了附录B(资料性附录),给出了本部分与国际标准的技术性差异及其原因说明。
    本部分由中华人民共和国公安部提出。
    本部分由全国消防标准化技术委员会建筑消防安全工程分技术委员会(SAC/TC 113/SC 13)归口。
    本部分负责起草单位:公安部四川消防研究所。
    本部分参加起草单位:公安部沈阳消防研究所,北京利达集团有限公司。
    本部分主要起草人:王炯、邓玲、冯小军、梅志斌、张先来、熊筠、涂燕林、卢国建、刘军军、伍萍、王莉平、张晓明。


引言

     建筑物的使用和管理人员通过各类探测装置发现和控制火灾,从而使建筑物达到安全标准,并降低火灾损失。
    本部分采用GB/T 31540.1规定的子系统4对建筑中设置的各种主动灭火设施进行分析和评估。子系统4可用于计算各种火灾探测装置的探测时间、固定灭火装置的动作时间以及其他消防联动控制装置对火灾烟气的响应时间。计算过程中需要使用子系统1、子系统3所设定的火灾场景以及根据设定的火灾场景计算得出的火灾烟气的温度、浓度和流速。
    本部分参照相关消防规范、ISO/TC 21制定的固定灭火系统相关标准,并结合在设定火灾场景中使用这些标准规范时所做的工程判断,评估了不同灭火设施对火灾热释放速率的影响。
    本部分还采用工程方法对子系统4的重要输出结果(探测时间、启动时间和灭火系统性能)进行评估,并详细列出了评估过程中需要考虑的物理和化学过程、评估方法、评估所需信息以及评估结论。

1 范围

    GB/T 31540的本部分规定了建筑自动消防设施的工程分析方法,适用于火灾自动报警系统探测时间和自动灭火系统启动时间的计算,以及自动灭火系统效能的评估。
    本部分不考虑人为干预对探测、启动和灭火的影响。

2 规范性引用文件

    下列文件对于本文件的应用是必不可少的。凡是注日期的引用文件,仅注日期的版本适用于本文件。凡是不注日期的引用文件,其最新版本(包括所有的修改单)适用于本文件。
    GB/T 5907(所有部分)消防词汇
    GB/T 31540.1 消防安全工程指南 第1部分:性能化在设计中的应用(GB/T 31540.1-2015,ISO/TR 13387-1:1999,MOD)
    GB 50084 自动喷水灭火系统设计规范

3 术语和定义

    GB/T 5907界定的以及下列术语和定义适用于本文件。
3.1 启动时间 activation time
    从传感器做出响应到灭火系统、防排烟系统、报警系统或其他防火系统完全动作之前的时间间隔。
3.2 实际喷水强度 actual distribution density;ADD
    喷头喷洒到具有特定热释放速率的可燃物表面的水流速率。
3.3 喷洒口 agent outlet
    喷淋、灭火或控制装置等固定灭火系统的介质输出口位置。
3.4 控制型喷头 control-mode sprinkler
    通过使可燃物变湿润的方式来限制火灾蔓延的一种喷头类型(如普通喷头或喷雾喷头)。
3.5 普通喷头 conventional sprinkler
    使总水量的40%~60%向下喷洒的洒水喷头。
3.6 探测时间 detection time
    从火灾发生到通过自动或手动方式探测到火灾所需的时间。
3.7 预浸湿 prewetting
    水喷淋逐渐浸透或打湿燃料以及燃料周围区域的过程,从而限制火灾的蔓延。
3.8 设计喷水强度 required distribution density;RDD
    喷洒到单位面积的燃料表面上的水流速率。
3.9 喷雾喷头 spray sprinkler
    使总水量的80%~100%向下喷洒的洒水喷头。
3.10 抑制型喷头 suppression-mode sprinkler
    直接将水释放到燃料表面,从而降低火灾热释放速率的一种喷头(如ESFR)。
3.11 细水雾灭火系统 water mist protection system
    向保护对象喷射水雾,产生灭火或防护冷却效果的灭火系统。

4 符号和缩略语

    下列符号和缩略语适用于本文件。
    C 传导系数,单位为(m/s)1/2
    dgn 平均粒子直径,单位为毫米(mm)
    K 减光系数,单位为负一次方米(m-1
    N 粒子数浓度,单位为负三次方米(m-3
    Te 探测器的感应温度,单位为开尔文(K)
    Tea 探测器的额定动作温度,单位为开尔文(K)
    Tg 火灾时管道截面或探测器附近的环境温度,单位为开尔文(K)
    Tu 测试中的环境空气温度,单位为开尔文(K)
    tR 探测器的响应时间,单位为秒(s)
    u 火灾时管道截面或探测器附近的气流速度,单位为米每秒(m/s)
    σg 粒子直径的标准偏差,单位为毫米(mm)
    CFD 计算流体力学(computational fluid dynamics)
    ESFR 早期抑制快速响应喷头(early suppression fast response)
    HRR 热释放速率(heat release rate),单位为千瓦(kW)
    RTI 响应时间指数(response time index),单位为(m▪s)1/2

5 子系统4的使用说明

5.1 总则
5.2 信息流程

5.1 总则

    本章描述的步骤应与GB/T 31540的其他部分一起使用。为了在消防安全设计过程中更全面地使用本部分,本章对子系统4的重要参数和信息流程做了描述(见图1)。
    根据GB/T 31540.1的规定,消防安全设计评估内容由多个子系统组成,本部分为子系统3。消防安全设计评估方法的关键点是确认子系统之间的关联性,并评估子系统之间的转换关系。
    在GB/T 31540.1中,对消防安全设计评估方法的信息处理流程进行了分析说明。信息处理流程包含有总体信息层、评估信息层和信息处理层。
    第一层为总体信息层,包括子系统之间传递的数据和用于进行工程判断的数据,子系统3与总体信息的关联情况见图1。子系统3采用其他子系统的输入数据,同时输出其他子系统所需的数据。图1给出了数据在总体信息系统和子系统3评估的传递关系。
    第二层为评估信息层,描述子系统3的评估对象。子系统3对建筑物系统的热响应和力学响应进行计算和评估,确定火灾是否会发生蔓延。详见本部分第6章。
    第三层为信息处理层,描述子系统3的评估基本过程。图1给出了子系统3的评估流程,第6章对这些流程进行详细说明。


10-22021G42031b7.jpg

5.2 信息流程

    在GB/T 31540.1规定的子系统4中,对于探测、启动或灭火中任何一种类型的评估,都应采用总体信息层的数据作为输入参数。子系统4计算得出火灾探测报警时间、烟热控制装置和主动灭火装置的动作响应时间,可供子系统5在评估人员疏散安全时使用。除了输出响应时间外,子系统4还可根据有效抑制或消除有焰燃烧所需灭火剂流速的经验数据,对主动灭火系统的效能做出评估。这些评估结果使子系统1、子系统2和子系统5更容易对环境和人员受火灾的综合影响做出评估。子系统4的信息处理层能够确定灭火介质的释放特性,从而使得复杂的场模型可在子系统1和子系统2中得到使用。

6 子系统4的评估流程

6.1 探测时间
6.2 启动时间
6.3 灭火系统的性能

6.1 探测时间

6.1.1 影响因素
    在特定建筑物中,火灾探测器的选型和安装位置的选择应与消防安全设计目标一致。点型感温探测器或线型感温探测器适合安装在对探测可靠性要求较高的部位;感烟探测器适合在要求探测灵敏度高、响应时间短的场所安装。如果点型火灾探测器的报警时间仍达不到设计要求,宜安装火焰探测器或空气采样探测器。
    探测器类型或安装位置如果选择不当,使得整个探测系统设计不合理,就可能导致大量的误报警。合理的设计以及对火灾探测报警系统的可靠维护,能够有效降低误报率。
    集中控制型火灾探测报警系统具备复杂的逻辑编程和软件控制功能。在这样的系统中,探测时间的计算不仅取决于6.1中讨论的各项内容,还取决于整个集中控制系统的动作时间。选择合理的逻辑编程算法、提高探测功能的集成度、消除电磁干扰以及减少建筑内部人员的误操作等措施,都能有效减低系统的误报率。
6.1.2 感温探测器
6.1.2.1 一般原则

    根据烟气与探测器之间的热传递情况,可计算出感温探测器的响应时间,探测器的“响应时间指数”(RTI)可通过风洞试验获得。
6.1.2.2 定温探测器响应时间的计算
    影响点型定温探测器响应时间的因素包括:
    a)热敏元件的热特性(质量、比热容、表面积);
    b)火灾环境中的对流热传递系数;
    c)热敏元件与探测器的其他部分产生的传导热损失。
    通过测量元件的热特性和在局部火灾环境中的热传递系数可得到“响应时间指数”(RTI)参数,同样,结合RTI并测量热敏元件的热损失可得到“导热系数”(C)参数(参见附录B)。通过探测器周围的平均气体速度和温度等相关信息可计算出探测器的响应时间。
    探测器的动作温度应与安装部位的标准环境温度相匹配。点型感温探测器的标准灵敏度试验采用了恒定气流速度和设定环境气体温度,试验得出的探测器响应时间可用于计算探测器的RTI(参数C可忽略)。另外,国家标准中规定的探测器安装间距也可转化为等效的RTI(参见附录B),用于工程评估。
    自动喷水灭火系统中洒水喷头上的热敏感应元件也是一种定温探测器,当易熔元件被加热达到其动作温度或温度等级后产生动作响应。采用与其他定温探测器相同的方式,可以计算出自动喷水灭火系统洒水喷头的动作时间。
    线型感温探测器适用于探测存在大量障碍物的封闭空间内的火灾,这种探测器的智能报警控制器能够沿线型探测器的铺设方向确定火灾位置。
6.1.2.3 差温探测器响应时间的计算
    点型差温探测器响应时间的计算方法是:假设单个热敏元件的响应时间指数(RTI)和导热系数(C),按照6.1.2.2规定的方法计算热敏元件的温升速率值,该温升速率超过探测器动作所需温升速率时,即可得出探测器响应时间。差温线型探测器响应时间的计算也可以采用相似的方法。
6.1.2.4 输入
    输入信息包括:
    ——火灾规模和烟气范围;
    ——热量(包括暖通空调系统的影响);
    ——压力和速度(包括暖通空调系统的影响);
    ——建筑参数(探测器相对于火源位置、升温速率、RTI和C取值)。
6.1.2.5 输出
    输出信息为探测器实现火灾探测所需的时间或是否能够实现探测。
6.1.3 感烟探测器
6.1.3.1 烟气产物及其运动

    烟气中包含经高温分解和易燃材料的氧化反应等化学过程产生的微粒、溶胶和各类气体,这些燃烧产物受流域内的浮力和预加热以及通风和空调系统(暖通空调系统)的作用从火源位置流动到建筑物的其他部位。
6.1.3.2 离子感烟探测器的响应时间
    离子感烟探测器的电离室内安装的放射源释放的射线使电离室内的空气被电离为导体,允许一定强度的电流在两个电极之间的空气中传导。烟粒子进入电离室后,与空气中的电离子相接合,使电离子移动减弱,从而降低了空气的导电性。当导电性低于预定值,或由火灾报警控制器判断导电性低于一个由环境条件确定的极限值时,离子感烟探测器就发出报警信号。
    离子感烟探测器的敏感性很大程度上取决于烟粒子的粒径分布,因此烟粒子数量浓度对响应时间的影响通常比质量浓度要大。这样的响应特性使得离子感烟探测器对纤维材料燃烧(如木材、纸张)等产生的高浓度、小颗粒烟粒子具有更高的敏感性,而对阴燃产生的低浓度、大颗粒烟粒子的敏感性则较低。
6.1.3.3 吸气式感烟探测器的响应时间
    吸气式感烟探测器由分布在受保护区域内的探测管网和与探测管网相连的探测单元构成。抽气泵通过管道将空气从受保护区域采样并输送到探测单元中,由探测单元对空气中包含的烟气进行分析。探测单元中的高灵敏度感烟器件,在探测单元内烟气浓度超过由用户设定的标准时产生响应。计算该类探测器的响应时间时,应考虑从采样孔到探测单元的气样传输时间。
6.1.3.4 光电感烟探测器的响应时间
    光电感烟探测器的探测腔内包含一个光源和一个光敏元件,光源发出的光线被设计为不能直接照射到光敏元件上。当烟粒子进入探测腔时,光源发出的光线受烟粒子的散射作用,可以照射到光敏元件上。当光敏元件接收到的散射光强度超过预定值时,探测器发出报警信号。
    单个粒子产生的、射向光敏元件方向的散射光强度(即光电感烟探测器的响应函数),受到光源强度、波长、散射角度和烟粒子大小的直接影响。受烟粒子大小的影响,光电感烟探测器对阴燃产生的大粒子具有更高的敏感性,而对纤维材料燃烧生成的小粒子敏感性较低。
6.1.3.5 点型感烟探测器响应时间的计算
    点型感烟探测器响应时间的计算应包含以下内容:
    a)探测器所在位置的烟密度达到规定值所需时间;
    b)烟气进入探测器所需时间;
    c)传感器对探测器内烟气产生响应所需时间。
    如果通过试验获得了导致探测器报警的临界烟密度值,则可直接使用该试验结果来替代对探测器敏感性或响应时间的计算。临界烟密度不仅取决于燃料类型和燃烧方式(阴燃或有焰燃烧),还取决于测量烟密度的光波波长和表征烟密度的计量单位。如果已知燃料及火灾类型以及探测器的临界烟密度,通过评估或计算探测器所在位置的烟密度就能得到响应时间。如果未知临界烟密度,则可以通过假设探测器对其安装位置周围气体的小幅温升产生响应,获得一个粗略的响应时间计算结果。
6.1.3.6 输入
    输入信息包括:
    ——火灾荷载(包括燃料类型);
    ——燃烧方式(阴燃或有焰燃烧);
    ——压力或速度分布(包括暖通空调系统的影响);
    ——烟气分布(包括暖通空调系统的影响);
    ——建筑参数(探测器相对于火源的位置、敏感性、延迟时间)。
6.1.3.7 输出
    输出信息为探测器实现火灾探测所需的时间,或是否能够实现探测。
6.1.4 光束感烟探测器
6.1.4.1 需要考虑的因素

    光束感烟探测器由光发射器和光接收器组成,光接收器和光发射器之间的对射光束贯穿整个被保护区域。当火灾烟气到达对射光束时,烟气微粒的吸收和散射效应减弱了光接收器接收到的传输光强度。当光接收器接收到的传输光强度低于预定值,或由报警控制器判断,传输光产生的电信号低于根据周围环境参数设定的某阈值时,光束感烟探测器发出报警信号。
6.1.4.2 输入
    输入信息包括:
    ——烟气分布;
    ——建筑空间参数(光束距离地面的长度和高度、光束相对于水平面的夹角以及距离顶棚的垂直距离)。
6.1.4.3 输出
    输出信息为探测器实现火灾探测所需的时间或是否能够实现探测。
6.1.5 火焰探测器
6.1.5.1 需要考虑的因素

    火焰探测器的选型原则是在提高探测灵敏度和降低误报率之间寻找平衡点。火焰探测器如果安装位置合理,其探测视角应能毫无障碍地覆盖可能产生火焰的区域或其反射光。为了降低误报率,可以选择使用工作波段在紫外/可见光范围内的火焰传感器来降低对环境热源产生的红外辐射的敏感性。另一方面,如果将探测灵敏度作为首要考虑因素,则需要使用集成了紫外、可见光和红外传感器的复合传感器。先进的火焰探测器根据火灾辐射的频谱特征,采用数字逻辑方法来分析火灾辐射光谱的多个波段。当辐射光信号大于某预定值,或者由报警控制器判断,辐射光信号高于根据周围环境参数设定的某个阈值时,火焰探测器就会发出报警信号。
6.1.5.2 输入
    输入信息包括:
    ——火灾场景;
    ——火灾荷载;
    ——火灾或烟气规模;
    ——建筑参数。
6.1.5.3 输出
    输出信息为探测器实现火灾探测所需的时间或是否能够实现探测。
6.1.6 复合型火灾探测器
    复合型火灾探测器是在单个点型探测器内使用多种类型的传感器,具有灵敏度高、误报率低的优点。这种探测器采用复杂的互相关方法来确保仅在探测到火灾事件(而不是正常的环境变化)时报警。

6.2 启动时间

6.2.1 计算原则
    本条规定了火灾自动报警系统、防排烟控制系统和自动灭火系统启动时间的计算原则。
    启动时间是指传感器做出响应到灭火系统、防排烟系统或报警系统完全动作所需的时间。启动时间由以下两部分构成:探测后可能产生的延迟时间和装置的实际启动时间。
    在计算灭火介质传输系统(灭火系统)的启动时间时,应考虑喷头流量与压力的关系,以此判断在假定的介质供给能力下,喷头处的介质流速能否满足要求。计算中还应包含介质在管道系统内传输导致的时间延迟。
6.2.2 探测系统对联动设备的启动
6.2.2.1 启动原理

    探测系统的启动时间包括从单个探测器产生响应到整个系统最后输出报警信号以及联动其他类型的安全装置所需的时间。报警控制器采用固定或可编程逻辑,按一定频率对产生连续电信号的探测器进行监控,只有当控制逻辑规定的启动条件(比如在火灾事件和非火灾环境条件之间设定一个阈值)得到满足时,报警控制器才发出报警和联动动作,单个探测器产生的特定响应不会导致如此结果。需要注意的是,如果系统内探测器数量众多,那么从其中任一探测器获得电信号的过程都会产生相当长的时间延迟。不论是简单的独立式探测报警器还是复杂的火灾自动报警系统,其启动时间都包括各类可能发生的延迟和内置的固定或可变延迟,手动操作也能造成延迟时间的改变。
6.2.2.2 需考虑的因素
    集中控制型火灾探测报警系统启动条件的设置应包含对非火灾事件历史记录和环境条件的分析,以合理确定系统的报警阈值。无论使用固定逻辑模拟线路或可变逻辑数字线路来完成这一分析,系统的可靠性都是需要重点考虑的因素。
6.2.2.3 固定逻辑组合探测报警系统响应时间的计算
    探测报警系统中,安装在不同部位的组合探测器如果按与门逻辑关系报警联动其他设备,其启动时间为两个探测器的响应时间间隔。通常,两个探测器应分属不同防火分区,从而降低联动输出信号受到误报警的影响。
6.2.2.4 可编程逻辑组合探测报警系统响应时间的计算
    建筑物内安装的火灾自动报警系统需要处理来自大量不同种类探测器的信息,因此很有必要通过报警设备生产厂家了解在最不利条件下,任意一个火灾探测器的探测响应与报警控制器发出报警信息和联动输入信号之间的延迟时间。系统或网络的可靠性是具体工程设计需要考虑的重要参数。
6.2.2.5 输入
    输入信息包括:
    ——设备制造商提供的报警延迟时间;
    ——系统内置的联动逻辑设计;
    ——建筑火灾自动报警系统应用软件的输入参数。
6.2.2.6 输出
    输出信息为探测系统从接收到探测器的报警信号到启动联动设备所需的时间,或者能否启动联动设备。
6.2.3 声光报警设备的选择和启动
6.2.3.1 需考虑的因素

    声光报警设备的选择应与设计目标一致。报警延迟可能由于报警系统的信号传输时间和系统固有的延迟时间造成,探测本身产生的延迟可能不是主要因素。
6.2.3.2 以生命安全为目标
    以保护人员生命安全为目标的火灾报警器应确使建筑物内任意位置的人员都能清晰地接收到声音或语音警报,并应确使人员能够区分火灾警报和建筑物内可能使用的其他声音警报。在噪音环境中,或者人员存在听力障碍时,应采用视觉信号作为声音报警信号的补充,从而缩短人员的反应时间。
    在指定警报器位置和输出音量时,应注意避免在相对较小的空间内出现高分贝警报声(如在走廊中达到110dB),因为这会降低人员在疏散时的判断力。
6.2.3.3 以财产保护为目标
    以保护财产安全为目标的火灾报警器是为及时获得专业消防力量的灭火救援服务而设置的。建筑物内报警器的数量、特性和位置应能使受过专业训练的消防队伍及时赶到现场进行处置。工作人员应接受过对报警信号的识别训练,尽可能缩短报警时间。在火灾显示盘上以文本或图表方式显示火灾位置或区域信息可以显著缩短人员主动灭火行为的延迟时间,有效提高专业消防力量的利用率和灭火效率。
6.2.4 灭火系统的启动
6.2.4.1 启动时间计算方法

    灭火系统的启动时间是指探测系统做出响应到灭火系统启动前的时间。影响灭火系统启动时间的因素包括灭火介质的供给压力、灭火介质传输管网的阻力特性、灭火介质的特性。
    计算灭火系统启动时间的方法如下:
    a)湿式系统:湿式系统管道内已充水且加压,系统一旦探测到火灾就完全动作。因此,只要系统能够为最不利位置的洒水喷头提供水流,那么启动时间就可忽略;
    b)干式系统:启动时间等于排出系统管网内空气所需的最长时间,也就是灭火介质从控制阀到达系统最远点喷洒口的时间;
    c)雨淋(如水喷雾系统)和预作用系统:启动时间等于排出系统管网内空气所需的时间,也就是介质到达系统最远点喷洒口的时间;
    d)气体灭火系统:启动时间是指被保护区域内灭火气体浓度达到设计要求所需的时间。该时间可以根据储瓶压力和传输系统(管道和管口)的设计指标计算;
    e)泡沫和湿式化学灭火系统:启动时间等于从打开系统控制阀到灭火介质充满至系统最远点喷洒口所需的时间(在这过程中要排出系统管网内的多余空气),再加上泡沫或湿式化学介质达到灭火浓度所需的时间。泡沫系统应合理设计,确保在最小启动时间内达到需要的介质流速;
    f)干粉灭火系统:启动时间等于干粉从储罐中流出,并充满至系统最远点喷洒口所需的时间(在此过程中要排出系统管网内的多余空气)。该时间可以根据干粉储罐的动作压力和系统的管网设计参数来计算;
    g)气溶胶干粉灭火系统:启动时间可以忽略。
6.2.4.2 输入
    输入信息包括:
    ——建筑参数(包括管口性能规格、管道流量特性和灭火介质性质);
    ——介质在喷洒口的流动速率。
6.2.4.3 输出
    输出信息为灭火系统从接收火灾探测信号到灭火介质在喷洒口的流速达到设计指标所需的时间。
6.2.5 防排烟系统的启动
6.2.5.1 启动时间的计算方法

    防排烟系统通过启闭排烟阀以及建筑物内其他烟气流动控制装置,实现火灾条件下的烟气控制,从而达到保护建筑物及人员安全的目的。
    设计流量或阻力条件下防排烟系统启动时间的计算方法:
    a)百叶排烟口:启动时间可忽略;
    b)排烟口:启动时间是指从探测到系统达到设计风量的时间;
    c)机械排烟系统:启动时间是指从探测到系统达到设计风量的时间;
    d)防烟门:启动时间是指从探测到关闭的时间;
    e)排烟防火阀:启动时间是指从探测到阀门动作的时间。
6.2.5.2 输入
    输入信息包括:
    ——建筑参数(包括防排烟系统设备和位置的详细描述);
    ——机械排烟系统的系统特性(启动类型和固定的启动时间)。
6.2.5.3 输出
    输出信息为防排烟系统从接收火灾探测信号到系统启动,直至达到规定的性能指标,并实现对烟气的有效控制所需的时间。
6.2.6 热控制系统的启动
6.2.6.1 启动时间的计算方法

    热控制系统通过启闭特定空间内的热控制设备,实现火灾条件下以财产保护为目标的温度控制。
    设计风量或阻力条件下系统启动时间的计算方法如下:
    a)热通风口:启动时间是指从探测到系统达到设计风量的时间;
    b)百叶排烟口:启动时间可忽略;
    c)热控门和热控阀:启动时间是指从探测到系统动作的时间。
6.2.6.2 输入
    输入信息包括:
    ——建筑参数(包括热控系统硬件和位置的详细描述);
    ——设备制造商给出的系统特性(启动类型和固定的启动时间)。
6.2.6.3 输出
    输出信息为热控制系统从接受火灾探测信号到系统启动,直至达到规定的性能指标,并实现对热量的有效控制所需的时间。
6.2.7 安全控制阀、介质流动报警和控制模块的启动
6.2.7.1 启动时间的计算需考虑的因素如下:
    a)安全控制阀的启闭可在火灾条件下控制对特定空间内灭火介质的供应;
    b)介质流动报警器可在灭火系统启动时提供灭火系统之外的报警方式;
    c)联动系统中应包含各类控制模块,一旦发生火灾时可开门使人员疏散,关闭空调系统防止烟气蔓延,切断电器设备电源防止引燃临近可燃物;
    d)各种类型安全装置的启动时间都是指从探测器响应到安全装置打开或关闭的时间。
6.2.7.2 输入信息包括:
    ——建筑参数(包括热控系统设备和位置的详细描述);
    ——产品规定的系统特性(启动类型以及固定的启动时间)。
6.2.7.3 输出信息为从实现对火灾的探测到各种安全装置启动所需的时间。

6.3 灭火系统的性能

6.3.1 评估内容
    灭火系统的设计目标是在火灾发展的某一特定阶段,通过限制火灾中热和烟的释放速率或限制热和烟的总生成量实现对火灾的可靠抑制。灭火系统性能的评估基于火灾损失统计、全尺寸火灾测试相关数据、测试(全尺寸、中尺寸或小型)数据的工程解释以及有效的数学模型分析结果。系统的长期可靠性也是重要的评估内容。
6.3.2 水喷淋系统
6.3.2.1 评估需考虑的因素

    水喷淋系统的灭火效能来源于以下物理过程:
    a)喷洒水滴的吸热效果;
    b)喷洒形成的水蒸气产生的气相惰化效果;
    c)喷洒产生的动能对燃烧产物的推力效果。
    上述物理现象随着系统的启动而出现,通常会降低火灾热释放速率或减小燃烧范围。即使水喷淋系统不能有效地抑制火灾增长,由于水滴的直接穿透作用,也能起到有效的降温和表面冷却效果。水喷淋系统的灭火机理见附录C。
6.3.2.2 自动喷水灭火系统
6.3.2.2.1 喷头的选型

    自动喷水灭火系统通常能够控制火灾的蔓延和热释放速率的增长,消防员可用消火栓配合自动喷水灭火系统来扑灭火灾。自动喷头模型有数千种,通常分为控制型和抑制型两类。选择喷头类型需考虑如下参数:
    a)建筑或燃料(建筑参数和火灾荷载);
    b)可用水源(压力、流量、容积);
    c)自动联接或消防队支持;
    d)设计或使用技能;
    e)维护保养。
6.3.2.2.2 控制型喷头
    控制型喷头通过对燃烧区域内的燃料进行“预浸湿”来控制火灾增长,使得火灾被控制在一个有限区域内。系统设计过程中,通常需要假设火灾的热释放速率(HRR)和燃料量被自动喷水灭火系统限制在距离火源最远处的喷头启动时达到的水平以下,同时假设HRR在喷淋动作之后直到燃料耗尽之前为一常数。如果按照设计火焰高度和喷头安装高度进行的实体火灾试验结果表明,自动喷水灭火系统能够将火灾扑灭,那么可以假设喷头动作后HRR持续下降。
    需要注意的是,如果自动喷水灭火系统设置场所危险等级不符合GB 50084的规定(比如储物的化学成分较为特殊,储物以上的净空高度较大,喷头安装位置较低等),控制型喷头对HRR的限制假设就不成立。较大的净空高度和较低的喷头安装位置可能导致自动喷水灭火系统动作时,火灾规模和热释放速率已上升到自动喷水灭火系统无法控制的程度。
6.3.2.2.3 抑制型喷头
    抑制型喷头(如ESFR喷头)能使喷洒的水滴穿透火焰直接喷射到燃料表面。抑制性喷头实现有效灭火的关键是在喷头动作时,系统的实际喷水强度(ADD)大于设计喷水强度(RDD)。
6.3.2.3 细水雾灭火系统
    细水雾灭火系统通过喷洒直径为50μm~1000μm的水滴来消除有焰燃烧。细水雾的特点是能够充分降低水流速率和总流量,对于某些应用对象(如可燃液体池火),细水雾可能比自动喷水灭火系统更有效,但其应用范围和局限性还有待研究。细水雾系统比自动喷水灭火系统更为复杂,通常需要划分保护分区,并在分区内使用多个细水雾喷头实现对空间的全淹没,才能成功灭火。
    细水雾可以很容易扑灭封闭空间内的大型火灾,因为火灾产生的热量使得水雾不断生成大量水蒸气来消灭有焰燃烧。尚未对封闭空间内的温度产生明显影响的小型火灾或在大型开敞空间内的火灾则较难被细水雾系统扑灭,除非火源刚好位于细水雾喷洒范围内。
6.3.2.4 输入
    输入信息包括:
    ——火灾荷载(包括建筑类型);
    ——火灾场景;
    ——火灾和烟气规模;
    ——建筑参数(喷头位置、喷头特性、最大/最小水压)。
6.3.2.5 输出
    输出信息包括:
    ——每个喷头需要的水流速率;
    ——灭火效果(热、烟)。
6.3.3 其他灭火系统
6.3.3.1 惰性气体全淹没灭火系统

    惰性气体灭火系统[如二氧化碳(CO2)、氮气(N2)、氩气(Ar)及其混合物]的灭火时间与设计参数相关。受气体输运管道的尺寸限制,向封闭建筑空间内释放惰性气体通常需要1min~2min甚至更长的时间,确保完全淹没和彻底灭火的时间或许会超过1min。通常在启动报警与介质开始流出之间存在一个时间间隔,人员可以在这个时间间隔内进行疏散。
    惰性气体灭火系统实现成功灭火的关键是在被保护空间内达到并维持灭火所需的设计浓度,实现这一目标需要满足以下条件:
    a)可靠的设计计算;
    b)获得认证的系统零部件(容器,管道,阀门,管口)和灭火介质;
    c)根据国家标准进行安装和调试;
    d)对门、阀门的良好控制,以避免泄露。
    当燃烧过程中包括如下材料时,不能使用惰性气体来灭火:
    a)本身能供给氧的化学物质,如硝酸纤维;
    b)活性金属,如钠、镁、钛和锆;
    c)金属氢化物,如氢化钾。
6.3.3.2 化学活性全淹没气体灭火系统
    化学活性气体灭火介质(比如卤代烷或卤代烃)的灭火原理包括化学抑制效果和冷却效果两方面。这种灭火介质要求达到的浓度应占到房间体积的5%~15%,介质从流出储罐直至达到上述浓度需要10s~20s或许更长的时间来确保充分淹没和灭火。通常在启动报警与介质开始流出之间存在一个时间间隔,人员可以在这个间隔内进行疏散。在受保护空间内喷洒的气体灭火介质很容易漏出,因此需要对受保护空间进行加压防泄漏测试。
    灭火介质流出时间和灭火时间应最大程度地予以缩短,以免介质分解生成有毒产物(比如酸性气体),这就要求在火灾规模还很小的时候就应完成灭火介质的传输和喷洒。经过可靠设计的火灾探测和灭火介质传输系统可以帮助实现这一目标。
6.3.3.3 低倍数泡沫和其他水添加剂灭火系统
6.3.3.3.1 低倍数泡沫和水成膜泡沫(AFFF)灭火系统

    灭火泡沫是从水溶液生成的充气泡沫的统称,密度比可燃液体低,能够在可燃液体表面形成一层有黏性的漂浮物,利用窒息和冷却效果来防止或扑灭火灾。灭火泡沫还可以抑制可燃蒸气的生成,从而有效防止二次燃烧的发生。灭火泡沫还具有黏附在燃料表面的特性,能防止燃料受到临近火灾的影响。
    泡沫可作为许多可燃液体的防火、控火或灭火介质,但不能应用于流动液体火灾或气体火灾。
    AFFF是一种低倍数膨胀性泡沫,能在碳氢液体化合物的表面迅速形成高稳定性的水膜。
6.3.3.3.2 湿粉灭火系统
    灭火系统中使用的湿粉溶液通常为碳酸钾和乙酸钾与水混合形成的一种碱性溶液。将这种溶液应用于可燃液体火灾的扑救,可在燃料表面形成快速伸展的蒸气泡沫,利用窒息和冷却效果来扑灭火灾。
6.3.3.4 中、高倍数泡沫介质灭火系统
    高倍数泡沫能控制和扑灭固体燃料和液体燃料火灾,作为一种流动灭火介质主要在受限空间中应用。中倍数膨胀性泡沫比高倍数膨胀性泡沫有更好的抗风性,所以能够在室外得到应用。
    在适当的发泡条件下,中、高倍数灭火泡沫的膨胀率介于20:1和1000:1之间,能够对受限空间实现全淹没,排出火灾产生的烟气和热量。
    中、高倍数膨胀性泡沫对火灾产生如下影响:
    a)如果生成的泡沫体积足够大,能够防止空气流动至火源处;
    b)泡沫中的水转化为水蒸气,对火焰产生窒息和冷却效果;
    c)因为具有相对较低的表面张力,泡沫中未转化为蒸气的溶液可渗透至固体燃料内部;
    d)当泡沫聚集到一定厚度后,能形成绝缘层对暴露在外的材料和结构进行保护,同时还能防止火灾蔓延;
    e)当泡沫完全覆盖了火焰和燃烧材料后,固体燃料火灾能得到有效控制。如果泡沫足够湿润并能维持较长时间,就能扑灭火灾;
    f)对于高闪点可燃液体火灾,当可燃液体表面温度降低至闪点以下时实现灭火;对于低闪点可燃液体火灾,当液体表面上的泡沫覆盖物达到一定厚度时实现灭火。
6.3.3.5 气溶胶灭火系统
    气溶胶灭火系统是将固体或液体灭火介质转化为粒径低于微米的粉状气溶胶、细小液滴或雾状气溶胶,释放后在较短时间内就能实现完全蒸发,特别是在靠近火焰的位置或在火焰内部,蒸发速度更快,从而在火灾全面增长之前达到其灭火浓度。
6.3.3.6 输入
    输入信息包括:
    ——火灾荷载(包括建筑类型);
    ——火灾场景;
    ——火灾或烟气规模;
    ——建筑参数(介质分配装置的位置、特性,介质的灭火特性);
    ——灭火系统设计的相关准则。
6.3.3.7 输出
    输出信息包括:
    ——每个喷头所需的介质流动速率;
    ——灭火效果(热、烟)。
6.3.4 烟/热控制与灭火系统间的相互影响
6.3.4.1 水喷淋系统与防排烟系统的相互影响

    水喷淋系统与防排烟系统间通常存在以下三种相互影响:
    a)排烟对喷淋启动的影响——当利用热烟气层的浮力来排除燃烧产物时,通常使用风幕或挡烟垂璧将顶棚划分为多个防烟分区,然后通过自动或手动开启的顶棚排烟口进行排烟。挡烟垂壁能从顶棚下降500mm或更多,因此选择喷头安装位置时应注意相互影响。风幕或挡烟垂壁能够影响控制型或抑制型喷头的开启,还可破坏抑制型喷头(ESFR)的布水效果,特别是当火源直接位于挡烟垂壁下方或两个挡烟垂壁的交叉处下方时,这种影响更为明显。由此可能导致过量的喷头随着火灾增长而动作,从而使管网压力降低到可接受的水平之下,并增加了大量的水渍损失。当喷头安装在机械排烟口附近时也会出现类似的情况;
    b)排烟口对喷淋效果的影响——在喷淋控制或灭火过程中,如果排烟口自动开启,新鲜空气就可能被引入到封闭空间内。火灾试验结果表明,喷淋系统动作后,排烟口的开启将导致喷头动作数量的增加,从而提高了系统的供水需求。在需要使用防排烟系统的场所,为避免降低喷淋系统的灭火效能,可采用手动方式开启排烟口;如使用自动排烟口,可在喷淋启动和排烟口自动开启之间设定一个时间延迟。另一方面,在喷淋动作之前很早就自动开启排烟口,能够改善能见度,为人工灭火创造良好的条件,如果人工灭火成功,就能减少喷头的启动数量;
    c)喷淋对排烟系统效果的影响——距离火源一定范围内的喷头与缓慢移动的顶棚射流相互作用,喷头被淹没在不断变厚的热烟气层内。大多数情况下,喷淋系统对热烟气层的冷却作用降低了烟层的浮力。自然排烟系统主要依靠热烟气层的浮力来排除烟气,如果低估了喷淋系统的冷却作用,排烟系统的效能就达不到设计水平。另一方面,如果高估了喷淋系统的冷却作用,使得烟气层的体积超过了期望值,那么具有固定排烟量的机械排烟系统同样达不到设计效能。如果烟气层温度相对较低,或者喷淋系统处于较高的喷洒速率条件下,烟气可能下沉至热空气层之下,使得能见度降低。
6.3.4.2 全淹没灭火介质与防排烟系统间的相互影响
    依靠全淹没效果的灭火系统,比如水雾系统和不同的气体灭火介质(比如二氧化碳)通常不能与排烟系统一起使用,除非通过试验或计算确认排烟系统不会影响灭火系统的效果。通常,需要提供额外的灭火介质来抵消排烟系统对介质产生的损耗。受到气体介质保护的房间或区域,灭火系统的启动应优先于防排烟系统的启动。

7 工程评估方法

7.1 一般规定
7.2 经验公式
7.3 计算机模型
7.4 试验

7.1 一般规定

    本部分采用的工程方法包括:经验公式、计算机模型、实验方法。

7.2 经验公式

    经验公式(或手工计算)通常是对物理现象进行高度简化后分析得出的公式,或者是根据实验或实验数据得出的经验关系式。通过经验公式可以近似地预测以下内容:
    a)一个特定的火灾场景中感烟探测器的启动时间;
    b)感温探测器或第一个喷头动作时的火灾规模。
    只有在正确的参数范围内和对相关物理过程详细了解的情况下,通过经验公式才能得到正确的结果。

7.3 计算机模型

7.3.1 原理
    对于探测和灭火过程中复杂而又相互影响的工作机理,可采用近似模拟真实物理或化学现象的多组微分方程作为计算机模型,通过计算机软件进行数值模拟,获得更为精确的分析结果。
7.3.2 区域模型
    区域模型采用一组简化的微分方程对人为划分并经过试验验证的流体区域(如烟羽流、顶棚热烟层、从封闭区域开口处的流出物等)进行模拟分析。在典型的两层分区模型中,通常假设顶棚热烟层分布均匀,这导致对热烟层平均流动特性的计算不能精确反映顶棚处探测器和灭火装置的实际情况。为了纠正该模型的这一缺点,需要引入一个顶棚射流区域,通过使用适当的极限值和探测响应参数(见6.1)来预测探测器或灭火装置的动作时间。
    目前,由于经验数据间的相关性仍然在研究过程中,使用区域模型来处理火灾与灭火系统间的关系还有困难。使用区域模型时一般将喷淋与火灾之间的相互影响限定于某一范围内,或者只考虑喷淋作用下火灾燃烧速率的变化,或者只考虑喷淋对流场的影响或流场对喷淋的影响。
7.3.3 场模型
    场模型使用计算流体力学(CFD)方法将分区或房间划分为大量的微元,然后对每个微元采用质量、动量和能量守恒方程进行数值分析。这一技术对计算机内存和处理器速度有较高要求,需要一定技巧来建立场景边界和初始条件。
    场模型已经成功地运用于计算封闭区域内的烟气流动,此类模型可以模拟许多复杂区域在设定温度特性条件下的烟气运动情况。尽管场模型能够模拟出探测器附近的烟气浓度,但并不能获得实际的探测器响应时间。目前,在计算中用到了探测器响应与烟气特性的相互关系,但在运用到探测系统设计时,这些CFD计算结果缺乏详细的实验认可。
    采用CFD和微粒跟踪算法的场模型可用于模拟喷淋与火灾间的相互影响,从而预测ADD和降温作用对火场烟气流动的影响。这一技术要求将喷头状态(最初的水滴量分布以及喷头附近的速度矢量分布)作为计算输入,但由于获取上述喷头参数较为困难,再加上使用场模型需要进行海量的模拟计算,因此这种方法并没有作为常规方法使用,而且除个别案例外,这种方法的计算结果也并未得到可靠证实。

7.4 试验

    如果缺乏其他更有效的评估灭火系统设计性能的工程计算方法,也可采用实体火试验进行评估。试验时应注意以下问题:
    a)采用实体房间火试验来确认灭火系统的性能时,试验规模的设定将影响气体的流动和通风、火焰辐射产生的热传导和流场内化学反应的持续时间,而这些特性参数有助于确定灭火系统的有效性。采用简化的中等规模预实验可获得大量的有效信息,从而最大程度地保证实体房间火实验的成功实施。特别是在评估材料成分变化所产生的影响时,中等尺寸试验为已有的全尺寸试验结果提供了有效的插值;
    b)评估大空间建筑(如仓储场所)内安装的灭火系统时,应在具有足够尺寸的室内空间中进行试验,并确保以下条件得到满足:
      1)实际被保护场所中可能启动的所有灭火装置(比如喷头)都能得到有效启动;
      2)试验空间的空气通风情况能够有效模拟实际被保护场所的情况;
    c)设计点火源和火灾初起场景时应模拟实际保护场所中可能发生的最危险情况,试验目的应判断所建立的火灾蔓延过程能否在燃料大量耗尽之前被灭火系统阻止或限制。

附录A (资料性附录)本部分与ISO/TR 13387-7:1999的章条编号对照情况

    表A.1给出了本部分与ISO/TR 13387-7:1999的章条编号对照一览表。
10-22021G4514G63.jpg
 
10-22021G45301401.jpg
 

附录B (资料性附录)本部分与ISO/TR 13387-7:1999的技术性差异及其原因

    表B.1给出了本部分与ISO/TR 13387-7:1999的技术性差异及其原因。
10-22021G45450S6.jpg
 

附录C (资料性附录)水喷淋的灭火机理

    水喷淋的灭火效果来自于液相吸热(冷却)、气相惰化和液滴动量的共同作用。发生在燃料表面的液相冷却作用效果通常最为明显。减小喷头响应时间指数(RTI)的取值并缩短喷头与火源间的距离,能够有效减少水喷淋系统在火灾初期的响应时间,从而提高灭火效果。
    根据液滴的吸热作用实现控火的工作机理如下:
    a)水滴在火焰中分散和蒸发,达到冷却火焰的效果;
    b)对火源周围未燃烧的燃料进行预浸湿,从而延缓和削弱燃料的热分解过程;
    c)假设水滴能够到达燃料表面,则对燃料表面产生冷却效果并消除自由基,从而干扰燃烧反应顺序。
    一旦形成了水蒸气,随之产生的气相惰化作用能够减弱火焰的辐射热甚至实现灭火,其工作机理如下:
    a)使火焰温度降低到其临界熄灭温度,并通过水蒸气的稀释作用降低氧气浓度;
    b)生成的大量水蒸气阻挡了氧气供应;
    c)水蒸气吸收辐射热并减少烟微粒的生成,从而阻挡并减弱了辐射热。
    如果水通过喷洒方式作用于火灾,液滴动量与燃烧生成气体间的相互作用机理如下:
    a)阻塞羽流上升,减少火焰预混和区域内的空气供应;由于扩散火焰的浮力作用,在火焰预混和区内生成负压,从而对周围新鲜空气形成卷吸效果;
    b)冷却烟气的增加降低了氧气浓度并稀释了进入火焰预混和区域内的空气,水流对燃烧气体也有抑制作用。
    如果水喷淋系统中动作喷头的作用范围包括整个火焰传播区域并能预浸湿未燃烧的燃料,则能实现火源附近燃料的预浸湿效果。此过程非常复杂,与动作喷头的总作用面积以及水流量和燃料的浸湿程度有关,因此难以在细节上对其进行预测。如果已知动作喷头的作用范围超过了设定的未燃烧区域,并且已知扩散火焰的辐射热量,就能计算出吸收这个辐射热量所需的最小水流量。考虑到可燃物的垂直表面未吸收水流,实际计算时应设置一个2以上的安全系数。

附录D (资料性附录)定温探测器响应时间的计算方法

    本附录的内容适用于受热启动的灭火/控制装置内的热敏元件,以及受热启动的火灾探测器中已知参数RTI和C取值(或容易确定其取值)的热敏元件。
    将热敏元件看作与探测器其他部分之间相互绝热的质量元,采用以响应时间指数(RTI)和导热系数(C)表达的简单对流传热方程能够获得热敏元件的瞬时温升速率,求解以下传热微分方程关于时间的积分就能获得热敏元件的响应温度Te
10-22021G50Q3925.jpg

    式(D.1)的其他输入数据包括热敏元件的初始温度(通常是测试过程中的环境空气温度)以及热敏元件附近的环境气体温度和速度随时间变化的分布图。响应时间等于温度计算值达到动作温度所需的时间。
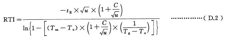
    如要计算探测器在给定安装环境中的响应时间,应首先从探测器的销售方或制造商处获得RTI和参数C在设定条件下的取值。对式(D.1)进行积分计算后,可获得这些参数间的数学关系式(D.2):
10-22021G50U5E7.jpg

    式(D.1)和式(D.2)中:
    RTI——响应时间指数,单位为(m/s)1/2
    tR——探测器的响应时间,单位为秒(s);
    μ——火灾中管道截面或探测器附近的真实气体速度,单位为米每秒(m/s);
    Tea——热敏元件的额定动作温度,单位为开尔文(K);
    Tg——火灾中管道截面或探测器附近的真实气体温度,单位为开尔文(K);
    Tu——测试中的环境气体温度,单位为开尔文(K);
    C——传导系数,单位为(m/s)1/2
    Te——热敏元件的响应温度,单位为开尔文(K)。

1. 本站所有资源来源于用户上传和网络,仅作为演示数据,如有侵权请邮件联系站长!
2. 盗版,破解有损他人权益和违法作为,请各位站长支持正版!
回复

举报

 
高级模式
B Color Image Link Quote Code Smilies

本版积分规则

Archiver|手机版|小黑屋|安全法规网

Powered by Discuz! X3.5© 2001-2025 Discuz! Team.

快速回复 返回顶部 返回列表