前言中华人民共和国国家标准
本标准的4.1、第5章(5.5.12、5.13.3.5 除外)和第7章(7.2.1除外)为强制性,其余为推荐性的。气体灭火系统及部件 Gas fire extinguishing systems and components GB 25972-2010 发布部门:中华人民共和国国家质量监督检验检疫总局 中国国家标准化管理委员会 发布时间:2011年1月10日 实施时间:2011年6月01日 本标准附录D~附录Z(无附录()和附录X)为规范性附录,附录A~附录C为资料性附录。 本标准由中华人民共和国公安部提出。 本标准由全国消防标准化技术委员会固定灭火系统分技术委员会(SAC/TC113/SC2)归口。 本标准负责起草单位:公安部天津消防研究所。 本标准参加起草单位:美国安素公司(北京)、深圳因特安全技术有限公司、南京消防器材股份有限公司、北京美力马消防设备有限公司、广东平安消防设备有限公司、西安核设备有限公司卫士消防设备分公司、上海金盾消防安全设备有限公司、四川威龙消防设备有限公司。 本标准主要起草人:刘连喜、陈泽民、杨震铭、宋波、董海斌、李毅、高云升、李习民、盛彦锋、啜风英、许春元、张国壁、廖平、赵邦戟、冯松、杜增虎、张兆宪、江映标。 1 范围本标准规定了气体灭火系统及构成部件的术语和定义、型号编制方法、要求、试验方法、检验规则、使用说明书编写要求、灭火剂充装要求。本标准适用于七氟丙烷(HFC227ea)灭火系统、三氟甲烷(HFC23)灭火系统、惰性气体灭火系统[包括:IG01(氩气)灭火系统、IG100(氮气)灭火系统、IG55(氩气、氮气)灭火系统、IG541(氩气、氮气、二氧化碳)灭火系统]。 2 规范性引用文件下列文件中的条款通过本标准的引用而成为本标准的条款。凡是注日期的引用文件,其随后所有的修改单(不包括勘误的内容)或修订版均不适用于本标准,然而,鼓励根据本标准达成协议的各方研究是否可使用这些文件的最新版本。凡是不注日期的引用文件,其最新版本适用于本标准。GB 150 钢制压力容器 GB 5099 钢质无缝气瓶(GB 5099-1994,neq ISO 4705:1983) GB 5100 钢质焊接气瓶(GB 5100-1994,neq ISO 4706:1989) GB/T 8979 纯氮、高纯氮和超纯氮 GB/T 9969 工业产品使用说明书总则 GB 18614 七氟丙烷(HFC227ea)灭火剂 GB 20128 惰性气体灭火剂(GB 20128-2006,ISO 14520:2005,NEQ) GA 61 固定灭火系统驱动、控制装置通用技术条件 3 术语和定义下列术语和定义适用于本标准。3.1 系统工作压力 system working pressure 灭火剂瓶组容器阀出口处的压力。 注:灭火剂瓶组上的容器阀若不带减压功能,系统的工作压力即为瓶组的工作压力。 灭火剂瓶组上的容器阀若具有减压功能,系统的工作压力即为经减压后容器阀出口处的压力。 3.2 充装密度 filling density 贮存容器内灭火剂的质量与该容器容积之比,单位为千克每立方米(kg/m3)。 3.3 自压式气体灭火系统 compressed inert gaseous fire extinguishing system 灭火剂瓶组中的灭火剂依靠自身压力进行输送的灭火系统。 3.4 内贮压式气体灭火系统 stored pressure gaseous fire extinguishing system 灭火剂在瓶组内用惰性气体进行加压贮存,系统动作时灭火剂靠瓶组内的充压气体进行输送的灭火系统。 3.5 贮存压力 storage pressure 对于自压式气体灭火系统是指贮存容器内按最大充装密度(或最大充装压力)灌装灭火剂,在+20℃环境中的平衡压力。 对于内贮压式气体灭火系统是指贮存容器内按最大充装密度灌装灭火剂,充压后在+20℃环境中的平衡压力。 对于驱动气体瓶组是指贮存容器内按最大充装压力或充装密度灌装气体,在+20℃环境中的平衡压力。 3.6 最大工作压力 maximum working pressure 对于自压式气体灭火系统是指贮存容器内按最大充装密度(或最大充装压力)灌装灭火剂,置于工作温度范围上限时的平衡压力。 对于内贮压式气体灭火系统是指贮存容器内按最大充装密度灌装灭火剂,充压后置于工作温度范围上限时的平衡压力。 对于驱动气体瓶组是指贮存容器内按最大充装压力或充装密度灌装气体,置于工作温度范围上限时的平衡压力。 3.7 最小工作压力 minimum working pressure 对于自压式气体灭火系统是指贮存容器内按最大充装密度(或最大充装压力)灌装灭火剂,置于工作温度范围下限时的平衡压力。 对于内贮压式气体灭火系统是指贮存容器内按最大充装密度灌装灭火剂,充压后置于工作温度范围下限时的平衡压力。 对于驱动气体瓶组是指贮存容器内按最大充装压力或充装密度灌装气体,置于工作温度范围下限时的平衡压力。 3.8 喷射时间 discharge time 对于七氟丙烷灭火系统、三氟甲烷灭火系统指在+20℃环境条件下,喷嘴开始喷出灭火剂至喷出设计浓度所需灭火剂量95%时的时间。 对于惰性气体灭火系统指达到95%设计浓度所需的时间。 3.9 低泄高封阀 low venting high close valve 安装在系统启动管路上,正常情况下处于开启状态。用来排除由于气源泄漏积聚在启动管路内的气体,只有进口压力达到设定压力时才关闭的阀门。 4 型号编制方法4.1 气体灭火系统型号按下列方式编制:![]() 示例:QMQ4.2/90N,代表内贮压式,灭火剂瓶组容积为90L,贮存压力为4.2MPa的七氟丙烷气体灭火系统。 4.2 部件型号编制方法参见附录A。 5 要求5.1 系统5.1.1 基本要求 5.1.2 系统构成 5.1.3 外观 5.1.4 系统准工作状态 5.1.5 启动运行要求 5.2 灭火剂瓶组 5.3 驱动气体瓶组 5.5 容器阀 5.4 容器 5.6 喷嘴 5.7 选择阀 5.8 单向阀 5.9 集流管 5.10 连接管 5.11 安全泄放装置 5.12 驱动装置 5.13 控制盘 5.14 检漏装置 5.14.1 称重装置 5.14.2 压力显示器 5.14.3 液位测量装置 5.15 信号反馈装置 5.16 减压装置 5.17 低泄高封阀 5.18 管路、管件 5.19 吊钩、支架 5.1 系统5.1.1 基本要求5.1.2 系统构成 5.1.3 外观 5.1.4 系统准工作状态 5.1.5 启动运行要求 5.1.1 基本要求5.1.1.1 工作温度范围系统的工作温度范围应符合下列要求: a)七氟丙烷灭火系统:0℃~+50℃; b)三氟甲烷灭火系统:-20℃~+50℃; c)惰性气体灭火系统:0℃~+50℃。 5.1.1.2 充装密度、充装压力 系统最大充装密度、充装压力应符合下列要求: a)内贮压式七氟丙烷灭火系统最大充装密度: ——2.5MPa贮存压力时为1120kg/m³; ——4.2MPa贮存压力时(焊接结构贮存容器)为950kg/m³; ——4.2MPa贮存压力时(无缝结构贮存容器)为1120kg/m³; ——5.6MPa贮存压力时为1080kg/m³。 b)三氟甲烷灭火系统最大充装密度:760kg/m³。 c)惰性气体灭火系统最大充装压力为表1规定的贮存压力。 表1 系统工作压力
5.1.1.3 系统喷射时间单位为兆帕 ![]() 灭火系统的最大喷射时间为: a)七氟丙烷灭火系统:10s; b)三氟甲烷灭火系统:10s; c)惰性气体灭火系统:60s。 5.1.2 系统构成5.1.2.1 内贮压式七氟丙烷灭火系统、三氟甲烷灭火系统至少应由灭火剂瓶组、驱动气体瓶组、单向阀、选择阀(适用于组合分配系统)、驱动装置、集流管、连接管、喷嘴、信号反馈装置、安全泄放装置、控制盘、检漏装置、低泄高封阀(适用于具有驱动气体瓶组的系统)、管路管件等部件构成。5.1.2.2 惰性气体灭火系统至少应由灭火剂瓶组、驱动气体瓶组(不适用于直接驱动灭火剂瓶组的系统)、单向阀、选择阀(适用于组合分配系统)、减压装置、驱动装置、集流管、连接管、喷嘴、信号反馈装置、安全泄放装置、控制盘、检漏装置、低泄高封阀(适用于具有驱动气体瓶组的系统)、管路管件等部件构成。 5.1.2.3 同一系统各部件应固定牢固、连接可靠,部件安装位置正确,整体布局合理,便于操作、检查和维修。 5.1.2.4 系统中相同功能部件的规格应一致(选择阀、喷嘴除外),各灭火剂贮存容器的容积、充装密度或充装压力应一致。 5.1.3 外观5.1.3.1 系统各构成部件应无明显加工缺陷或机械损伤,部件外表面应进行防腐处理,防腐涂层、镀层应完整、均匀。5.1.3.2 在灭火剂贮存容器上应标注灭火剂的名称,字迹应明显、清晰。在驱动气体贮存容器上应标注充装气体的名称。 5.1.3.3 系统每个手动操作部位均应以文字、图形符号标明操作方法。 5.1.3.4 系统铭牌应牢固地设置在系统明显部位,注明:系统名称、型号规格、执行标准代号、灭火剂充装总质量、工作温度范围、生产单位、产品编号、出厂日期等内容。 5.1.3.5 系统警示标志应牢固地设置在系统明显部位,对于惰性气体灭火系统警示标志的内容为“本系统动作时喷嘴会喷放出高压气体”;对于七氟丙烷灭火系统、三氟甲烷灭火系统警示标志的内容为“本系统灭火时会分解产生一定量的氟化氢气体”,警示标志的内容应在一般光线条件下距标志3m处清晰可读。 5.1.4 系统准工作状态系统各操作部件的工作位置、控制盘的控制、监视功能均应处于正常准工作状态;各瓶组的检漏装置应处于正常工作状态,瓶组内介质的充装质量(充装压力)应与瓶组上的标称值一致。5.1.5 启动运行要求5.1.5.1 启动方式5.1.5.1.1 系统应具有自动启动、手动启动和机械应急启动功能。 5.1.5.1.2 手动启动和机械应急启动应有防止误动作的有效措施,并用文字或图形符号标明操作方法。 5.1.5.2 延时启动功能 系统的自动启动应具有延迟启动功能,延迟时间可在0s~30s范围内连续可调,分档可调时每档间隔不应大10s。延迟时间设定误差应不大于设定时间的20%。 5.1.5.3 组合分配系统的动作程序 组合分配系统的动作程序应在选择阀开启后或同时打开容器阀。 5.1.5.4 启动运行 5.1.5.4.1 系统采用不同方式启动,其动作应准确、可靠、无故障。 5.1.5.4.2 系统的喷射时间应符合5.1.1.3要求,延迟启动时间应符合5.1.5.2的要求。 5.1.5.4.3 灭火剂喷射过程中和喷射后的显示、报警及输出端子动作情况应符合5.13要求。 5.2 灭火剂瓶组5.2.1 灭火剂瓶组组成灭火剂瓶组应至少由灭火剂及容器、容器阀、安全泄放装置、灭火剂取样口、检漏装置等组成。 5.2.2 工作压力 灭火剂瓶组的工作压力应符合表1的规定。 5.2.3 充装密度、充装压力 灭火剂瓶组中灭火剂充装密度、充装压力应符合5.1.1.2规定。 5.2.4 密封要求 按6.4.2规定的方法进行气密性试验,灭火剂瓶组应无气泡泄漏。 试验压力为系统最大工作压力,压力保持时间为5min。 5.2.5 强度要求 按6.3规定的方法进行液压强度试验,灭火剂瓶组不应出现渗漏现象。 试验压力为1.5倍系统最大工作压力,压力保持时间为5min。 5.2.6 抗震要求 按6.12.1规定的方法进行振动试验,灭火剂瓶组任何部件不应产生松动、脱落和结构损坏,七氟丙烷、三氟甲烷灭火剂的净重损失量不应大于灭火剂充装量的0.125%,惰性气体灭火剂的净重损失量不应大于灭火剂充装量的0.25%。试验后自动启动容器阀,不应出现任何故障。 5.2.7 温度循环泄漏要求 按6.13规定的方法进行温度循环泄漏试验,七氟丙烷、三氟甲烷灭火剂的净重损失量不应大于灭火剂充装量的0.125%,惰性气体灭火剂的净重损失量不应大于灭火剂充装量的0.25%。试验后自动启动容器阀,不应出现任何故障。 5.2.8 耐倾倒冲击要求 按6.14规定的方法进行耐倾倒冲击试验,灭火剂瓶组零件不应松动、脱落或损坏。试验后灭火剂瓶组的气密性应符合5.2.4的规定,自动和手动启动容器阀应能正常开启。 5.2.9 虹吸管 具有虹吸管的灭火剂瓶组,虹吸管的材料应采用能抗灭火剂腐蚀的金属材料制造。 5.2.10 误喷射防护装置 灭火剂瓶组的容器阀出口应有防止在运输、装卸、储存过程中灭火剂误喷放的防护装置,防护装置上的开孔应使灭火剂均匀喷放而不产生过大的反冲力,且不应被冲出。 5.2.11 气体取样要求 灭火剂瓶组(容器或容器阀上)应设有灭火剂取样口,且应在不打开容器阀或不完全打开容器阀(灭火剂取样结束后仍能关闭)的条件下,能抽取瓶组内的灭火剂。 5.2.12 灭火剂释放时间 灭火剂瓶组在最大充装密度或充装压力下,灭火剂从容器阀喷出的时间不应大于5.1.1.3规定的系统喷射时间的80%。 5.2.13 灭火剂和充压气体要求 七氟丙烷灭火剂应符合GB 18614的要求。 惰性气体灭火剂应符合GB 20128的要求。 其他灭火剂应为国务院公安部门消防机构公布的产品。 充压气体应采用纯氮且应符合GB/T 8979的要求。 5.2.14 标志 在灭火剂瓶组的明显部位应永久性标出:灭火剂名称、工作压力、充装量、充装压力、充装日期、生产单位或商标等。 5.3 驱动气体瓶组5.3.1 驱动气体瓶组组成驱动气体瓶组应至少由充装的气体及贮存容器、容器阀、安全泄放装置等组成。 5.3.2 工作压力 驱动气体瓶组的工作压力应与瓶组上的标称值一致。 5.3.3 充装压力 驱动气体瓶组的充装压力应与瓶组上的标称值一致。 5.3.4 密封要求 按6.4.2规定的方法进行气密性试验,驱动气体瓶组应无气泡泄漏。 试验压力为驱动气体瓶组的最大工作压力,压力保持时间为5min。 5.3.5 强度要求 按6.3规定的方法进行液压强度试验,驱动气体瓶组不应出现渗漏现象。 试验压力为1.5倍驱动气体瓶组的最大工作压力,压力保持时间为5min。 5.3.6 抗震要求 按6.12.1规定的方法进行振动试验,驱动气体瓶组任何部件不应产生结构损坏,驱动气体瓶组内气体的净重损失量不应大于气体充装量的0.25%,试验后自动启动容器阀,不应出现任何故障。 5.3.7 温度循环泄漏要求 按6.13规定的方法进行温度循环泄漏试验,驱动气体瓶组内气体的净重损失量不应大于气体充装量的0.25%,试验后自动启动容器阀,不应出现任何故障。 5.3.8 耐倾倒冲击要求 按6.14规定的方法进行耐倾倒冲击试验,驱动气体瓶组零件不应损坏。试验后驱动气体瓶组的气密性应符合5.3.4 的规定,自动和手动启动容器阀应能正常开启。 5.3.9 误喷射防护装置 误喷放防护装置的性能应符合5.2.10的要求。 5.3.10 标志 在驱动气体瓶组的明显部位应永久性标出:气体名称、工作压力、充装压力、充装日期、生产单位或商标等。 5.3.11 充压气体要求 充压气体应采用纯氮且应符合GB/T 8979的要求。 5.5 容器阀5.5.1 标志在容器阀明显部位应永久性标出:生产单位或商标、型号规格、工作压力。 5.5.2 材料 容器阀体及其内部机械零件应采用奥氏体不锈钢、铜合金制造,也可以用强度、耐腐蚀性能不低于上述材质的其他金属材料制造。 5.5.3 工作压力 贮存灭火剂容器上的容器阀的公称工作压力不应小于灭火剂瓶组的最大工作压力;驱动气体贮存容器的容器阀公称工作压力不应小于驱动气体瓶组的最大工作压力。 5.5.4 强度要求 按6.3规定的方法进行液压强度试验,容器阀及其附件不应渗漏、变形或损坏。 试验压力为1.5倍瓶组的最大工作压力,压力保持时间为5min。 5.5.5 密封要求 按6.4.3规定的方法进行气密性试验,容器阀在关闭状态下应无气泡泄漏;容器阀在开启状态下各连接密封部位的气泡泄漏量不应超过每分钟20个。 试验压力为瓶组的最大工作压力,压力保持时间为5min。 5.5.6 超压要求 按6.5.2规定的方法进行液压超压试验,容器阀及其附件不应有破裂现象。 试验压力为3倍瓶组的最大工作压力,压力保持时间为5min。 5.5.7 最大和最小工作压力下动作要求 按6.7规定的方法进行最大和最小工作压力下动作试验,容器阀的动作应准确、可靠,并完全开启。 5.5.8 工作可靠性要求 按6.6.1规定的方法进行工作可靠性试验,容器阀及其辅助的控制驱动装置应动作灵活、可靠,不应出现任何故障或结构损坏(正常工作时允许损坏的零件除外,但这些零件不应与阀体脱离和从出口喷出),试验后容器阀的密封性能应符合5.5.5的规定。 5.5.9 局部阻力损失 七氟丙烷灭火系统、三氟甲烷灭火系统容器阀的局部阻力损失(包括虹吸管、容器阀及连接管接头的局部阻力损失)采用与其相连接的管路等效长度来表示。按6.8.1规定的试验方法测得的容器阀等效长度值与生产单位使用说明书上的公布值相比,其差值不应超过使用说明书上的公布值的10%。 惰性气体灭火系统容器阀的局部阻力损失(包括容器阀及连接管接头的局部阻力损失)采用压力损失曲线表示。按6.8.2规定的试验方法测得的压力损失曲线与生产单位使用说明书上的公布值相比,其差值不应超过使用说明书上的公布值的10%。 5.5.10 耐腐蚀性能 5.5.10.1 耐盐雾腐蚀性能 按6.9规定的方法进行盐雾腐蚀试验,容器阀及其附件不应有明显的腐蚀损坏。试验后容器阀的密封性能应符合5.5.5的规定,工作可靠性按6.6.1的规定试验时,应能准确、可靠地开启。 5.5.10.2 耐应力腐蚀性能 按6.11规定的方法进行应力腐蚀试验,容器阀及其附件不应有裂纹、损坏。试验后容器阀的强度应符合5.5.4的规定。 5.5.10.3 耐二氧化硫腐蚀性能 按6.10规定的方法进行二氧化硫腐蚀试验,容器阀及其附件不应有明显的腐蚀损坏。试验后容器阀的密封性能应符合5.5.5的规定,工作可靠性按6.6.1的规定试验时,应能准确、可靠地开启。 5.5.11 手动操作要求 容器阀应具有机械应急启动功能,按6.16规定的方法进行应急启动手动操作试验,应符合下列要求: a)手动操作力不应大于150N; b)指拉操作力不应大于50N; c)指推操作力不应大于10N; d)所有手动操作位移均不应大于300mm; e)旋转开启的容器阀其操作力矩不应大于10N·m,旋转角度不应大于270º。 5.5.12 结构要求 装设压力显示器的容器阀,压力显示器安装口处宜设单向针阀。 5.6 喷嘴5.6.1 标志在喷嘴明显部位应永久性标出:生产单位或商标、喷嘴型号、代号或等效单孔直径。 5.6.2 结构、尺寸 5.6.2.1 七氟丙烷灭火系统、三氟甲烷灭火系统用喷嘴代号、等效孔口尺寸应符合表2的规定。 5.6.2.2 喷孔横截面积小于7mm2的喷嘴应安装过滤网,网孔边长不应大于喷孔直径的60%,过滤网总面积应大于喷孔横截面积的10倍。 表2 喷嘴代号及等效孔口尺寸
5.6.2.3 防止喷孔被外界物质堵塞用的保护帽,按6.40规定的方法进行试验时,保护帽应在0.01MPa~0.3MPa压力范围内与喷嘴脱离,且不应影响喷嘴正常喷射并对人员不造成损伤。单位为毫米 ![]() 5.6.3 材料 喷嘴各部件均应采用耐腐蚀的材料制造,并应符合本标准要求的机械强度和耐温度性能。 5.6.4 流量特性 按6.17规定的方法进行试验,喷嘴在不同喷射压力下单位孔口面积质量流量与对应代号标准喷嘴的流量特性相比,其差值不应超过10%。 5.6.5 耐热和耐压要求 按6.18规定的方法进行耐热和耐压试验,喷嘴不应有变形、裂纹或损坏。试验压力为系统最大工作压力。当系统安装减压装置时,试验压力为减压装置后最大压力。 5.6.6 耐热和耐冷击要求 七氟丙烷、三氟甲烷喷嘴按6.19规定的方法进行耐热和耐冷击试验,喷嘴不应有变形、裂纹或损坏。 惰性气体灭火系统喷嘴无此项要求。 5.6.7 耐冲击性能 按6.21规定的方法进行机械冲击试验,喷嘴不应有变形、裂纹或损坏。 5.6.8 耐腐蚀性能 5.6.8.1 耐盐雾腐蚀性能 按6.9规定的方法进行喷嘴盐雾腐蚀试验,喷嘴不应有明显的腐蚀损坏。试验后喷嘴耐热和耐冷击性能应符合5.6.6的规定。 5.6.8.2 耐应力腐蚀性能 按6.11规定的方法进行喷嘴应力腐蚀试验,喷嘴不应有裂纹或损坏。试验后喷嘴耐热和耐压性能应符合5.6.5的规定。 5.6.8.3 耐二氧化硫腐蚀性能 按6.10规定的方法进行喷嘴二氧化硫腐蚀试验,喷嘴不应有明显的腐蚀损坏。试验后喷嘴耐热和耐冷击性能应符合5.6.6的规定。 5.6.9 全淹没喷嘴的喷射特性 按6.20规定的方法进行浓度分布试验,全淹没系统用喷嘴在最大安装高度和最小安装高度的试验空间中,均应在喷射结束后30s内达到灭火浓度,并不应引起飞溅。 5.7 选择阀5.7.1 标志在选择阀明显部位应永久性标出:生产单位或商标、型号规格、工作压力、介质流动方向。 5.7.2 材料 选择阀阀体及其内部机械零件应采用奥氏体不锈钢、铜合金制造,也可以用强度、耐腐蚀性能不应低于上述材质的其它金属材料制造。 5.7.3 工作压力 选择阀的公称工作压力不应小于系统的最大工作压力。 5.7.4 强度要求 按6.3规定的方法进行液压强度试验,选择阀及其附件不应渗漏、变形或损坏。 试验压力为1.5倍系统的最大工作压力,压力保持时间为5min。 5.7.5 密封要求 按6.4.3规定的方法进行气密性试验,选择阀在关闭状态下应无气泡泄漏;选择阀在开启状态下各连接密封部位的气泡泄漏量不应超过每分钟20个。 试验压力为系统的最大工作压力,压力保持时间为5min。 5.7.6 工作可靠性要求 按6.6.1规定的方法进行工作可靠性试验,选择阀及其辅助的控制驱动装置应动作灵活、可靠,不应出现任何故障或结构损坏(正常工作时允许损坏的零件除外)。 5.7.7 局部阻力损失 七氟丙烷灭火系统、三氟甲烷灭火系统选择阀的局部阻力损失采用与其相连接的管路等效长度来表示。按6.8.1规定的试验方法测得的选择阀等效长度值与生产单位使用说明书上的公布值相比,其差值不应超过使用说明书上的公布值的10%。 惰性气体灭火系统选择阀的局部阻力损失采用压力损失曲线表示。按6.8.2规定的试验方法测得的压力损失曲线与生产单位使用说明书上的公布值相比,其差值不应超过使用说明书上的公布值的10%。 5.7.8 耐腐蚀性能 5.7.8.1 耐盐雾腐蚀性能 按6.9规定的方法进行盐雾腐蚀试验,选择阀及其附件不应有明显的腐蚀损坏。试验后选择阀的密封性能应符合5.7.5的规定,工作可靠性按6.6.1的规定试验时,应能准确、可靠地开启。 5.7.8.2 耐应力腐蚀性能 按6.11规定的方法进行应力腐蚀试验,选择阀及其附件不应有裂纹、损坏。试验后选择阀的强度应符合5.7.4的规定。 5.7.8.3 耐二氧化硫腐蚀性能 按6.10规定的方法进行二氧化硫腐蚀试验,选择阀及其附件不应有明显的腐蚀损坏。试验后选择阀的密封性能应符合5.7.5的规定,工作可靠性按6.6.1的规定试验时,应能准确、可靠地开启。 5.7.9 手动操作要求 选择阀应有机械应急启动功能,按6.16规定的方法进行应急启动手动操作试验,应符合下列要求: a)手动操作力不应大于150N; b)指拉操作力不应大于50N; c)指推操作力不应大于10N; d)所有手动操作位移均不应大于300mm; e)旋转开启的选择阀其操作力矩不应大于10N·m,旋转角度不应大于270º。 5.8 单向阀5.8.1 标志在单向阀明显部位应永久性标出:生产单位或商标、型号规格、工作压力、介质流动方向。 5.8.2 材料 单向阀及其内部机械零件应采用奥氏体不锈钢、铜合金制造,也可以用强度、耐腐蚀性能不应低于上述材质的其他金属材料制造。 5.8.3 工作压力 单向阀的公称工作压力不小于与其连接的瓶组的最大工作压力。 5.8.4 强度要求 按6.3规定的方法进行液压强度试验,单向阀及其附件不应渗漏、变形或损坏。 试验压力为1.5倍瓶组的最大工作压力,压力保持时间为5min。 单向阀正向和反向强度要求相同。 5.8.5 正向密封要求 按6.4.3规定的方法进行气密性试验,单向阀应无气泡泄漏。试验压力为瓶组的最大工作压力,压力保持时间为5min。 5.8.6 反向密封要求 用于灭火剂流通管路上的单向阀按6.4.3规定的方法进行反向气密性试验,在瓶组的最大工作压力下,气泡泄漏量不应超过每分钟20个。 用于驱动气体控制管路上的单向阀,在最大工作压力下不应产生气泡泄漏。 5.8.7 工作可靠性要求 按6.6.2规定的方法进行工作可靠性试验,单向阀应能承受100次“开启-关闭”动作试验,其开启、关闭动作应灵活、准确,不应出现任何故障或结构损坏。 5.8.8 开启压力要求 按6.22规定的方法进行试验,单向阀的开启压力不应超过生产单位使用说明书上的公布值。 5.8.9 局部阻力损失 七氟丙烷灭火系统、三氟甲烷灭火系统单向阀的局部阻力损失采用与其相连接的管路等效长度来表示。按6.8.1规定的试验方法测得的单向阀等效长度值与生产单位使用说明书上的公布值相比,其差值不应超过使用说明书上的公布值的10%。 惰性气体灭火系统单向阀的局部阻力损失采用压力损失曲线表示。按6.8.2规定的试验方法测得的压力损失曲线与生产单位使用说明书上的公布值相比,其差值不应超过使用说明书上的公布值的10%。 5.8.10 耐腐蚀性能 5.8.10.1 耐盐雾腐蚀性能 按6.9规定的方法进行盐雾腐蚀试验,单向阀及其附件不应有明显的腐蚀损坏。试验后单向阀的反向密封性能应符合5.8.6的规定,其工作可靠性按6.6的规定试验时,应能准确、可靠地动作。 5.8.10.2 耐应力腐蚀性能 按6.11规定的方法进行应力腐蚀试验,单向阀及其附件不应有裂纹、损坏。试验后单向阀的反向密封性能应符合5.8.6的规定,单向阀的强度性能应符合5.8.4的规定。 5.8.10.3 耐二氧化硫腐蚀性能 按6.10规定的方法进行二氧化硫腐蚀试验,单向阀及其附件不应有明显的腐蚀损坏。试验后单向阀的反向密封性能应符合5.8.6的规定,其工作可靠性按6.6的规定试验时,应能准确、可靠地动作。 5.9 集流管5.9.1 材料集流管应采用无缝管制造,材质应具有耐腐蚀性能或将其内外表面做防腐蚀镀层处理。 5.9.2 工作压力 灭火剂流通管路上的集流管的公称工作压力不小于系统的最大工作压力。 5.9.3 强度要求 按6.3规定的方法进行液压强度试验,集流管不应渗漏、变形或损坏。 试验压力为1.5倍系统的最大工作压力,压力保持时间为5min。 5.9.4 密封要求 按6.4.5规定的方法进行气密性试验,集流管应无气泡泄漏。 试验压力为系统的最大工作压力,压力保持时间为5min。 5.9.5 流量要求 按6.41规定的方法进行流量试验,集流管应保证在系统最大喷射时间内喷出汇集的气体,喷放期间集流管不应损坏。 5.10 连接管5.10.1 材料连接管应采用高压软管或采用耐压强度、抗冲击振动能力相当的金属管材。 连接管应选用耐使用介质腐蚀的材料制造。 5.10.2 工作压力 容器阀与集流管间连接管的公称工作压力不小于系统的最大工作压力。控制管路连接管的工作压力应不小于驱动气体瓶组的最大工作压力。 5.10.3 强度要求 按6.3规定的方法进行液压强度试验,连接管不应渗漏、变形或损坏。 试验压力为1.5倍系统的最大工作压力,压力保持时间为5min。 5.10.4 密封要求 按6.4.5规定的方法进行气密性试验,连接管应无气泡泄漏。 试验压力为系统的最大工作压力,压力保持时间为5min。 5.10.5 非金属连接管耐热空气老化性能 按6.24规定的方法进行热空气老化试验,非金属软管不应有裂纹等损坏。试验后非金属软管的强度和密封要求应满足5.10.3和5.10.4的规定。 试验温度+140℃,试验时间为240h。 5.10.6 非金属连接管低温性能 按6.28规定的方法进行低温试验,非金属软管内、外胶层不应出现龟裂或破裂,试验后非金属软管的强度和密封要求应满足5.10.3和5.10.4的规定。 试验温度为系统最低工作温度下,试验时间为24h。 5.11 安全泄放装置5.11.1 泄放动作压力灭火剂瓶组、驱动气体瓶组上应设置安全泄放装置,其泄放动作压力设定值应不小于1.25倍的瓶组最大工作压力,但不大于其强度试验压力的95%。泄放动作压力为设定值的(1±5%)范围内。 组合分配系统集流管上应设置安全泄放装置,其泄放动作压力设定值应不小于1.25倍的系统最大工作压力,但不大于其强度试验压力的95%。泄放动作压力为设定值的(1±5%)范围内。 5.11.2 耐腐蚀性能 5.11.2.1 耐盐雾腐蚀性能 按6.9规定的方法进行盐雾腐蚀试验,安全泄放装置不应有明显的腐蚀损坏。试验后安全泄放装置的泄放压力范围应符合5.11.1的规定。 5.11.2.2 耐应力腐蚀性能 按6.11规定的方法进行应力腐蚀试验,安全泄放装置不应有裂纹、损坏。试验后安全泄放装置的泄放压力范围应符合5.11.1的规定。 5.11.2.3 耐二氧化硫腐蚀性能 按6.10规定的方法进行二氧化硫腐蚀试验,安全泄放装置不应有明显的腐蚀损坏。试验后安全泄放装置的泄放压力范围应符合5.11.1的规定。 5.11.3 耐温度循环性能 按6.13规定的方法进行温度循环试验后,安装在瓶组上的安全泄放装置的泄放压力范围应符合5.11.1的规定。 5.12 驱动装置系统的驱动装置的性能应符合GA 61的规定,其中工作温度范围应符合5.1.1.1的要求。5.13 控制盘5.13.1 电源要求电源应符合以下要求: a)当交流供电电压在187V~242V范围内变动且频率为50Hz±1Hz时,控制盘应能可靠工作; b)控制盘备用电源容量应满足正常监视状态下连续工作24h,其间应保证系统可靠启动; c)主、备用电源均应有工作指示。 5.13.2 报警功能 控制盘应能接收火灾探测器和火警触发器件发来的火警信号,发出声光报警信号。在额定工作电压下,距离控制盘1m处,内部和外部音响器件的声压级(A计权)应分别在65dB(A)和85dB(A)以上,115dB(A)以下。 控制盘应具备自身(包括探测、控制回路)故障报警功能。 5.13.3 控制及显示功能 5.13.3.1 控制盘应有自动、手动启动灭火系统功能,自动状态、手动状态应有明显标志并可相互转换。无论控制盘处于自动或手动状态,手动操作启动应始终有效。 5.13.3.2 控制盘应有延迟启动功能,延迟时间0s~30s连续可调,如采用分档调节时每档间隔应不大于10s。延时状态应有明显的光信号显示。延时期间,应能手动停止后续动作。 5.13.3.3 在控制盘设置“紧急启动”按键时,该键应有避免人员误触及的保护措施,设置“紧急中断”按键时,按键应置于易操作部位。“紧急启动”和“紧急中断”的状态应有明显的光信号显示。 5.13.3.4 控制盘应有灭火系统启动后的灭火剂喷洒情况的反馈信号显示功能。 5.13.3.5 控制盘宜有灭火剂瓶组中灭火剂泄漏报警显示功能。 5.13.3.6 控制盘应提供控制外部设备的接线端子。 5.13.3.7 控制盘应设有保护接地端子。 5.13.3.8 控制盘应具有历史事件记录功能,且应能至少记录999条相关信息,在控制盘断电后能至少保持信息14d。 5.13.4 其他性能 控制盘的运行稳定性、耐气候环境、耐机械环境、抗电干扰、耐电压、绝缘电阻、部件性能等应符合GA 61的要求。 5.13.5 标志 在控制盘明显部位永久性标出:生产单位或商标、产品名称型号、产品编号、出厂日期等内容。 5.14 检漏装置5.14.1 称重装置5.14.2 压力显示器 5.14.3 液位测量装置 5.14.1 称重装置5.14.1.1 报警功能安装在灭火系统中的称重装置应有泄漏上限报警功能,当瓶组内充装介质的泄漏量达到充装质量的5%时,应能可靠报警。光报警信号应为黄色,在一般光线条件下,距离3m远处应清晰可见;声报警信号在额定电压下,距离1m远处的声压级(A计权)不应低于65dB(A)。 5.14.1.2 耐高低温性能 称重装置在5.1.1.1规定的最高工作温度和最低工作温度环境中分别放置8h后,其报警功能应符合5.14.1.1的规定。 5.14.1.3 过载要求 称重装置承受2倍的瓶组质量的静载荷(瓶组内介质按最大充装密度计算),保持15min,不应损坏。试验后报警功能应符合5.14.1.1的规定。 5.14.1.4 耐腐蚀性能 5.14.1.4.1 耐盐雾腐蚀性能 按6.9规定的方法进行盐雾腐蚀试验,称重装置不应有明显的腐蚀损坏。试验后报警功能应符合5.14.1.1的规定。 5.14.1.4.2 耐二氧化硫腐蚀性能 按6.10规定的方法进行二氧化硫腐蚀试验,称重装置不应有明显的腐蚀损坏。试验后报警功能应符合5.14.1.1的规定 。 5.14.1.5 标志 在装置的明显部位标出:生产单位或商标、产品型号规格、称重范围等内容。 5.14.2 压力显示器5.14.2.1 基本性能5.14.2.1.1 压力显示器工作环境温度应为系统工作温度范围。 5.14.2.1.2 压力显示器测量范围上限不应小于最大工作压力的1.1倍。 5.14.2.1.3 示值基本误差应符合以下要求: a)公称工作压力点示值误差不应大于贮存压力的±4%; b)最大工作压力点示值误差不应大于贮存压力的±8%; c)最小工作压力点示值误差不应大于贮存压力的±8%; d)零点和测量范围上限的示值误差不应大于贮存压力的±15%。 5.14.2.2 标度盘要求 5.14.2.2.1 标度盘的零位、贮存压力、最大工作压力、最小工作压力和测量范围上限的位置应有刻度和数字标志。 5.14.2.2.2 标度盘的最大工作压力与最小工作压力范围用绿色表示,零位至最小工作压力范围、最大工作压力至测量上限范围用红色表示。 5.14.2.2.3 标度盘上应标出生产单位或商标、产品适用介质、法定计量单位(MPa)、制造年月或产品编号、计量标志等。 5.14.2.3 强度密封要求 5.14.2.3.1 密封要求 按6.4.4规定的方法进行密封试验,压力显示器不应出现气泡泄漏。 5.14.2.3.2 液压强度要求 按6.3规定的方法进行液压强度试验,压力显示器承受2倍最大工作压力的试验压力,保持压力5min,不应有渗漏或损坏现象。 5.14.2.3.3 超压要求 按6.5.2规定的方法进行超压试验,压力显示器承受4倍最大工作压力的试验压力,保持压力5min,其任何零部件不应被冲出。 5.14.2.4 环境适应性能 5.14.2.4.1 抗震要求 按6.12.1规定的方法进行振动试验,压力显示器部件应无松动、变形或损坏,试验后压力显示器的示值基本误差应符合5.14.2.1的规定。 5.14.2.4.2 耐温度循环性能 按6.13规定的方法进行温度循环泄漏试验,压力显示器不应渗漏,试验后压力显示器的示值基本误差应符合5.14.2.1的规定。 5.14.2.4.3 耐盐雾腐蚀性能 按6.9规定的方法进行盐雾腐蚀试验,压力显示器不应产生影响性能的损坏,试验后压力显示器指针应升降平稳,压力显示器的示值基本误差应符合5.14.2.1的规定。 5.14.2.4.4 耐二氧化硫腐蚀性能 按6.10规定的方法进行二氧化硫腐蚀试验,压力显示器不应产生影响性能的损坏,试验后压力显示器指针应升降平稳,压力显示器的示值基本误差应符合5.14.2.1的规定。 5.14.2.5 耐交变负荷性能 按6.33规定的方法进行交变负荷试验,交变频率为0.1Hz,交变幅度为贮存压力的40%至最大工作压力,交变次数为1000次。试验后,压力显示器贮存压力的示值误差不应超过贮存压力的±4%。 5.14.2.6 报警功能 安装在灭火系统中具有泄漏报警功能的压力显示器,当瓶组内压力损失达到贮存温度条件下工作压力的10%或低于最小工作压力时,应能可靠报警。光报警信号应为黄色,在一般光线条件下,距离3m远处应清晰可见;声报警信号在额定电压下,距离1m远处的声压级(A计权)应不低于65dB(A)。 5.14.3 液位测量装置5.14.3.1 报警功能安装在灭火系统中的液位测量装置应有泄漏上限报警功能,当灭火剂泄漏量达到充装质量的5%时,应能可靠报警。光报警信号应为黄色,在一般光线条件下,距离3m远处应清晰可见;声报警信号在额定电压下,距离1m远处的声压级(A计权)应不低于65dB(A)。 5.14.3.2 耐高低温性能 液位测量装置在5.1.1.1规定的最高工作温度和最低工作温度环境中分别放置8h后,其报警功能应符合5.14.3.1的规定。 5.14.3.3 耐腐蚀性能 5.14.3.3.1 耐盐雾腐蚀性能 按6.9规定的方法进行盐雾腐蚀试验,液位测量装置不应有明显的腐蚀损坏。试验后报警功能应符合5.14.3.1的规定。 5.14.3.3.2 耐二氧化硫腐蚀性能 按6.10规定的方法进行二氧化硫腐蚀试验,液位测量装置不应有明显的腐蚀损坏。试验后报警功能应符合5.14.3.1的规定。 5.14.3.4 标志 在装置的明显部位标出:生产单位或商标、产品型号规格、测量范围等内容。 5.15 信号反馈装置5.15.1 工作压力信号反馈装置的工作压力不应小于系统的最大工作压力。 5.15.2 动作压力 信号反馈装置的动作压力设定值不应大于0.5倍系统最小工作压力。当信号反馈装置安装在减压装置后时,其动作压力设定值不应大于减压装置后压力的50%。信号反馈装置的动作压力偏差不应大于设定值的10%。 信号反馈装置应具有自锁功能,动作后只能人工进行复位。 5.15.3 工作可靠性要求 按6.36规定的方法进行试验,信号反馈装置在大于等于动作压力下应可靠动作100次而不应出现任何故障和结构损坏,试验后信号反馈装置触点的接触电阻应符合5.15.9的规定。 5.15.4 强度要求 按6.3规定的方法进行液压强度试验,信号反馈装置不应损坏。 试验压力为1.5倍系统最大工作压力,压力保持时间5min。 5.15.5 密封要求 按6.4.2规定的方法进行气密性试验,信号反馈装置不应产生气泡泄漏。 试验压力为系统最大工作压力,压力保持时间为5min。 5.15.6 耐电压性能 信号反馈装置接线端子与外壳之间的耐电压性能,按6.25规定的方法进行试验,不应出现表面飞弧、扫掠放电、电晕或击穿现象。 额定工作电压大于50V时,试验电压为1500V(有效值),50Hz; 额定工作电压小于等于50V时,试验电压为500V(有效值),50Hz。 5.15.7 绝缘要求 在正常的大气条件下,信号反馈装置的接线端子与外壳之间的绝缘电阻应大于20MΩ。 5.15.8 耐腐蚀性能 5.15.8.1 耐盐雾腐蚀性能 按6.9规定的方法进行盐雾腐蚀试验,信号反馈装置不应有明显的腐蚀损坏。试验后,信号反馈装置动作要求应符合5.15.2的规定;触点接触电阻应符合5.15.9的规定。 5.15.8.2 耐二氧化硫腐蚀性能 按6.10规定的方法进行二氧化硫腐蚀试验,信号反馈装置不应有明显的腐蚀损坏。试验后,信号反馈装置动作要求应符合5.15.2的规定;触点接触电阻应符合5.15.9的规定。 5.15.9 触点接触电阻 在正常大气条件下,信号反馈装置触点接触电阻不应大于0.1Ω,动作试验和腐蚀试验后不应大于0.5Ω。 5.15.10 标志 在信号反馈装置明显部位应永久性标出:生产单位或商标、型号规格、动作压力、工作电压、触点容量。 5.16 减压装置5.16.1 工作压力惰性气体灭火系统减压装置的工作压力应符合5.1.1.2的规定。 5.16.2 强度要求 按6.3规定的方法进行液压强度试验,减压装置不应渗漏、变形或损坏。 试验压力为1.5倍系统最大工作压力,压力保持时间为5min。 5.16.3 密封要求 按6.4.5规定的方法进行气密性试验,减压装置应无气泡泄漏 。 试验压力为系统最大工作压力,压力保持时间为5min。 5.16.4 减压特性 按6.38规定的试验方法,减压装置在规定流量范围内测出的减压特性与生产单位使用说明书上的公布值相比,其差值不应大于使用说明书上的公布值的10%。 5.16.5 标志 在减压装置的明显部位标出:生产单位或商标、型号规格、介质流动方向等。 5.17 低泄高封阀5.17.1 设置要求组合分配系统的集流管上应安装低泄高封阀。 驱动气体控制管路上应安装低泄高封阀。 5.17.2 材料 低泄高封阀及其内部机械零件应采用不锈钢、铜合金制造,也可以用强度、耐腐蚀性能不低于上述材质的其他金属材料制造。 5.17.3 工作压力 集流管上安装的低泄高封阀的公称工作压力不应小于系统的最大工作压力;驱动气体控制管路上安装的低泄高封阀的公称工作压力不应小于驱动气体瓶组的最大工作压力。 5.17.4 动作要求 低泄高封阀的设计应保证系统在准工作状态下始终处于开启位置,其关闭压力不应大于0.5倍被驱动阀门的最小开启压力且不应小于0.1MPa。 5.17.5 强度要求 按6.3规定的方法进行液压强度试验,阀门不应渗漏、变形或损坏。 试验压力为1.5倍最大工作压力,压力保持时间为5min。 5.17.6 密封要求 按6.4.2规定的方法进行气密性试验,阀门应无气泡泄漏。 试验压力为1.1倍的阀门关闭压力,压力保持时间为5min。 5.17.7 工作可靠性要求 按6.6.4规定的方法进行工作可靠性试验,低泄高封阀应能承受100次“开启-关闭”动作试验,其开启、关闭动作应灵活、准确,不应出现任何故障或结构损坏。 5.17.8 标志 在低泄高封阀的明显部位永久性标出:生产单位或商标、型号规格、关闭压力。 5.18 管路、管件5.18.1 材料管路应采用无缝管材,材质应具有耐腐蚀性能或将其内外表面做防腐镀层处理。 管件应采用耐腐蚀的金属材料制造,不应用铸铁件。 5.18.2 工作压力 管路、管件的公称工作压力不应小于系统最大工作压力。 5.18.3 强度要求 按6.3规定的方法进行液压强度试验,管路、管件不应渗漏、变形或损坏。 试验压力为1.5倍系统最大工作压力,压力保持时间为5min。 5.18.4 密封要求 按6.4.5规定的方法进行气密性试验,管路、管件应无气泡泄漏。 试验压力为系统最大工作压力,压力保持时间为5min。 5.18.5 局部阻力损失 七氟丙烷灭火系统、三氟甲烷灭火系统管件的局部阻力损失采用与其相连接的管路等效长度来表示。按6.8.1规定的试验方法测得的管件等效长度值与生产单位使用说明书上的公布值相比,其差值不应超过使用说明书上的公布值的10%。 惰性气体灭火系统管件的局部阻力损失采用压力损失曲线表示。按6.8.2规定的试验方法测得的压力损失曲线与生产单位使用说明书上的公布值相比,其差值不应超过使用说明书上的公布值的10%。 5.18.6 标志 在管件的明显部位永久性标出:生产单位或商标、公称尺寸、工作压力。 5.19 吊钩、支架5.19.1 材料吊钩、支架应采用碳钢制作。 5.19.2 承载能力 按6.37规定的方法进行承载能力试验,吊钩和支架在0.5倍拉伸试验载荷下持续1min,其变形量不应大于5mm。在拉伸试验载荷下持续1min,不应破裂、脱离。 不同公称直径管路的拉伸试验载荷见表3。 表3 拉伸试验载荷
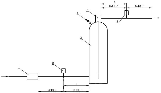
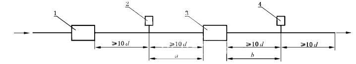
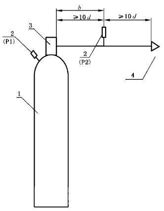
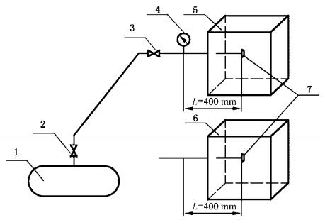
![]() 6 试验方法6.1 试验要求6.2 外观、材料检查 6.3 液压强度试验 6.4 气密性试验 6.5 超压试验 6.6 工作可靠性试验 6.7 最大最小工作压力下动作试验 6.8 局部阻力损失试验 6.9 盐雾腐蚀试验 6.10 二氧化硫腐蚀试验 6.11 应力腐蚀试验 6.12 振动试验 6.13 温度循环泄漏试验 6.14 瓶组倾倒冲击试验 6.15 安全泄放装置动作试验 6.16 手动操作试验 6.17 喷嘴流量特性试验 6.18 喷嘴耐热和耐压试验 6.19 喷嘴耐热和耐冷击试验 6.20 全淹没喷嘴喷射特性试验 6.20.1 灭火系统要求 6.20.2 燃料要求 6.20.3 最大高度试验空间浓度分布试验 6.20.4 最小高度试验空间浓度分布试验 6.21 喷嘴耐冲击试验 6.22 单向阀开启压力试验 6.23 低泄高封阀关闭压力试验 6.24 热空气老化试验 6.25 耐电压性能试验 6.26 绝缘电阻试验 6.27 电源试验 6.28 连接管低温试验 6.29 控制、报警功能检查 6.30 高低温试验 6.31 湿热试验 6.32 压力显示器基本性能试验 6.33 压力显示器交变负荷试验 6.34 信号反馈装置触点接触电阻试验 6.35 称重装置过载试验 6.36 信号反馈装置动作试验 6.37 吊钩、支架承载能力试验 6.38 减压装置减压特性试验 6.39 系统试验 6.40 喷嘴保护帽试验 6.41 集流管流量试验 6.1 试验要求参照被检样品的设计图样和相关技术条件对系统和部件的性能检验,按本标准规定的试验方法进行。任何部件的气密性试验项目,均应在液压强度试验后进行。 除另行注明外,本章规定的试验应在下列条件下进行: a)环境温度:+15℃~+35℃; b)相对湿度:45%~75%; c)大气压力:86kPa~106kPa。 6.2 外观、材料检查6.2.1 对照设计图样和相关技术文件资料,目测或用通用量器具检查样品的结构、尺寸、灭火剂和充压气体、贮存容器的容积和直径、部件材料与第5章的规定是否相符。6.2.2 采用目测检查部件标志的内容和固定方式、瓶组组成。 6.2.3 检查样品工艺一致性情况,目测有无加工缺陷、表面涂覆缺陷、机械损伤等现象,是否符合相应条款的规定和设计要求。 6.3 液压强度试验6.3.1 液压强度试验装置用液压源应具备消除压力脉冲的稳压功能,压力测量仪表的精度不低于1.6级,试验装置的升压速率应在使用压力范围内可调。压力显示器液压强度试验也可在活塞式压力试验仪上进行。 6.3.2 将被检样品进口与液压强度试验装置相连,排除连接管路和样品腔内空气后,封闭样品所有出口。以不大于0.5MPa/s的速率缓慢升压至试验压力,保持压力5min后泄压,检查样品并对试验结果进行记录。 连接管强度试验升压速率不低于0.5MPa/s。 6.4 气密性试验6.4.1 试验要求气压密封试验装置用氮气或压缩空气,压力测量仪表的精度不低于1.6级,试验装置的气压源应满足升压速率在使用压力范围内可调。 检漏试验用水温度不应低于+5℃。 6.4.2 瓶组、信号反馈装置、低泄高封阀等部件气密性试验 将被检样品进口与气压源相联,以不大于0.5MPa/s的升压速率缓慢升压至试验压力。将样品浸入水中,样品至液面深度不小于0.3m,在规定的压力保持时间内检查样品渗漏情况。 6.4.3 容器阀、选择阀、单向阀气密性试验 试验条件和试验程序与6.4.2相同,容器阀、选择阀处于关闭状态,单向阀正向状态,检查样品并对试验结果进行记录。 将容器阀、选择阀置于开启状态,单向阀置于反向状态,重复上述试验,检查样品并对试验结果进行记录。 6.4.4 压力显示器气密性试验 将被检样品安装在试验管路上,充压至测量上限的2/3,保持7d后浸入水中10min,样品至液面深度不小于0.3m。检查样品并对试验结果进行记录。 6.4.5 集流管、连接管、管路管件、减压装置等部件气密性试验 将被检样品进口与气压源相连,封闭样品其他出口,以不大于0.5MPa/s的升压速率缓慢升压至试验压力。将样品浸入水中,样品至液面深度不小于0.3m,在规定的压力保持时间内检查样品渗漏情况。 6.5 超压试验6.5.1 试验设备与6.3.1的规定相同。6.5.2 将被检样品进口与试验装置相连,容器阀处于开启状态,压力显示器应做防止内部零件冲出的保护措施,排除连接管路和样品腔内空气后,封闭样品所有出口。以不大于0.5MPa/s的升压速率缓慢升压至试验压力,保持5min后泄压,检查样品并对试验结果进行记录。 6.6 工作可靠性试验6.6.1 容器阀、选择阀的工作可靠性试验6.6.1.1 容器阀、选择阀的工作可靠性试验在专用试验装置上进行。气源采用压缩空气或氮气;专用试验容器的容积和驱动器工作状态应满足被试阀门在启动后完全开启的需要,被试阀门出口应连接与出口公称直径相同,长度不超过0.5m的直管和一个等效孔径不小于3mm的喷嘴。 6.6.1.2 将被试阀门安装在专用试验容器上,连接好控制驱动部件,并使之在规定条件下工作,按下述程序进行: a)向被试阀门进口端充压至瓶组贮存压力P,容器阀自身带有减压装置的气体灭火系统选择阀,则P值为容器阀出口侧压力,保压时间不小于5s; b)启动控制驱动部件,使被试阀门开启(驱动部件施加于被试阀门上的驱动力应为对应温度下的驱动部件的驱动力); c)待专用试验容器内压力降至小于0.5MPa时,关闭被试阀门; d) 再向被试阀门充压,继续下一循环。 被试阀门在正常工作时允许破坏的零件,在每个循环试验后及时更换。 6.6.1.3 在常温(+20℃±5℃)下,上述循环试验重复进行100次,将试验装置和样品移入温度试验箱内,在最低和最高工作温度下各进行10次。试验前样品在试验环境中放置时间,首次试验不低于2h,其余试验应使样品自身温度与试验箱内温度充分平衡。 检查样品并对试验结果进行记录。 6.6.2 单向阀工作可靠性试验 6.6.2.1 单向阀的工作可靠性试验在专用试验装置上进行,试验装置气体流量应保证试验时单向阀达到全开。 6.6.2.2 试验在常温下进行,气源采用压缩空气或氮气,顺序给单向阀正、反向交变充压,压力为瓶组贮存压力P(容器阀自身带有减压装置的气体灭火系统的单向阀,则P值为容器阀出口侧压力),使阀门达到完全开启或关闭状态,正、反向切换频率不大于每分钟30次。完成100次开启-关闭循环试验后,检查样品并对试验结果进行记录。 6.6.3 驱动器工作可靠性试验 按GA 61的规定进行。 6.6.4 低泄高封阀工作可靠性试验 低泄高封阀的工作可靠性试验在专用试验装置上进行。试验在常温下进行,气源采用压缩空气或氮气,顺序给低泄高封阀充压至其关闭压力,之后泄压。完成100次开启-关闭循环试验后,检查样品并对试验结果进行记录。 6.7 最大最小工作压力下动作试验容器阀在最大和最小工作压力下动作试验的试验装置、气源与6.6.1相同。将被试阀门安装在专用试验容器上,连接好控制驱动部件,使被试阀门处于正常工作状态,由气源给专用试验容器充压至0.5倍最小工作压力,启动驱动器使阀门动作,检查阀门开启状况并对试验结果进行记录。 最大工作压力下的动作试验程序同上,试验压力为1.1倍最大工作压力。 6.8 局部阻力损失试验6.8.1 等效长度试验等效长度试验在图1a)或图1b)试验装置上进行,压差测量采用压差计或压力传感器,容器阀应配装所用的虹吸管,试验介质为清水,水温应不小于+5℃。 试验管路中应建立雷诺数至少1×105的流态,可通过调整水流速实现。 雷诺数Re由式(1)计算得出: ![]() d——管道的实际内径,单位为米(m); u——管道中水的流速,单位为米每秒(m/s); ρ——水的密度,单位为千克每立方米(kg/m3); μ——水的动力粘度,单位为帕秒(Pa·s)。 调节进水口压力使流速满足雷诺数Re要求,开启排气阀排除容器腔内空气,流速稳定后,测取水流量Q、压差P、管道内径d等参数,按式(2)和式(3)计算等效长度L。 ![]() L——样品的等效长度,单位为米(m); Lx——样品和试验管道的等效长度,单位为米(m); a——见图1a)、图1b),单位为米(m); b——见图1a)、图1b),单位为米(m)。 ![]() P——压差值,单位为帕(Pa); c——测量管路粗糙度系数,镀锌管取120; d——管道的实际内径,单位为米(m); Q——水流量,单位为升每分(L/ min)。 当采用图1a)试验装置时,压差值P应减去液柱H的静压力。 6.8.2 压力损失试验 压力损失试验在图1c)或图1d)试验装置上进行,压差测量采用压差计或压力传感器。试验介质采用相对应的惰性气体灭火剂或压缩空气,试验介质起始压力为20℃时对应相应系统的贮存压力。 容器阀的压力损失在图1c)所示试验装置上进行,容器的容积不小于90L,容器阀进口侧和出口侧设取压点,出口侧取样点的位置为容器阀出口所接直管上至少为管内径10倍长度处,位置见图1c)。直管段末端接喷嘴(个数应与实际应用所接喷嘴数一致)或接等效于所接喷嘴孔径的孔板。试验时测取压力损失曲线并与生产单位值进行比较。 选择阀、单向阀、管件的压力损失在图1d)所示试验装置上进行,气源的气量应至少能保证1min的试验用气量,在被测样品的进出口端各连接一直管,在直管上至少为管内径10倍长度处设测压点,位置见图1d)。出口侧直管段末端接喷嘴(个数应与实际应用所接喷嘴数一致)或接等效于所接喷嘴孔径的孔板。试验时测取压力损失曲线并与生产单位值进行比较。 ![]() 2——差压测量点; 3——模拟容器; 4——排气阀; 5——容器阀(被测样品)。 a) 等效长度试验装置(一) ![]() 2,4——差压测量点; 3——被测样品。 b) 等效长度试验装置(二) 图1 局部阻力损失试验装置示意图
1——容器;![]() 2——压力传感器(差压计); 3——被测样品; 4——喷嘴。 c) 容器阀压力损失测试装置 ![]() 2——被测样品; 3——喷嘴。 d) 选择阀、单向阀、管件压力损失测试装置 图1 (续)
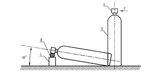
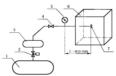
6.9 盐雾腐蚀试验试验在喷雾式盐雾腐蚀箱中进行。试验用盐水溶液浓度为20%(质量分数),密度1.126g/cm3~1.157g/cm3。将样品清除油渍,封堵阀类部件的进出口,以防止试验盐雾进入内腔。按正常使用位置悬挂在试验箱工作室中间部位。工作室温度控制在+35℃±2℃。从被测样品上滴下的溶液不能循环使用。在工作室内至少应从两处收集盐雾,以调节试验过程中的喷雾速率和试验用盐水溶液的浓度,每80cm2的收集面积,连续收集16h,每小时应收集1.0mL~2.0mL盐水溶液,其浓度应为19%~21%(质量分数)。 试验周期10d,连续喷雾。试验结束后,将样品用清水清洗并置于温度+20℃±5℃ 、相对湿度不超过70%的环境中自然干燥7d,检查样品的腐蚀情况并记录。 6.10 二氧化硫腐蚀试验试验在化工气体腐蚀试验装置中进行。工作室内按体积分数每24h加入1%的二氧化硫气体。放置在工作室底部的平底大口器皿中注入足够的蒸馏水,靠自然挥发形成潮湿的环境,工作室内温度保持在+45℃±2℃。将样品清除油渍后,按正常使用位置悬挂在工作室的中间部位,工作室顶部凝聚的液滴不应滴在样品上。 试验周期16d,试验进行8d时将样品取出,清水冲洗后重新放回工作室,继续试验8d。试验结束后,将样品置于温度+20℃±5℃、相对湿度不超过70%的环境中自然干燥7d,检查样品的腐蚀情况并记录。 试验所用的二氧化硫气体也可每天在工作室内由Na2S2O3·5H2O溶液和稀硫酸反应制取。 6.11 应力腐蚀试验6.11.1 应力腐蚀试验方法选择采用含锌量超过15%的铜合金为材质的部件进行6.11.2规定的氨应力腐蚀试验。 采用奥氏体不锈钢为材质的部件进行6.11.3规定的氯化镁应力腐蚀试验。 6.11.2 氨应力腐蚀试验 试验在化工气体腐蚀试验装置中进行。工作室底部放置一平底大口器皿,按1cm3试验容积加氨水0.01mL的比例,将密度为0.94 g/cm3的氨水注入到大口器皿中,靠自然挥发使工作室内形成潮湿的氨和空气混合气体。混合气体的构成约为:氨35%、水蒸气5%、空气60%。 将样品入口端充满去离子水,并用非活性材料(如塑料)将其密封,以防止氨气进入组件内部。样品表面不应有任何非永久性保护层。如必须有保护层,应对样品进行除油污处理。样品应按生产单位规定的螺纹连接力矩和法兰连接力矩进行安装,模拟一个安装的负载。 将样品经如上处理后,按正常使用位置悬挂在工作室的中间部位,工作室温度控制在+34℃±2℃,试验周期10d。 试验结束后,样品经水冲洗并自然风干,干燥时间至少2d,干燥后检查腐蚀情况。 6.11.3 氯化镁腐蚀试验 将样品经过除油污处理后,放置在装有湿式冷凝器的瓶子中。瓶中加入约一半的浓度为42%的氯化镁溶液。将瓶子放置在一个恒温控制电加热器上,并保持在+150℃±2℃的沸腾温度,试验周期为500h。 试验后,取出样品用去离子水冲洗并自然风干,干燥时间至少2d,干燥后检查腐蚀情况。 6.12 振动试验6.12.1 瓶组和压力显示器的振动试验灭火剂瓶组按设计的最大充装密度(或充装压力)充装灭火剂,并充压至贮存压力。驱动气体瓶组按设计的最大充装压力充装驱动气体。压力显示器按工作位置安装在灭火剂瓶组(或驱动气体瓶组)上,使其处于正常工作状态。 称重设备的最小分度值应不大于2/10000。 采用压力损失作判断时,样品上应安装(或更换)检验用精密压力测量仪表。将被检样品置于恒温室中,温度控制在+25℃±1℃,放置24h后读取被检瓶组压力值。采用质量损失作判断的样品只记录称重值,无恒温要求。 试验在振动台上进行,振幅为0.8mm,频率为20Hz,在样品X、Y、Z三个相互垂直的轴线上每个方向依次振动2h。 振动试验后,读取瓶组压力值和称重的要求与振动前的要求相同。以自动方式启动瓶组,并对瓶组进行称重,计算出灭火剂的充装量。 6.12.2 控制盘振动试验 试验在振动台上进行,将样品按工作位置固定在台面上,按下列程序进行试验: a)在5Hz~60Hz~5Hz频率范围内,以每分钟1倍频程的速率、0.19mm振幅进行一次扫频循环,观察并记录发现的共振频率; b)未发现共振频率时,在60Hz频率上,进行振幅为0.19mm、持续时间为10min±0.5min的定频振动试验; c)发现共振频率不超过四个时,在每一个共振频率上,进行振幅为0.19mm、持续时间为10min±0.5min的定频振动试验; d)发现共振频率超过四个时,在5Hz~60Hz~5Hz频率范围内,进行振幅为0.19mm、扫频速率为每分钟1倍频程,两次扫频循环试验。 上述试验在样品X、Y、Z三个轴线上依次进行。 6.13 温度循环泄漏试验试验在温度试验箱中进行。试验前瓶组压力值读取和称重的要求与6.12.1相同。按下列顺序在每个温度下放置24h: a)最高工作温度±2℃; b)最低工作温度±2℃; c)最高工作温度±2℃; d)最低工作温度±2℃; e)最高工作温度±2℃; f)最低工作温度±2℃。 上述循环试验后,将被检样品置于+25℃±5℃环境中放置24d,然后重复上述温度循环试验,再将被检样品置于+25℃±5℃环境中放置24d后结束该试验。 试验后,被检瓶组压力值读取和称重的程序要求与试验前相同。以自动方式启动瓶组,并对瓶组进行称重,计算出灭火剂的充装量。 试验后,安装在瓶组上的安全泄放装置泄放压力试验按6.15规定的方法进行。压力显示器示值误差试验和密封试验分别按6.32.2、6.4.4规定的方法进行。 6.14 瓶组倾倒冲击试验试验示意图如图2。七氟丙烷、三氟甲烷瓶组内充满清水,惰性气体灭火剂瓶组和驱动气体瓶组为空瓶,瓶组允许加戴保护罩,低碳钢棒直径约为50mm,垫起的高度使瓶组轴线与地平面成10°角。将一个水平力F缓慢作用在被检瓶组的容器阀上,使瓶组在没有任何阻力的条件下倾倒,容器阀撞击到低碳钢棒上,试验按任意方向进行。 ![]() 2——低碳钢棒; 3——瓶组; 4——容器阀。 图2 倾倒冲击试验示意图
6.15 安全泄放装置动作试验6.15.1 安全泄放装置动作试验用设备与6.3.1液压强度试验设备相同,其中压力测量仪表应有瞬时记录功能,如选用压力表应带有停针机构。6.15.2 将被检样品进口与试验装置相连,排除连接管路和样品内腔的空气后,封闭样品的所有出口。以不大于0.5MPa/s的速率缓慢升压至安全泄压装置动作。记录此时压力。 6.16 手动操作试验被检阀门处于最大工作压力状态,测力计的精度应不低于2.5级。将被测阀门的手动操作机构与测力计相连,通过测力计启动被检阀门。记录最大操作力,测量并记录最大操作行程。 6.17 喷嘴流量特性试验喷嘴流量特性试验装置如图3a)和图3b)所示,容器阀至喷嘴间连接管直径d不应小于喷嘴入口公称直径,荷重传感器的最小分度值应不大于2/10000。喷嘴孔口尺寸与灭火剂贮存容器容积应协调,使喷射在合理的时间内完成。 按设计给定的充装密度灌装灭火剂并充压至贮存压力,放置2h后安装在试验装置上。安装好喷嘴,自动启动容器阀,记录喷嘴前压力和灭火剂质量对时间的变化曲线。根据喷嘴公称实际孔口面积,计算出不同喷射压力下喷嘴单位孔口面积的质量流量。 6.18 喷嘴耐热和耐压试验喷嘴耐热和耐压试验在图4所示试验装置上进行,喷嘴位于温度试验箱工作室中部,试验用气体为氮气或压缩空气,连接管横截面不应小于3倍喷嘴喷孔面积。将喷嘴安装在试验系统中,调整减压阀至工作位置,开启温度试验箱升温至+600℃±20℃,恒温5min,打开温度试验箱箱门,启动快速开启阀使气体喷出,在喷射时间10s内保持喷嘴前压力为规定值。 ![]() 2——压力传感器; 3——灭火剂瓶组; 4——配重; 5——数据采集处理系统; 6——荷重传感器。 a) 质量平衡方式 图3 喷嘴流量特性试验装置原理示意图
单位为毫米
![]() 2——压力传感器; 3——数据采集处理系统; 4——被测喷嘴; 5——灭火剂瓶组。 b) 悬挂方式 图3(续)
![]() 2——减压阀; 3——缓冲容器; 4——快速开启阀; 5——压力表; 6——温度试验箱; 7——喷嘴。 图4 喷嘴耐热和耐压试验装置
![]() 2——总控阀; 3——快速开启阀; 4——压力表; 5——低温试验箱; 6——温度试验箱; 7——喷嘴。 图5 喷嘴耐热和耐冷击试验装置
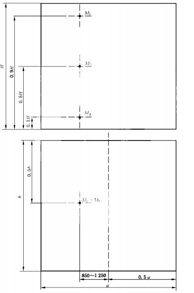
6.19 喷嘴耐热和耐冷击试验喷嘴耐热和耐冷击试验在图5所示试验装置上进行,喷嘴位于温度试验箱工作室中部,试验用气体为液态二氧化碳,连接管横截面不应小于3倍喷嘴喷孔面积。将喷嘴置于温度试验箱中,升温至+600℃±20℃,恒温 5min,然后迅速将喷嘴移至恒温在-20℃的低温温度试验箱中,开启箱门启动快速开启阀使液态二氧化碳由喷嘴喷出。喷射压力2MPa,喷射时间1min。 6.20 全淹没喷嘴喷射特性试验6.20.1 灭火系统要求灭火系统应符合下列要求:a)灭火剂瓶组应放置在最低工作温度下16h以上; b)管路布置应保证喷嘴处产生最低喷嘴压力(+20℃~+22℃时); c)灭火剂喷放量按实际试验空间和+20℃时最低设计浓度的76.92%计算(灭火浓度参见附录B或附录C确定),当试验空间有实际泄漏,灭火剂瓶组喷射剩余率不为0时,灭火剂充装量应做适当修正; d)灭火剂喷放时间:七氟丙烷灭火系统、三氟甲烷灭火系统为8s~10s;惰性气体灭火系统为50s~60s。 6.20.2 燃料要求燃料为正庚烷,其馏分:a) 初馏点:+90℃; b) 50%:+93℃; c) 干点:+96.5℃; d) 密度(+15.6℃):700kg/m3±50kg/m3。 6.20.3 最大高度试验空间浓度分布试验6.20.3.1 试验空间试验空间的体积不应小于100m3,高度至少为3.5m。地面尺寸至少为4m×4m。空间的最大高度为喷嘴的最大保护高度。 试验空间若设泄压口,应设在3/4空间高度以上或顶部。 6.20.3.2 喷嘴布置 喷嘴的位置应使灭火剂不能直接喷向试验火、不能引起燃料的飞溅。 6.20.3.3 氧浓度测量 试验空间氧浓度测量取样点位置见图6。三个取样点与试验空间中心的水平距离应在850mm~1250mm 之间,距离地面高度分别为0.1H(H为试验空间高度)、0.5H、0.9H。 氧浓度分析仪的分辨率不低于0.1%(体积分数),通道数量宜取三个,应能连续测量,试验使用范围:17%~21%(体积分数),精度应不受燃烧产物影响。 6.20.3.4 试验空间温度测量 试验空间温度测量点位置为与试验空间中心的水平距离应在850mm~1250mm 之间,距离地面高度为0.5H。 采用1mm的K型热电偶(Ni-CrNi),测温仪表时间常数不大于1s。应能连续测量。 6.20.3.5 喷嘴压力测量 系统喷放过程中喷嘴的压力应通过设置在管道上的压力传感器来测得,压力传感器距离喷嘴不超过1m,传感器的精度不低于0.5%。 6.20.3.6 燃料罐 燃料罐为钢质圆形,内径80mm±5mm,高不小于100mm,壁厚5mm~6mm,燃料罐底部垫水,正庚烷深度至少为50mm,液面距燃料罐口至少40mm。 在喷嘴与燃料罐之间应设置一个与试验空间同高的挡板,挡板的位置见图7a)、图7b),挡板宽度为试验空间宽度的20%。 燃料罐共九个,其中八个燃料罐置于试验空间四墙面对角位置,四上四下交错放置,下角燃料罐置于地面上,距墙50mm,上角燃料罐口距吊顶300mm,距墙50mm;另外一只燃料罐放置在挡板的后面的地面上。 6.20.3.7 试验 点燃燃料罐,预燃30s后,启动系统。 6.20.3.8 试验记录 试验时应记录以下内容: a)灭火系统有效喷射时间,喷嘴前压力; b)释放到空间内的灭火剂总量; c)达到灭火浓度时间; d)观测燃料罐灭火时间宜采用红外线摄像仪或测温法。 6.20.4 最小高度试验空间浓度分布试验6.20.4.1 试验空间试验空间的面积、高度由喷嘴生产单位给出。 6.20.4.2 喷嘴布置 对于360°喷嘴,喷嘴的位置应安装在试验空间中间位置。 对于180°喷嘴,喷嘴的位置应安装在试验空间一侧壁的中间位置。试验空间的面积、高度和喷嘴布置由喷嘴生产单位给出。 6.20.4.3 氧浓度、试验空间温度、喷嘴压力的测量 氧浓度、试验空间温度、喷嘴压力的测量同6.20.3。 如果试验空间的高度小于0.6m,氧浓度取样点应放置在两个或三个垂直的轴线上。 6.20.4.4 燃料罐 燃料罐尺寸按6.20.3中的规定。 将五个燃料罐置于试验空间地面上,地面对角位置各一个,距墙50mm,挡板的后面的地面上放置一个。 燃料罐位置上方设可关闭的开口,预燃期间保持燃料罐上方开口开启。 在喷嘴与燃料罐之间应设置一个与试验空间同高的挡板,挡板的位置见图7a)、图7b),挡板宽度为试验空间宽度的20%。 6.20.4.5 试验 点燃燃料罐,预燃30s,启动系统。 6.20.4.6 试验记录 试验记录要求同6.20.3。 单位为毫米
![]() M4——测温点; a——试验空间长度; b——试验空间宽度; H——试验空间高度。 图6 喷嘴最大安装高度试验测量点布置示意图
![]() 2——360º喷嘴; 3——挡板; 4——通风口; a——试验空间长度; b——试验空间宽度。 a) 360°喷嘴 ![]() 2——180º喷嘴; 3——挡板; 4——通风口; a——试验空间长度; b——试验空间宽度。 b) 180°喷嘴 图7 浓度分布试验布置示意图
6.21 喷嘴耐冲击试验喷嘴耐冲击试验装置如图8所示,锤头、摆杆、钢轮毂和配重块通过滚动轴承、转动轴安装在固定架上。锤头材质为铝合金,锤头打击面应有足够的硬度以防止打击时造成损伤,锤头打击面与水平成60°角。将被试喷嘴按图示位置安装在试验装置上,调整喷嘴高度使冲击在锤头打击面的中心线上形成,此时锤头运动速度为1.8m/s±0.15m/s,冲击能量为2.7J。 单位为毫米 ![]() 2——调节杆; 3——被试喷嘴; 4——安装板; 5——锤头; 6——配重块; 7——工作重锤; 8——转动270°; 9——摆杆; 10——滑轮; 11——球轴承; 12——配重臂。 图8 喷嘴耐冲击试验装置
6.22 单向阀开启压力试验单向阀开启压力试验采用6.4规定的气密性试验装置,压力表的精度不低于0.4级。将被测阀门的进口与试验装置相联,阀门处于正向关闭状态。控制装置缓慢升压,记录气体喷出时的压力,即为开启压力值,试验次数不少于三次。 6.23 低泄高封阀关闭压力试验低泄高封阀关闭压力试验采用6.4规定的气密性试验装置,压力表的精度不低于0.4级。将被试阀门进口与试验装置相连,阀门处于工作位置正常开启状态。控制试验装置缓慢升压,记录阀门关闭时的压力,试验次数不少于三次。 6.24 热空气老化试验非金属连接管热空气老化试验在热空气老化试验箱内进行。按生产单位提供的弯曲半径将被试非金属连接管弯成90°,置于热空气老化试验箱工作室中,样品之间、样品与箱壁间不应接触。 试验温度为+140℃±5℃,试验时间为10d。若样品不能承受该温度而发生软化时,允许在较低温度条件下进行加长时间试验,试验持续时间按下式计算: ![]() D——试验持续时间,单位为天(d); t——试验温度,单位为摄氏度(℃); e——取值为2.71828。 老化试验后取出样品,在常温下空气环境中冷却24h检查。 6.25 耐电压性能试验试验采用耐电压测试仪,试验电压0V~+1500V连续可调。试验电压设定后自动升压,升压速率为100V/s~500V/s,定时60s±5s,到达设定时间后自动降压。6.26 绝缘电阻试验试验采用绝缘电阻测试仪(也可用兆欧表或摇表),试验电压DC 500V,测量范围0MΩ~500MΩ。测试时应保证触点接触可靠,试验引线间绝缘电阻足够大。 6.27 电源试验使被检控制盘处于正常监视状态,接入可调电源,备用电源充电至正常工作状态。调整电源电压为187V~242V.50Hz。使控制盘所有回路处于报警和驱动喷洒状态,检查工作状况。断开主电源,备用电源处于正常监视状态24h后,使控制盘一回路处于报警和驱动喷洒状态,检查工作状况。 6.28 连接管低温试验非金属连接管低温试验在低温试验箱内进行。在处理试样时应戴上手套以减低对试样的热传导影响。 试验芯轴的外径应等于软管公称内径的12倍。软管长度除能够围绕芯轴的圆周弯曲一段外还应在每一端有足够夹持长度。 将连接管固定在试验芯轴上并放入试验箱内,试验温度为系统最低温度,试验时间24h。 试验后,在试验箱中将整个连接管在10s±2s内将其弯曲到制造商规定的最小弯曲半径。观察软管内胶层或外胶层是否出现龟裂或破裂。取出连接管使其恢复到室温(+20℃±5 ℃)温度后再进行强度和密封试验。 6.29 控制、报警功能检查6.29.1 控制盘控制、报警功能检查使被检控制盘处于正常监视状态,对照设计图样和技术文件,使用通用量具、目测控制盘的控制、报警功能。 声响测量采用手持式声级计。 6.29.2 称重装置报警功能试验 采用重物或砝码模拟灭火剂瓶组质量,逐步缓慢减少质量直至报警,记录质量减少数值。 6.29.3 压力显示器报警功能试验 将压力显示器进口与气压供给系统连接,压力显示器的输出端与报警器连接,将气压调至贮存压力后,缓慢降压至报警器报警,记录此时的压力值。 6.29.4 液位测量装置报警功能试验 将液位测量装置与模拟容器相连,液位测量装置的输出端与报警器连接,将容器内液位充至正常水平后,缓慢泄放容器内液体至报警器报警,记录此时的液位值,之后将液位差值换算成灭火剂质量。 6.30 高低温试验控制盘、称重装置和液位测量装置的高低温试验分别在高温试验箱和低温试验箱中进行,试验箱温度控制精度为±2 ℃,达到设定温度后计算试验时间。试验结束后立即进行功能检查并记录。6.31 湿热试验控制盘湿热试验在湿热试验箱中进行。控制盘工作在正常监视状态。使湿热试验箱缓慢升温至+40℃±2℃,被检样品温度平衡后,加湿至规定相对湿度,试验时间24h,试验结束后立即进行功能检查并记录。6.32 压力显示器基本性能试验6.32.1 标度盘检查对照设计图样和技术文件,目测检查压力显示器标度盘的刻度、颜色、标志等。 6.32.2 示值基本误差检验 检验用压力源采用活塞压力计,当油压造成示值滞后过大时应采用气体压力源。作为检验用压力表精度不应低于0.4级。 被检压力显示器处于正常工作位置,示值检验在升压过程和降压过程各进行两次。 6.33 压力显示器交变负荷试验将压力显示器安装在交变负荷试验台上。调整交变频率、交变幅度,然后进行1000次的交变试验。6.34 信号反馈装置触点接触电阻试验可用数字毫欧表直接测出信号反馈装置触点接触电阻,也可以测取触点间电流和电压降,计算出触点的接触电阻。所用电工仪表的精度不低于1.5级,取连续五次测量平均值。6.35 称重装置过载试验将称重装置按工作位置安装在支架上,使其承受相当于2倍灭火剂瓶组(含灭火剂)质量的重物或拉力,保持15min,除去载荷后检查样品状况和报警功能。6.36 信号反馈装置动作试验6.36.1 将被检样品按工作位置安装在试验装置上,接通气压源,连好动作指示灯。缓慢升压至信号反馈装置动作,记录压力值。反复测试五次,其平均值为动作压力。6.36.2 调整供气压力使其大于或等于信号反馈装置动作压力,重复动作试验100次,检查样品动作状况。调整供气压力为 0.8倍信号反馈装置动作压力,持续3min,检查样品动作状况。 6.37 吊钩、支架承载能力试验试验在具备拉伸、压缩功能的材料试验机上进行,试验机的拉伸速度应满足样品产生不小于1.27mm/min 的拉伸变形。将被检样品按使用状态安装在试验台(架)上,工作状态需预加载荷的样品按表3给出的数值预加载荷。选取适宜的加载速率,启动试验机加载至0.5倍规定试验载荷(见表3),保持1min,记录样品变形量。继续加载至规定试验载荷,保持1min,检查样品状况。 6.38 减压装置减压特性试验试验介质采用氮气或压缩空气,流量测量采用标准喷嘴,减压装置入口压力、出口压力和标准喷嘴前的压力均采用自动测量。记录仪表的精度不低于1.5级。气压源的容量应满足测取参数所需的喷射时间。标准喷嘴的孔口直径应与减压装置的设计流量相符。将减压装置按工作位置安装在试验系统中,见图9。减压稳压阀调压至灭火系统贮存压力。自动开启控制阀,测取各点压力值。 ![]() 2——减压稳压阀; 3——压力表; 4——控制阀; 5——压力传感器; 6——喷嘴; 7——被试阀; 8——稳压气源。 图9 减压特性试验装置
6.39 系统试验6.39.1 系统的构成、外观、标志和系统的准工作状态对照系统构成图样,目测检查系统的构成、外观、标志和系统的准工作状态。 6.39.2 系统启动运行试验 6.39.2.1 组装一个包括全部构成部件的灭火系统,可以用氮气或压缩空气替代灭火剂。自动启动系统,记录试验结果。 6.39.2.2 手动启动系统和机械应急启动系统试验,可与6.20试验同时进行。 6.40 喷嘴保护帽试验将带有保护帽的喷嘴安装在配有压力表的试验管路上。以0.1MPa/min的升压速率升压,记录保护帽脱落的压力。试验次数不少于三次。6.41 集流管流量试验此试验为实际模拟试验,集流管进口侧所接的容器、连接管、单向阀应与实际使用时的一致,集流管出口侧设有减压装置的应配装减压装置,出口侧还应安装与实际应用时等数量的喷嘴或模拟的流量控制阀。出口侧配接的管路长度不小于5m。容器内的压力应为20℃时瓶组的贮存压力。试验时应采用手动启动,确保所有容器同时释放灭火剂。 7 检验规则7.1 检验分类、检验项目和试验程序7.2 抽样方法和样品数量 7.3 检验结果判定 7.1 检验分类、检验项目和试验程序7.1.1 检验分类检验分为型式检验和出厂检验。 有下列情况之一时,应进行型式检验: a)新产品试制定型鉴定; b)正式投产后,如产品结构、材料、工艺、关键工序的加工方法有重大改变,可能影响产品的性能时; c)发生重大质量事故时; d)产品停产一年以上,恢复生产时; e)质量监督机构提出要求时。 7.1.2 检验项目 产品型式检验项目应按表4的规定进行。产品出厂检验项目不应少于表4的规定项目。 7.1.3 试验程序 试验程序按附录D~附录Z(无附录()和附录X)的规定。 7.2 抽样方法和样品数量7.2.1 出厂检验抽样方法和样品数量出厂检验部件的抽样基数由生产单位根据实际生产量自定,系统由随机抽取的部件样品组装构成。样品数量结合表4和附录D~附录Z(无附录()和附录X)的要求确定。 7.2.2 型式检验抽样方法和样品数量 型式检验部件的抽样基数不应少于附录D~附录Z(无附录()和附录X)规定的样品数量的5倍。部件采用一次性随机抽样,系统由随机抽取的部件样品组装构成。 7.3 检验结果判定7.3.1 型式检验的检验结果判定系统和部件全部合格,该产品为合格;系统和部件若出现不合格,则该产品为不合格。 系统或部件的型式检验项目全部合格,该系统或部件为合格。出现A类项目不合格,则该系统或部件为不合格。B类项目不合格数大于等于2,该系统或部件为不合格。C类项目不合格数大于等于4,该系统或部件为不合格。若已有一项B类项目不合格时,C类项目不合格数大于等于2,该系统或部件判为不合格。 7.3.2 出厂检验 系统和部件全部合格,该产品为合格;系统和部件若出现不合格,则该产品为不合格。 系统或部件出厂检验项目全部合格,该系统或部件为合格。有一项A类项目不合格,则该系统或部件为不合格。若有B类项目或C类项目不合格,允许加倍抽样检验,仍有不合格项,即判该系统或部件不合格。 表4 型式检验项目、出厂检验项目及不合格类别
![]() 表4(续)
![]() ![]() 表4(续)
![]() ![]() 表4(续)
![]() 表4(续)
![]() 8 使用说明书编写要求使用说明书应按GB/T 9969进行编写,使用说明书应至少包括下列内容:a)系统简介(主要是工作原理); b)系统安全使用警示,对于惰性气体灭火系统至少应说明“灭火剂瓶组内的贮存压力为___MPa,系统动作时喷嘴会喷放出高压气体,可能对喷嘴附近人员或物体造成损害”等。对于七氟丙烷灭火系统、三氟甲烷灭火系统应至少应说明“本系统充装的灭火剂在灭火时会分解产生一定量的氟化氢气体,高浓度氟化氢气体能对人员造成伤害”; c)系统主要性能参数; d)系统示意图; e)系统操作程序; f)部件的名称、型号规格、主要性能参数(应包含本标准所述的公布值)、安装使用及维护说明、注意事项; g)灭火剂充装方法; h)售后服务; i)制造单位名称、详细地址、邮编和电话。 9 灭火剂充装惰性气体灭火剂的充装应由国家授权的有气体充装资质的单位进行。气体系统生产单位应保存充装记录,保存期至少应到下次充装。七氟丙烷、三氟甲烷灭火剂的充装宜由专业气体厂充装。气体系统生产单位应保存充装记录,保存期至少应到下次充装。 气体系统生产单位自充装的,应制定相应的气体充装操作规程和灭火剂检验规程,除保存充装记录外还应从此批灭火剂中抽取适量的灭火剂进行留样封存,充装记录和灭火剂留样的保存期至少到下次充装日止。 附录A (资料性附录)部件型号的编制方法气体灭火系统中部件的型号编制,依次由系统类别代号、部件代号、主参数、生产单位自定义四部分组成。主参数分主参数1和主参数2。型号中的系统类别代号见4.1。 部件代号和主参数见表A.1。 示例:QMP70/4.2表示贮存压力为4.2MPa,容积为70L的七氟丙烷灭火剂瓶组。 表 A.1 部件代号和主参数
![]() 附录B (资料性附录)灭B类正庚烷火和A类木垛表面火的灭火浓度各类灭火剂灭正庚烷火和A类表面火的灭火浓度见表B.1。表B.1 各类灭火剂灭正庚烷火和A类表面火的灭火浓度
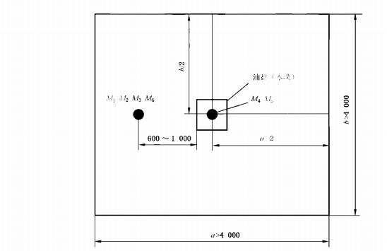
![]() 附录C(资料性附录)灭B类正庚烷火和A类木垛表面火的灭火浓度确C.1 试验空间试验空间的体积不应小于100m3,其长、宽不小于4m,高度3.5m~4m。试验空间若设泄压口,应设在3/4空间高度以上或顶部。C.2 测量参数C.2.1 氧浓度测量试验空间氧浓度测量点位置见图C.1。氧浓度测量设备的分辨率不低于0.1%(体积分数),应能连续采集和记录试验时试验空间内的氧浓度。测量设备的精度不应受燃烧产物影响。试验使用范围为17%~21%(体积分数)。数据存储的频率至少为4Hz。 C.2.2 喷嘴压力测量 应采用压力传感器监测喷嘴压力,传感器精度不低于0.5%,传感器距喷嘴的距离不超过1m。 C.2.3 试验空间温度测量 试验空间温度测点位置见图C.1。测温仪表时间常数不大于1s,通道数量宜取三个。采用连续测量,测量范围:0℃~+1200℃。采用1mm的K型热电偶(Ni-CrNi)。 C.2.4 喷嘴附近温度测量 对于液化灭火剂,应记录喷口位置的温度。 C.3 试验用灭火系统灭火系统设计由生产单位提供。灭火剂瓶组应在+20℃±2℃温度下放置16h以上。 灭火系统灭火剂喷放应满足以下要求: a)对于液化灭火剂,液相及气液两相的喷射时间应为8s~10s; b)对于非液化灭火剂,喷射时间应为50s~60s,可以通过安装在靠近喷嘴位置能够截断灭火剂喷射的装置控制; c)试验中,灭火剂的喷放不应影响试验火的燃烧。 C.4 灭火浓度确定条件对于A类木垛火,灭火系统应在喷射结束后60s内扑灭所有明火,在喷射结束后10min不复燃。对于B类正庚烷火,灭火系统应在喷射结束后30s灭火。 灭火浓度是试验室连续三次成功灭火的浓度。 C.5 B类正庚烷火灭火试验C.5.1 燃料要求使用的燃料应符合6.20.2的要求。 C.5.2 试验模型与布置 油盘为正方形,面积0.25m2±0.02m2,高度100mm,油盘壁厚6mm。 油盘固定在试验空间正中心,底部距地面600mm。 单位为毫米 ![]() M4~M6——测温点; a——试验空间长度; b——试验空间宽度; H——试验空间高度; h——油盘和木垛距地面高度。 图 C.1 A类和B类火灭火试验布置示意图
C.5.3 试验程序油盘内加入12.5L正庚烷,油盘底部垫水,液面距油盘上沿50mm,开启氧浓度分析仪和测温仪表,使之处于正常工作状态。点燃油盘,预燃30s,关闭试验空间所有开口,手动启动灭火系统灭火。 试验空间内的空气中氧含量不应低于正常大气条件下空气中氧含量的0.5%(体积分数)。试验期间由燃烧产物引起氧浓度降低不应超过1.5%(体积分数)。该数值通过与冷喷的参数相比较获得。 C.5.4 试验记录 试验应记录以下内容: a)试验空间内各测氧点的氧浓度变化; b)试验空间内各测温点的温度变化; c)灭火系统喷射延迟时间和喷射时间,喷嘴前压力; d)灭火时间; e)释放到试验空间内的灭火剂总量。 C.6 A类木垛火灭火试验C.6.1 燃料要求木材采用云杉、冷杉或密度相当的松木,含水率9%~13%。 木垛由四层构成,每层六根方木。方木横截面为40mm×40mm,长450mm±50mm。木垛层间呈直角交错放置,每层的方木之间间隔均匀摆成正方形,将方木及层间钉起来形成木垛。 油盘采用C.5.2灭火试验用油盘。 C.6.2 试验模型与布置 木垛的布置见图C.1。木垛底部距地面600mm。 引燃木垛用燃料采用C.5.1灭火试验用正庚烷。 将木垛放在钢质试验架上,油盘置于木垛正下方,油盘上沿距木垛底部约300mm,试验架的结构应使木垛底部充分暴露在大气中。 C.6.3 试验程序 在试验空间外引燃木垛,但不应受阳光、雨雪等天气条件影响,风速不大于3m/s,必要时可采取适当防风措施。如在室内引燃木垛时,室内空间体积应大于6倍试验空间体积。 将1.6L正庚烷注入油盘,点燃后引燃木垛自由燃烧3min,正庚烷耗尽后,木垛继续燃烧3min。 在试验空间外总预燃时间为6min+100s,预燃结束后将木垛移入试验空间,移入木垛至启动灭火系统用时不应大于15s。关闭试验空间所有开口,手动启动灭火系统灭火。 试验空间内的空气中氧含量不应低于正常大气条件下空气中氧含量的0.5%(体积分数)。试验期间由燃烧产物引起氧浓度降低不应超过1.5%(体积分数)。该数值通过与冷喷的参数相比较获得。 灭火剂喷射结束后,试验空间维持密封10min浸渍期。10min后将木垛移出试验空间,观察是否复燃。 C.6.4 试验记录 试验应记录以下内容: a)10min浸渍期内有无余火或复燃,浸渍时间内观测记录木垛表面温度,余火、复燃状况宜采用红外摄像仪; b)木垛试验前后的质量损失; c)试验空间内各测氧点的氧浓度变化; d)试验空间内各测温点的温度变化; e)灭火系统喷射延迟时间和喷射时间,喷嘴前压力; f)灭火时间; g)释放到试验空间内的灭火剂总量。 附录D(规范性附录)系统试验程序及样品数量D.1 试验程序试验程序见图D.1。![]() d2——系统构成(参见6.39.1); d3——外观标志(参见6.39.1); d4——系统准工作状态(参见6.39.1); d5——启动运行试验(参见6.39.2)。 注:图中试验序号用方框中的数字表示,试验所需的样品数用圆圈中的数字表示。 图D.1 系统试验程序图
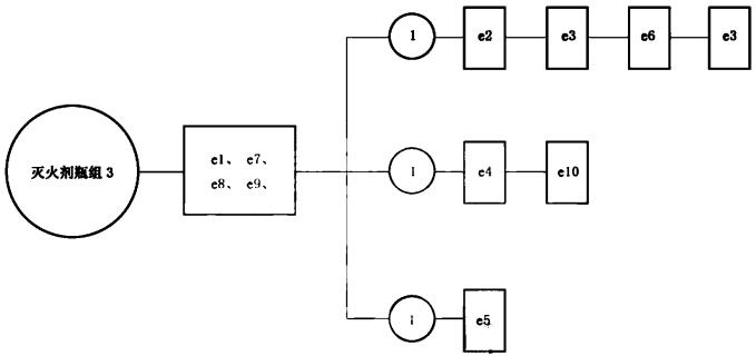
D.2 样品数量样品数量为一套。附录E(规范性附录)灭火剂瓶组试验程序及样品数量E.1 试验程序试验程序见图E.1。![]() e2——液压强度试验(参见6.3); e3——气密性试验(参见6.4.2); e4——振动试验(参见6.12.1); e5——温度循环泄漏试验(参见6.13); e6——灭火剂瓶组倾倒冲击试验参见(6.14); e7——虹吸管(参见5.2.9); e8——误喷射防护装置(参见5.2.10); e9——气体取样要求(参见5.2.11); e10——灭火剂释放时间(参见5.2.12)。 注:图中试验序号用方框中的数字表示,试验所需的样品数用圆圈中的数字表示。 图E.1 灭火剂瓶组试验程序图
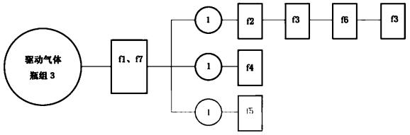
E.2 样品数量样品数量为三套。附录F(规范性附录)驱动气体瓶组试验程序及样品数量F.1 试验程序试验程序见图F.1。![]() f2——液压强度试验(参见6.3); f3——气密性试验(参见6.4.2); f4——振动试验(参见6.12.1); f5——温度循环泄漏试验(参见6.13); f6——耐倾倒冲击(参见6.14); f7——误喷射防护装置(参见 5.3.9)。 注:图中试验序号用方框中的数字表示,试验所需的样品数用圆圈中的数字表示。 图F.1 驱动气体瓶组试验程序图
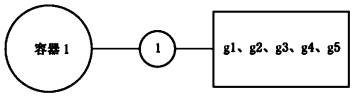
F.2 样品数量样品数量为三套。附录G(规范性附录)容器试验程序及样品数量G.1 试验程序试验程序见图G.1。![]() g2——容器的设计、制造、检验(参见5.4.1); g3——公称工作压力(参见5.4.2); g4——容积和直径(参见5.4.3); g5——材料(参见 5.4.4)。 注:图中试验序号用方框中的数字表示,试验所需的样品数用圆圈中的数字表示。 图G.1 容器试验程序图
G.2 样品数量样品数量为一套。附录H(规范性附录)容器阀试验程序及样品数量H.1 试验程序试验程序见图H.1。![]() h2——强度试验(参见6.3); h3——气密性试验(参见6.4.3); h4——超压试验(参见6.5.2); h5——工作可靠性试验(参见6.6.1); h6——最大和最小工作压力动作试验(参见6.7); h7——局部阻力损失试验(参见6.8); h8——盐雾腐蚀试验(参见6.9); h9——二氧化硫腐蚀试验(参见6.10); h10——应力腐蚀试验(参见6.11); h11——手动操作试验(参见6.16)。 注:图中试验序号用方框中的数字表示,试验所需的样品数用圆圈中的数字表示。 图H.1 容器阀试验程序图
H.2 样品数量样品数量为六只。附录I(规范性附录)喷嘴试验程序及样品数量I.1 试验程序试验程序见图I.1。![]() i2——盐雾腐蚀试验(参见6.9); i3——二氧化硫腐蚀试验(参见6.10); i4——应力腐蚀试验(参见6.11); i5——喷嘴流量特性试验(参见6.17); i6——喷嘴耐热和耐压试验(参见6.18); i7——喷嘴耐热和耐冷击试验(参见6.19); i8——全淹没喷嘴喷射特性试验(参见6.20); i9——喷嘴耐冲击试验(参见6.21); i10——喷嘴保护帽试验(参见6.40)。 注:图中试验序号用方框中的数字表示,试验所需的样品数用圆圈中的数字表示。 图I.1 喷嘴试验程序图
I.2 样品数量样品数量为六只。附录J(规范性附录)选择阀试验程序及样品数量J.1 试验程序试验程序见图J.1。![]() j2——强度试验(参见6.3); j3——气密性试验(参见6.4.3); j4——工作可靠性试验(参见6.6.1); j5——局部阻力损失试验(参见6.8); j6——盐雾腐蚀试验(参见6.9); j7——二氧化硫腐蚀试验(参见6.10); j8——应力腐蚀试验(参见6.11); j9——手动操作试验(参见6.16)。 注:图中试验序号用方框中的数字表示,试验所需的样品数用圆圈中的数字表示。 图J.1 选择阀试验程序图
J.2 样品数量样品数量为六只。附录K(规范性附录)单向阀试验程序及样品数量K.1 试验程序试验程序见图K.1。![]() k2——强度试验(参见6.3); k3——正向气密性试验(参见6.4.3); k4——反向气密性试验(参见6.4.3); k5——工作可靠性试验(参见6.6.2); k6——局部阻力损失试验(参见6.8); k7——盐雾腐蚀试验(参见6.9); k8——二氧化硫腐蚀试验(参见6.10); k9——应力腐蚀试验(参见6.11); k10——开启压力试验(参见6.22)。 注:图中试验序号用方框中的数字表示,试验所需的样品数用圆圈中的数字表示。 图K.1 单向阀试验程序图
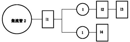
K.2 样品数量样品数量为五只。附录L(规范性附录)集流管试验程序及样品数量L.1 试验程序试验程序见图L.1。![]() l2——强度试验(参见6.3); l3——气密性试验(参见6.4.5); l4——流量试验(参见6.41)。 注:图中试验序号用方框中的数字表示,试验所需的样品数用圆圈中的数字表示。 图L.1 集流管试验程序图
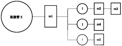
L.2 样品数量样品数量为两根。附录M(规范性附录)连接管试验程序及样品数量M.1 试验程序试验程序见图M.1。![]() m2——强度试验(参见6.3); m3——气密性试验(参见6.4.5); m4——热空气老化试验(参见6.24); m5——非金属连接管低温试验(参见6.28)。 注:图中试验序号用方框中的数字表示,试验所需的样品数用圆圈中的数字表示。 图M.1 连接管试验程序图
M.2 样品数量样品数量为三根。附录N(规范性附录)安全泄放装置试验程序及样品数量N.1 试验程序试验程序见图N.1。![]() n2——安全泄放装置动作试验(参见6.15); n3——盐雾腐蚀试验(参见6.9); n4——二氧化硫腐蚀试验(参见6.10); n5——应力腐蚀试验(参见6.11) n6——温度循环泄漏试验(参见6.13)。 注:图中试验序号用方框中的数字表示,试验所需的样品数用圆圈中的数字表示。 图N.1 安全泄放装置试验程序图
N.2 样品数量样品数量为五套。附录P(规范性附录)驱动装置试验程序及样品数量驱动装置试验程序及样品数量按GA 61的规定。附录Q(规范性附录)控制盘试验程序及样品数量Q.1 试验程序试验程序见图Q.1。![]() q2——电源试验(参见6.27); q3——报警功能检查(参见6.29.1); q4——控制功能检查(参见6.29.1)。 注:图中试验序号用方框中的数字表示,试验所需的样品数用圆圈中的数字表示。 图Q.1 控制盘试验程序图
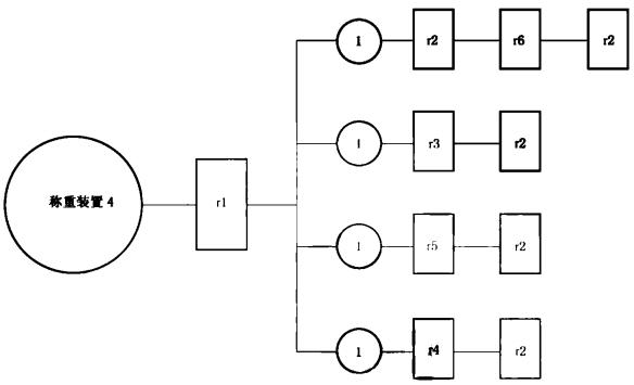
Q.2 样品数量样品数量为两套。附录R(规范性附录)称重装置试验程序及样品数量R.1 试验程序试验程序见图R.1。![]() r2——报警功能检查(参见6.29.2); r3——高低温试验(参见6.30); r4——称重装置过载试验(参见6.35); r5——盐雾腐蚀试验(参见6.9); r6——二氧化硫腐蚀试验(参见6.10)。 注:图中试验序号用方框中的数字表示,试验所需的样品数用圆圈中的数字表示。 图R.1 称重装置试验程序图
R.2 样品数量样品数量为四套。附录S(规范性附录)压力显示器试验程序及样品数量S.1 试验程序试验程序见图S.1。![]() s2——强度试验(参见6.3); s3——气密性试验(参见6.4.4); s4——盐雾腐蚀试验(参见6.9); s5——二氧化硫腐蚀试验(参见6.10); s6——温度循环泄漏试验(参见6.13); s7——振动试验(参见6.12.1); s8——基本性能试验(参见6.32); s9——报警功能试验(参见6.29.3); s10——交变负荷试验(参见6.33); s11——超压试验(参见6.5)。 注:图中试验序号用方框中的数字表示,试验所需的样品数用圆圈中的数字表示。 图S.1 压力显示器试验程序图
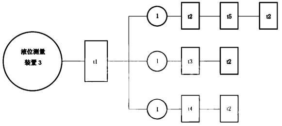
S.2 样品数量样品数量为七套。附录T(规范性附录)液位测量装置试验程序及样品数量T.1 试验程序试验程序见图T.1。![]() t2——报警功能检查(参见6.29.4); t3——高低温试验(参见6.30); t4——盐雾腐蚀试验(参见6.9); t5——二氧化硫腐蚀试验(参见6.10)。 注:图中试验序号用方框中的数字表示,试验所需的样品数用圆圈中的数字表示。 图T.1 液位测量装置试验程序图
T.2 样品数量样品数量为三套。附录U(规范性附录)信号反馈装置试验程序及样品数量U.1 试验程序试验程序见图U.1。![]() u2——强度试验(参见6.3); u3——气密性试验(参见6.4.2); u4——盐雾腐蚀试验(参见6.9); u5——二氧化硫腐蚀试验(参见6.10); u6——耐电压性能试验(参见6.25); u7——绝缘电阻试验(参见6.26); u8——信号反馈装置触点接触电阻试验(参见6.34); u9——信号反馈装置工作可靠性试验(参见6.36)。 注:图中试验序号用方框中的数字表示,试验所需的样品数用圆圈中的数字表示。 图U.1 信号反馈装置试验程序图
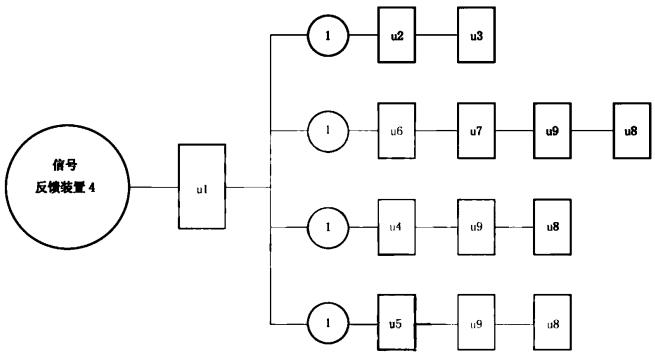
U.2 样品数量样品数量为四套。附录V(规范性附录)管路、管件试验程序及样品数量V.1 试验程序试验程序见图V.1。![]() v2——强度试验(参见6.3); v3——气密性试验(参见6.4.5); v4——局部阻力损失试验(参见6.8)。 注:图中试验序号用方框中的数字表示,试验所需的样品数用圆圈中的数字表示。 图V.1 管路、管件试验程序图
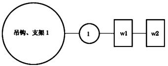
V.2 样品数量样品数量为一套。附录W(规范性附录)吊钩、支架试验程序及样品数量W.1 试验程序试验程序见图W.1。![]() w2——吊钩、支架承载能力试验(参见6.37)。 注:图中试验序号用方框中的数字表示,试验所需的样品数用圆圈中的数字表示。 图W.1 吊钩、支架试验程序图
W.2 样品数量样品数量为一套。附录Y(规范性附录)减压装置试验程序及样品数量Y.1 试验程序试验程序见图Y.1。![]() y2——强度试验(参见6.3); y3——气密性试验(参见6.4.2); y4——减压特性试验(参见6.38)。 注:图中试验序号用方框中的数字表示,试验所需的样品数用圆圈中的数字表示。 图Y.1 减压装置试验程序图
Y.2 样品数量样品数量为两套。附录Z(规范性附录)低泄高封阀试验程序及样品数量Z.1 试验程序试验程序见图Z.1。![]() z2——强度试验(参见6.3); z3——气密性试验(参见6.4.2); z4——工作可靠性试验(参见6.6.4); z5——低泄高封阀关闭压力试验(参见6.23)。 注:图中试验序号用方框中的数字表示,试验所需的样品数用圆圈中的数字表示。 图Z.1 低泄高封阀试验程序图
Z.2 样品数量样品数量为两套。 |
1. 本站所有资源来源于用户上传和网络,仅作为演示数据,如有侵权请邮件联系站长!
2. 盗版,破解有损他人权益和违法作为,请各位站长支持正版!
2. 盗版,破解有损他人权益和违法作为,请各位站长支持正版!

国家标准(强制)



















































